QUESTION:
My name is James. I am a 12 year old student in grade 8, and once in math class we talked about a cube in the forth dimension and I was a little confused, so I want to ask you some questions.
Why would a tesseract or a forth dimensional cube be like a big cube with a small cube inside, why wouldn't it be a cube that constantly exists I its time axis, because in fourth dimension you would add a time axis to the three dimension xyz axises so when a three dimensional cube has a side length of x then its volume would be x^3, I think that when this is applied to the fourth dimension the volume or some kind of time volume of that object will be x^4, so I think that similar to side lengths the object or tesseract will have some sort of time length and that tesseract will exist in a certain amount of time according to its time length. Is my theory correct? If its wrong, what is wrong about it? How is the big cube small cube one correct? what about a cube in the 5th dimension?
ANSWER:
This is not really physics, more mathematics. I am not a
mathematician, so you should read the Wikepedia article on
tesseracts to get a more rigorous treatment. A tesseract is
not a picture of a four-dimensional cube, that is impossible
to draw. But we can ask what are the rules we might follow
to move up in dimensions in constructing cube-like shapes?
In zero dimensions we have a point; to go to one dimension
we use two points to define a straight line; to go to two
dimensions, we can use four lines to create a square; to go
to three dimensions, we can use six squares to create a
cube. (See the first animation.) Get the pattern? 2 ⇒4 ⇒6
to go 1⇒2⇒3 dimension. So the analogy of a cube in
four dimensions would be an object in four dimensional space
which was composed of eight cubes. The tessearct has eight
distinct ten sided volumes like a cube has (the big and
little cubes and the six volumes connecting the big and
little cubes), so it can be topologically manipulated into
eight cubes as shown in the second animation. A five
dimensional "cube" would be composed of ten tesseracts; try
drawing that one!
QUESTION:
Is the speed of light really constant? Like, is it an enduring, eternal constant, or does it somehow have a limit?
ANSWER:
The speed of light in a vacuum is a universal
constant. Although there is some speculation that the
universal constants may change with time, but there is no
evidence for that. To understand why light speed is a
universal constant, you should read some earlier answers:
QUESTION:
My husband and I are in a heated debate about the following:
Two genetically 100% identical people, assuming everything about their lives are identical aside from the following: Each one is given their own identical atomic clock at the exact instance of their birth. One person is sent into travel approaching light speed with their atomic clock, the other person stays on earth with their atomic clock.
Does the person approaching light speed "live longer" than the person on earth?
If you are going by what their independent clocks say, then theoretically yes, because time slows at light speed (pardon the very layman's interpretation of the theory of relativity). So the clock with the person approaching light speed with be slower than that of the person on earth, and at the instance of their deaths, the light speed person's clock shows they lived "longer" than the earth person's clock shows for the person on earth.
But say you have a perfect and totally independent clock in another fixed and remote place in the universe (it could be anywhere, as long as it's position is fixed). According to the independent and perfect clock, do the two people die at the exact same moment? I say yes, according to the independent clock, they die at the same time. My husband disagrees. Please help!
ANSWER:
You are playing fast and loose with time! The biggest
takeaway of the theory of special relativity is that time
and length are no longer universal quantities. Someone in
one frame will not see his time passing at the same rate
that he measures the rate of an identical clock which is in
motion relative to him. Clocks in your frame always run just
like you expect them to —when your clock says 80
years from your birth, you will be an old woman, regardless
of whether you are the stay-behind or zoom-off person. But
you cannot even meaningfully ask the question you want to
ask because "at the same time" is meaningless when comparing
two different frames. (A related result of relativity is
that simultaneous events in one frame are not simultaneous
in another frame.) You should carefully read my earlier
answer regarding the
twin paradox ; if the traveler goes away and then comes
back to the earth and stops, then the two can compare their
clocks (the traveler will be younger). The easiest way, in
my opinion, to understand this "paradox" is to introduce
length contraction —moving lengths are shorter
than when at rest. So, if the traveler is going toward a
star 100 light years away with a speed of 99% the speed of
light, he will see the distance to be only be 100x√(1-0.992 )=14.1
ly; the time it will take him to get there, by his own
clock, is 14.1/0.99=14.3 yr. The stay-behind twin will say
the time to get there is 100/0.99=101 years and he will
likely be dead. And people on earth will have to wait
100+101=201 years to "see" him arrive because it takes 100
years for the light emitted at the arrival to reach earth.
QUESTION:
I would like to get some help with the angular quantities especially angular velocity md angular acceleration. So if we have a fixed mass on lets say a merry-go-round, will this mass have a greater angular velocity or angular acceleration if it’s closer to the center or when
it is at the edge?
ANSWER:
If the merry-go-round is neither speeding up nor slowing
down, the angular acceleration is the same, zero, for
everyone on it. But, the angular velocity is the same for
everyone also. Why? Because velocity tells you how far you
go in a given time (e.g. miles per hour), whereas
angular velocity tells how far you rotate in a given time (e.g.
revolutions per minute). Now, if someone near the center
goes around 3 times in a minute, someone near the edge also
goes around 3 times in a minute. The outer guy has a higher
velocity but the same angular velocity. Angular acceleration
is the rate at which the angular velocity is changing. For
example, if the merry-go-round starts out at rest (zero
angular velocity) and ends up at 3 revolutions per minute
angular velocity after 2 minutes, the angular acceleration
was 3 (revolutions/minute)/(2 minutes)=1.5 rev/min/min, the
same regardless where you are standing.
QUESTION:
I'm writing some Sci Fi and I’m wondering:
Do we have a space-time calendar which tells us time as well as our relative place in space-time continuum?
Like a map + time...
Since the sun and earth are themselves moving and the galaxy itself is moving ...
Is there an opposite of time dilation where the traveller would live years but only days go by on years?
ANSWER:
The answer to your first question is that the most important
thing we learn from the theory of special relativity is that
time and space are not absolute; they depend on the frame of
reference (that's why it is called relativity). So what
space-time "looks like" depends on your frame of reference.
You and anybody in motion relative to you would have
different "space-time map/calendar" if there were such a
thing.
Your second question
doesn't really make any sense to me. If you mean by
"opposite" that you might see a moving clock running fast,
then the answer is no.
QUESTION:
This electric pole along the highway near a village called 'Chordi' has become a tourist attraction. It appears bent towards the observer but appears straight when one sees it from the side. What can be the scientific explanation?
ANSWER:
This is not really physics, but since the questioner
resubmitted the question four times when I did not initially
answer, I got curious. As luck would have it, when I googled
chordi pole there was one relevant hit, a
video
(three images above are from that video). There is really no
mystery here. Each of the two identical poles has a bend in
it. They are oriented so that the entirty of both poles is
in a single plane. When the poles appear straight you are
viewing them edge-on with the plane.
QUESTION:
How much weight and force would it take to tip something over that
weighs 1130 lb, has a base of of 6'x6', and is extended 41' in the air?
ANSWER:
You want the force, not "weight and force"; the weight is
given as 1130 lb. The force you would have to use depends on
three things—where you apply it, its direction, and
where the center of gravity (COG) is located. I will do a
general solution assuming that the COG is somewhere on the
vertical line above the center of the base. There are, as
shown in the figure, three forces on the object, its own
weight W which acts at the COG a
height C above the ground, the force F
which is applied a distance Y above the ground, a
frictional force f which acts at
ground level. I will assume that the frictional force is
large enough that the object does not slide before it tips
and that F is horizontal (the red
vector). I will generalize to a force not horizontal (green)
later. The object will try to rotate about the edge below
where the force is applied, so the friction will exert no
torque. The weight exerts a torque of magnitude Ww /2
which is trying to keep the object from tipping and the
force exerts a torque of magnitude FY which is
trying to tip the object. The object is just about to tip
when Ww /2=FY , so F =Ww /(2Y ).
In your case, F=1130x3/(2Y )=1695/Y ; so,
for example, if Y =10 ft then F =169.5 lb.
If F' is applied at some angle θ
relative to the horizontal (green), a larger force would
need to be applied:
F =Ww /(2Y cosθ ).
SLIGHTLY REVISED ANSWER:
I forgot about the normal force (dashed red vector
N ) from the floor up on the object. But it
does not matter because, when the object is about to tip,
N acts at the edge and therefore
exerts no torque.
QUESTION:
If you were to drop a tablespoon of a neutron star from 6 inches would it penetrate and go through a persons hand or would the person's hand simply give way and the neutron star hits the ground without penetrating through the hand?
ANSWER:
First, be sure to note that it is not possible to have a
tablespoon of neutron star. The thing which holds a neutron
star together is gravity and there is not nearly enough in a
small quantity of the neutron matter. Second, I have no idea
how the skin of your hand (normal matter) might interact
with the nuclear matter. So, for your purposes let's just
assume we have a tablespoon of something with the same
density as a neutron star which is totally inert. I reckon
that such a thing would have a weight of about 4 billion
tons. I will leave it to you to imagine what would happen if
such a weight were to hit you in the middle of the palm of
your hand. That is more physiology than physics. There is no
reason, I believe, to think that it would penetrate your
hand; smash it, maybe.
QUESTION:
If an object's acceleration is zero in one inertial reference frame then is its acceleration zero in all other inertial reference frames? And If an object's velocity is zero in one inertial reference frame then is its velocity zero in all other inertial reference frames?
ANSWER:
Absolutely not! You can prove it mathematically. However, it
is easy to understand it intuitively. If you are driving in
a car at a speed of 60 mph, the trees, which are at rest in
their frame, move past you with a speed of 60 mph.
QUESTION:
Do magnetic fields repel vibrating charged particles?
ANSWER:
That depends on how you define "repel". Usually we define
repel to mean that the particle experiences a force which
has at least a component along the direction of the field.
For example, a positive charge will experience a repulsive
force (along the field) but a negative charge will
experience an attractive force (opposite the field). So,
let's look at how charged particles behave in magnetic
fields.
If the particle is
at rest, it experiences no force at all.
If the particle is
moving in the direction of the field or opposite the
direction of the field, it experiences no force at all.
If the particle has a velocity which is not zero and is
not parallel or antiparallel to the field, it
experiences a force which is perpendicular to the
magnetic field. This is shown in the figure for a
positive charge. The magnitude of the force is F=qvB sinθ ;
for a negative charge the force would have the same
magnitude but opposite direction, still perpendicular to
B .
Therefore, a moving charged particle never experiences a
force along a magnetic field so, according to my definition
of repulsion, never experiences a repulsive force.
QUESTION:
If a piece of aluminium foil is held under mercury and scratched with a sharp object, something unusual happens to it when it is removed. Almost immediately a white substance appears to extend from the scratch marks, soon reaching a centimetre in height. As this happens the foil becomes distinctly warm. What evidence is there that a chemical reaction has taken place?
ANSWER:
This sounds suspiciously like a homework problem, but it is
so cool I thought I would share with my readers. See this
youtube video . Anyhow, this is clearly more chemistry
than physics, but everything is physics at its root! (Note
that I have not answered the question in the last sentence
which is where the homework would be.)
QUESTION:
Is the red shift of light the impetus for the expanding universe (big bang) and if so
we know gravity can bend light. Maybe gravity can also slow down light which can cause the red shift which in turn would mean there is no expanding universe. It always was and will be.
ANSWER:
Your thoughts have merit. Indeed, gravity does cause a
gravitational red shift ; it does not, however, cause the
light to slow down; light in a vacuum always has a constant
speed. Gravitational red shift is a much smaller shift than
Doppler red shift. However, gravitational red shift for
star-sized objects is very small compared to the Doppler red
shifts we observe. Also, since the shift is so well-known to
increase for stars as they are farther away, gravity could
not account for the data. A static universe would also be
impossible because the attractive gravitational force felt
would have the effect of trying to collapse the universe.
Believe me, the universe is expanding. Perhaps we do not
understand all the details, e.g. it has been shown that
distant stars are actually speeding up, we certainly know
that it is expanding .
FOLLOWUP QUESTION:
Don't mean to argue with you on gravity effecting light speed and causing a red shift but what proof or experiment was done to prove that light's speed in a vacuum is constant? Is that just an assumption that Einstein made that no one questions? It would seem to me that if gravity can cause light to bend then gravity has an effect on light and to say it doesn't effect its speed in a vacuum may not be correct. Since
the speed of light I assume can be effected if it isn't in a vacuum then
gravity can effect its speed. Light coming from a long distance may feel the effects of gravity. What I am really asking is how the speed of light is constant if in a vacuum was determined?
ANSWER:
First, some background. There are good physical reasons why
the speed of light must be constant. Rather than
rehash answers I already have written, I refer you to two of
the FAQs:
Now, you might
argue that this is dependent on Einstein's principle of
relativity—the laws of physics are the same in all
frames of reference. To my mind, that is the foundation of
the theories of special relativity and general relativity.
Now, in more than 100 years since these theories were
proposed, there has been not one single instance of
their predictions being incorrect; the most recent, of
course, is the observation of gravitational waves. So, in
some sense one does not have to measure the speed of light
because if it were not a universal constant these theories
would not correctly predict what we observe in nature.
But, in fact, lots of measurements
of c have been made. Historically, the famous
Michaelson-Morley experiment tried to observe variations
in the speed of light observed at different times of year as
the earth moved around its orbit, the observer obviously in
motion relative to the source of light; it was an
extraordinarily precise experiment and had absolutely a
negative result. The speed of light from stars has been
measured. The relative speeds of each star and the earth are
different for for every star, but the speed of the received
light is always the same.
Your statement that "the
speed of light I assume can be effected if it isn't in a
vacuum then gravity can effect its speed" is false. Indeed,
the speed of light in a material is less than c but
that is because Maxwell's equations are different than in a
vacuum because of the influence of the electric and magnetic
charge and current densities due to the the atoms inside the
material. But it is faulty logic to suggest that this means
that gravity could have similar effects because there are no
charge and current densities in a gravitational field in a
vacuum.
Finally, if you want to learn more
about how gravity bends light, you can find links to
previous answers in the FAQ page.
QUESTION:
If Newton's third law is a fact then wouldn't that mean that for this universe there is an equal and opposite universe parallel to the one we live in? And one for that universe, and so on and so forth?
ANSWER:
Newton's third law does not state that for every thing
there is an equal and opposite thing . It states
that for every force there is an equal and opposite
force . More precisely, if object A exerts a force
on object B, object B exerts an equal and opposite force on
object A. That statement of the law turns out to not be
literally true for all forces in nature; see an
earlier answer
for more detail.
FOLLOWUP QUESTION:
So is the possibility of an equal/opposite paralell universe possible?
ANSWER:
Some theories include parallel universes, but I have no idea
what an "equal/opposite" universe would be. It certainly has
nothing to do with Newton's third law.
QUESTION:
I am in a wooden country boat in a lake with a stone tied to a rope. If I tie the free end of the rope to the boat, can I propel the boat by throwing the stone 4 or 5 meters in the water or will stone curve back under the boat? I hope I have been able to clearly state the question.
ANSWER:
If the rope is long enough and the lake is shallow enough,
the rock will drop to the bottom of the lake and you will be
able to pull yourself forward by pulling on the rope. When
you throw the rock, the boat will recoil backwards but the
boat and contents are much heavier than the rock, so the
recoil speed of the boat will be much smaller than that of
the rock. So, assuming that the rock ends up on the bottom
forward of the boat, your scheme will work.
QUESTION:
One of my Encore students would like to know if the Flask (assuming you
mean the Flash ) could make DaVinci's copter work. Seems like Superman beat him in a race and Supes travels up to Mach 4.
ANSWER:
Well, all the superpower stuff is simply not physics, simply
not possible. Now, the Flash's super power is to move really
fast, so there is really no point in asking if he could make
a helicopter work —that is not his thing! Just
googling around I find that his maximum speed is the speed
of light (impossible), faster than that (impossible), or
infinite (impossible). I seem to remember some Superman
movie where he sped many times around the earth at such a
speed that he could make time run backward so he could save
Lois or somebody after but before they were killed by an
earthquake or something (just plain crazy) and that would
sure be a lot faster than Mach 4! Well, it's all fun but you
can make up just about anything you fancy which is what all
the creators of these superheros do anyway!
ADDED THOUGHT:
I found the
around-the-earth video!
FOLLOWUP QUESTION:
But I think the question was more along the lines of "is there any
speed at which a human-shaped-figure could run to create enough lift to
make the DaVinci helicopter fly?"
ANSWER:
OK, so I did a little research on the DaVinci helicopter.
Apparently his design was for four men turning the screw
while running around the base which is not supposed to turn;
so I guess you are asking if it would fly if, propelled by
the Flash, it spun fast enough. There is a lengthy
discussion which you can look at
here . Certainly the screw will provide a lift and I
would guess that, at some rotational speed, the lift would
be equal to the weight of Flash plus the copter; since, as
we saw above, Flash can run any speed he likes, he could
achieve this critical lift to lift off (provided that
materials strong enough for it to hold together were
possible). (The "human-shaped figure" has nothing to do with
it, though.) There is one real problem not anticipated by
DaVinci, though —because of friction, as soon as
it lifted off the base would start spinning too; that is the
function of the tail rotor in modern helicopters, to counter
this tendency. Also, the machine has no way to control the
direction of flight. So the answer is that nothing will make
this thing "fly" because it could not be controlled. But
probably it could be made to provide a lift force greater
than the weight so that it could momentarily lift off before
it was totally out of control.
QUESTION:
So my question is related to drones and was a point of much debate with some work colleagues over dinner. If we assume I have a drone that is powerful enough to rise 20ft above the ground (max), I turn it on and it hovers 20 ft above ground.
Then I get a big object below it (let’s assume a large 10 square foot box). Will the drone go up to 30 feet above the ground (20 feet above the box)? So I'm interested in the answer (yes or no) but more interested in the explanation behind it also.
ANSWER:
The brief answer no. Now, the long-winded part. How high a
drone can fly does not depend on the power at all. Power is
the rate at which energy is given to the drone, and if you
can get to 20 ft, you can subsequently get to 40, then 60,
and so on. Suppose the engine can deliver the energy to the
drone to lift it to 20 feet in, say, 10 seconds, then the
minimum power P necessary is W x20/10=2W
where W is the weight of the drone; if the weight
is 20 lb, P =20x2=40 ft ⋅lb/s=54
Watts=0.073 horsepower. So, it will just keep rising.
But surely it is not going to rise all the way to the moon
if it does not run out of fuel! In order for the drone of
weight W to rise, it must experience a force of
at least W upward and that force comes from the
whirling rotors pushing down on the air and the air pushing
back up on the rotors (Newton's third law). If, at sea
level, the engine is running full power, it will rise at
about a constant speed. Since the air for several hundred of
feet up is nearly constant density, it will continue rising;
but, eventually, the air gets thinner a few thousand feet
up, the upward force gets smaller, and the drone stops
rising.
QUESTION:
For an object travelling at the speed of light, is time dilation absolute?
i.e does time cease to exist for an object travelling at the speed of light?
If so, doesn't this mean that an object travelling at the speed of light
exists in all it's possible locations until the point in time that it stops
travelling at the speed of light?
Assuming that "possible locations" would all have to be distinct from each
other to avoid self annihilation, would this then extend to explain the
results of the double slit experiment?
Would the lack of existence of the time dimension not also explain the
effect of quantum entanglement?
ANSWER:
No object can travel with the speed of light.
FOLLOWUP QUESTION:
That's not very helpful.
Substitute the word particle for the word object and try again or don't bother. I thought the point of the email address was to help
enthusiastic but not expert people interested in science.
ANSWER:
I am very sorry you take such umbrage with my answer.
Indeed, the point of this web site is to address questions
from "enthusiastic but not expert people interested in
science". However, the site does have
ground rules
because, for one thing, I cannot address questions which
make impossible assumptions and are therefore not "science"
at all; for another, it is very difficult to give good
answers to questions which are really many questions (time
dilation, travelling at the speed of light, self
annihilation, double slit experiment, quantum entanglement)
without writing a rather lengthy essay. So, if you had taken
the trouble to read the site ground rules you would have
found:
I no longer answer
questions which are based on premises like: "...if we could travel
faster than the speed of light..." or "...ignoring the fact that nothing
can go faster than the speed of light...", " ... if
I were traveling at the speed of light... ,
etc .
Please submit single, concise, well-focused questions.
Now, since I have gone this far, I
will address your question as best as it can be addressed.
The only "particle" which can travel at the speed of light
is one which has zero mass. The only particle we know which
has zero mass is a photon, so it can go with the speed of
light. But, the photon is a stable particle (does not decay)
so it carries no clock with it and it is therefore pointless
to ask how a photon perceives time—a photon does not
have a "point of view ".
QUESTION:
Why moon does not fall on earth due to gravity?and why it does not its centrifugal force throw it away from ?
ANSWER:
See an earlier answer . Also,
the centrifugal force is a fictitious force.
QUESTION:
A football is inflated in a warm room. It is used out of the door on a cold day . what happens to the ball and why?
ANSWER:
See an earlier
answer .
QUESTION:
If I were to roll a ball on a flat surface, how could I figure out how much going up the 45-degree incline of a hill would affect the ball's speed? And what would happen when it goes back down the hill with the same angle and distance? This is assuming that the ball never leaves the ground, and there is no air resistance.
ANSWER:
You also need to assume there is no rolling friction and
that the ball rolls without slipping. The ball will lose its
speed linarly with time until it stops and comes back down;
coming down it will have the same speed at each point that
it had on the way up. I will do a general calculation. The
sphere has a mass m and a radius R ; at the
bottom of the incline it has a speed v 0 ;
the angle of the incline is θ . At the
bottom its kinetic energy is ½mv 0 2 +½Iω 0 2
where I =2mR 2 /7 is the
moment of inertia of a solid sphere about the center of mass
and ω 0 =v 0 /R
is the initial angular velocity about the center of mass.
The total energy is thus E bottom =7mv 0 2 /10.
At the top there is no kinetic energy but the potential
energy is E top =mgh . If there
are no frictional losses, the energy at the top and bottom
are equal; setting E bottom =E top
and solving, you find that h =7v 0 2 /(10g ).
Note that this does not depend at all R , m ,
or
θ.
If you want to know
what its speed is after it has risen to some height y ,
the appropriate energy conservation equation is 7mv 0 2 /10=mgy +7mv 2 /10,
so
QUESTION:
If you have 3 hot metal balls that each are 1000 degrees, and you put them all in a bucket of water, would the water be 1000 degrees, or 3000 degrees?
ANSWER:
None of the above. First of all, water can only exist (at
atmospheric pressure) up to 1000 C, so anything
above that would be impossible. But secondly, particularly
since you have not specified the amount of water in the
bucket nor the size and composition of the balls, you should
know that you cannot predict the final equilibrium
temperature. For example, suppose the "bucket" was Lake
Superior and the three "balls" were bbs —surely
the temperature of the lake would increase by an absolutely
unmeasurably small amount. You are envisioning, I think, a
situation where the water does not boil before the balls and
water reach the same temperature. It would be fairly simple
to calculate the final temperature, somewhere between the
initial temperature of the water and 100 degrees, if you
knew the amount of water and the size and composition of the
balls (assuming the bucket itself absorbs no heat). If there
was too little water compared to the balls for the final
temperature to be less than 1000 , it gets more
complicated because the boiling water will result in steam
and it takes energy (heat) to evaporate water. In that case,
the final temperature of the remaining water and the balls
would be 1000 unless all
the water evaporated in which case there would be no water
left to specify the temperature of.
QUESTION:
Could matter be described as a single object, as a single mass?
ANSWER:
Why would you even think of such a thing? For all of
recorded history philosophers and scientists have been
seeking to understand the structure of matter. Even the
ancient Greeks had four "elements"—fire, water, air,
earth—which they hypothesized all of matter. Maybe you
are thinking of an idea like string theory where it is
imagined that everything is composed of vibrating strings of
some sort. The problem is that string theory makes no
predictions so it can be neither proven nor disproven. Who
knows, maybe someday there will be a theory where we find a
single root of everything, but I doubt it because of the
richness of the composition of the universe.
QUESTION:
If we make a hole vertically throughout the earth then how much time will a thing take to reach bottom of earth?
ANSWER:
In order to solve this kind of question, it is necessary to
assume there is no air drag on the "thing".
Technically, you need to know the mass distribution over the
whole volume of the earth. Usually, for problems like yours,
it is assumed that the density is constant everywhere. This
is actually a quite
poor approximation , the density is much
larger in the center than near the surface. But, for your
question, let's assume that the earth density is uniform
throughout. In that case, it turns out that the period of
oscillation (time from when you drop it until when it gets
back to you) is exactly the same as the period of a
near-earth orbit satellite, 128 minutes. I do not know what
you mean by "bottom of earth". If you mean "center of
earth", the time is ¼ of the period, 42
minutes; and if you mean "other end of the hole", the time
is ½ of the period, 84 minutes.
QUESTION:
we have studied that the rate of change of displacement is known as Velocity and Displacement is the shortest distance between two point. Than how we could say that the electron revolves around the nucleus with some velocity But there is no another point on the orbit?
ANSWER:
Well, what you have described is average velocity,
not velocity. So if something like an orbiting electron is
moving in a circle of radius R and it takes it a
time T to go all the way around once, you can ask
what is the average velocity during the time that it goes
from one point on the orbit to another. For example if you
ask what the average velocity is if the electron goes
halfway around, it would be 2R /T . If you ask what the average velocity
is for one complete revolution, it would be zero; this makes
sense because over the time you watched it, it went nowhere
on average!
QUESTION:
I've recently been learning about QED and have started to become curious about some of the things involving charge. In specific, I am curious, how do particles know that their neighboring particle is charged? For example, how does a up quark, know that the other up quark nearby is also positive? I once read it was because of the exchange of virtual particles but couldn't find anything about that and was hoping you could clear the confusion for me.
ANSWER:
Electromagnetism is a field theory. When you try to include
quantum theory into electromagnetism (or any field, for that
matter), it is called quantization of the field and that is
what QED is. When a field is quantized, one of the results
is the emergence of a boson (spin 0, 1, 2, etc .)
which may be thought of as the "messenger" of the effects of
the field. The "messenger" for the electromagnetic field is
the photon. So a simple explanation is often given that
"exchange of photons" between the charges, sort of like two
ice skaters throwing a ball back and forth, is responsible
for the repulsive force; this is a very qualitative
explanation and should be considered to be a "cartoon". It
is useful mainly to emphasize that photons are the force
messengers. QED is a pretty mathematical theory and a
cartoon cannot be expected to convey all its complexities.
The photons in the field are "virtual", they pop into and
out of existence due to the uncertainty principle. If a
photon suddenly appears, where did its energy E
come from? The presence of a photon would imply a violation
of energy conservation. But, that is OK as long as this
violation lasts only a time t such that Et ≤ℏ.
Nature has three other fundamental forces, the strong and
weak nuclear forces, and gravity. The nuclear forces also
have "force messengers": gluons for the strong force and Z0
and W ± bosons for the weak force.
The gravitational field, however, has not been successfully
quantized and this remains one of the "holy grails" of
physics; it has been hypothesized that a boson called the
graviton will be the messenger, but this is just
hypothetical at this point.
QUESTION:
if a rocket is made up of magnet with certain dimensions and launched into space,what happens? can the old satellite pieces get attracted by this rocket or not?
ANSWER:
So, I guess you are wanting to put a magnet in orbit and use
it to "vacuum up" space junk? First of all, you cannot
imagine the vastness of the volume where orbiting junk is;
the likelihood of encountering any piece of junk being close
enough to be strongly enough attracted is misiscule. Second,
I expect that a lot of the junk is not ferromagnetic (iron
or some kinds of steel) to be attracted to a magnet with
much strength.
QUESTION:
How much energy is used to pull a 15 pound suitcase on wheels versus lifting same poundage And lifting and carrying it the same distance
Note: I had an accident and can’t lift over 10 pounds. However my mini suitcase weighs 15 pounds and it is easy to roll. I can do it with one finger. Does this 15 pound suitcase On wheels constitute listing or pulling 15 pounds?
ANSWER:
You don't want to ask "how much energy" because you are told
not to exert a force more than 10 lbs. You want to ask "how
much force"; and you have answered that by saying that you
can pull it with one finger —almost nothing,
maybe a few ounces. And it makes no difference how far you
pull it, because your prescription only stipulates the
maximum force you are allowed to exert, not how long you
exert that force. Lifting it, however, is verboten .
You can "lift" it, though, by dragging it up a ramp; I
reckon that the steepest ramp you could use would be about
400 and the force you would have to exert would
be a little less than 10 lb.
FOLLOW-UP QUESTION:
Is there a physics formula used to determine the force used in the 15-pound suitcase moving it by lifting it or rolling it on a straight plane, flat had floor as if in an airport.
ANSWER:
If you lift it straight up, you must exert a force greater
than or equal to the weight W , F lift ≥W.
If you pull it horizontally , you must exert a
horizontal force greater than or equal to the frictional
force due to the rolling of your wheels; this frictional
force f is f= μW where
μ is the coefficient of friction, so F pull ≥μW ;
for example, for your 15 lb suitcase, if μ= 0.005
then f =0.075 lb so F pull ≥0.075
lb =1.2 oz. If the force you exert is not horizontal,
it is a little trickier to work out; if the angle your force
makes with the horizontal is θ , the force you
exert is F pull ≥μW /(cosθ -μ sinθ ).
Again taking μ= 0.005 and W=15 lb, I find
F pull ≥0.107 lb=1.71 oz for θ =450 .
In all these equations, if you replace ≥ by = the
suitcase will move with constant speed; with bigger forces,
the suitcase will accelerate.
QUESTION:
Why is potential energy negative?
ANSWER:
Because of the way potential energy is defined, it is
arbitrary to within an additive constant. This ambiguity is
usually handled by choosing where the potential energy will
be defined to be zero (or simply choosing the potential
energy to have some value at some position. For example, you
probably know that the potential energy near the surface of
the earth is V=mgy ; but to know what to use, you
need to specify where you choose V= 0. If I choose
V= 0 to be at the ceiling and +y is up,
then the potential energy at the floor is V= -mgh ,
a negative value, where h is the distance from the
floor to the ceiling.
QUESTION:
Why do cavities that form in a wood fire seem to glow brighter than the burning wood itself? Is the temperature in such cavities hotter than the surface temperature of the exposed burning wood?
ANSWER:
Here is what I think. A point on the surface is continually
emitting radiation and all of that radiation escapes, taking
energy away from the surface cooling it. In the cavity, much
of this emitted radiation does not make it out but is
absorbed by the walls of the cavity, so less energy is lost
and the temperature is higher.
QUESTION:
I accidentally magnetized the tip of a steel rod about 0.5 cm in diameter using a neodymium magnet of unknown, but relatively strong field strength. The rod is installed in a larger device so that I only have access to the tip that I magnetized. I
need to demagnetize it. I tried reapplying the opposite pole of the same magnet. That didn't work. I also tried spinning the magnet near the tip of the rod using a drill, but that also didn't work. Commonly available demagnetizers seem to produce magnetic flux densities in the range of hundreds of gauss,
whereas neodymium magnets apparently have densities in the range of thousands of gauss, so I doubt they would be sufficient for the purpose. What would be the easiest way to demagnetize this rod without heating it to its curie temperature? (I can only safely heat the rod to about 90 degrees C.)
ANSWER:
Applying the opposite pole will just magnetize it in the
opposite direction. Spinning the magnet might work but only
if you spun it but only if you spun it about an axis passing
through the center and parallel to the faces (first figure);
this will cause a magnetic field which oscillates in
direction. (Don't have the rotation axis pointing at the rod
tip.) Now, move this spinning magnet slowly away taking
advantage of
hysteresis . But, the classic way to demagnitize is with
a coil/solenoid which has an AC current which you slowly
decrease to zero. There are also static demagnitizers (see
second figure) but there seems to be some question about how
effective they really are. Finally, I am sure that the
magnetization you caused is much weaker than magnetization
of the neodymium magnet you used, so do not assume that you
need a field as large as that to demagnetize the rod. If you
have access to an AC power supply, I would just wrap wire
around the rod tip (a lot of turns), connect it to the power
supply, turn it on at very low voltage, increase it until
you have the current which the power supply is rated at, and
then slowly turn it back down. You may have to go through
this a few times.
QUESTION:
I've been thinking about the difference in time required to cook food from a cold vs a preheated oven. Simplistically assuming that the "food" is "cooked" once it has taken in q joules, how would you:
a) find a function of time that gives the energy change of the food in the static temp oven based on the oven's temperature, and constants related to the object (specific heat capacity, mass, etc)
and secondly:
b) the same energy change function when the oven heats up along with the object when given dT/dt for the oven and the same constants for the object
to go on to then finally work out the time the food would need to cook for in both scenarios.
ANSWER:
As a person who loves both cooking and physics, I would say
that your question is purely academic. The success of a
particular recipe you are cooking may very well depend on
how the food absorbs the heat from the oven to be the tasty
creation you were aiming for. And, it is simplistic to
assume that "cooked" is synonymous with an absorption of a
certain amount of energy. Some foods, a beef roast for
example, require that the inside ends up at a significantly
lower temperature than the outside. Other foods, for example
pork ribs, require a long slow cook to become both tender
and juicy. Many recipes require an initial very high
temperature to sear the outside to seal in juices. In my
many years of cooking, I found only one case which sometimes
benefitted from putting it into the oven at the same time
you turn on the oven —if a loaf of bread has not
risen as much as you want, and you are in a hurry, placing
it in the cold oven allows the bread to rise more before a
yeast-killing temperature is reached. To analytically solve
this problem would be very hard because heat absorption also
depends on the shape of the item being cooked; think of a
chicken whose wings become done must faster than the
breasts.
QUESTION:
I'm somewhat baffled. Mr. Einstein stated in his special theory that the upper-bound velocity in the universe is c^1. Yet his energy - mass equivalence equation has c^2. In his General Theory of Relativity his field equations have c^4. How can this be reconciled. Thank you.
ANSWER:
The speed of light is just some constant which has the
dimensions of length divided by time (L/T). Energy is a
different thing from velocity and it may be expressed as a
mass times the square of a velocity (ML2 /T2 ).
You seem to think it should be mc instead of mc 2 ,
but then it would have dimensions of ML/T so it would not be
energy. Perhaps it is simpler to think about a length L .
Suppose we have a square and each side is of length L .
What is the area of the square? Clearly L 2 !
"How can this be reconciled"? It does not have to be
reconciled because a length and an area are two completely
different things, just as speed and energy are two
completely different things.
QUESTION:
Why does anything that moves get from point A to point B at all if (mathematically speaking) you can cut the distance in half and in half again to infinity? Mathematically you will never reach your destination but in reality you do reach it. How do you reconcile the two?
ANSWER:
This is often called "Zeno's paradox". Suppose that the speed of the arrow is 100 m/s and the target is 100 m away. Then the time it takes to go the first half way is 1/2 s, the second half time takes 1/4 s, the third half time takes 1/8 s, etc. So the total time it takes is the infinite series (1/2+1/4+1/8+1/16+1/32+…). Although this is an infinite series it has a finite sum and that sum is, guess what, 1 s. So, when viewed this way, you take an infinite number of steps but in a finite amount of time. You can read more about the history and details of Zeno's paradox on
Wikepedia .
QUESTION:
I found a stack of these pie pans in a recycle bin, and I want to use them but am worried that there's something I can't see (like radioactivity) wrong with them.
ANSWER:
I believe that you have no worry whatever about
radioactivity. The only way I can think of that would create
radioactivity is if the pans were near a reactor and exposed
to a large neutron flux. Corningware is a ceramic-glass mixture and composed entirely of light elements. There is no way it could become radioactive with a half life more than a few hours.
For example, glass is mainly silicon and oxygen. If the most
abundant isotope of silicon were to capture a neutron it
would become a heavier but stable silicon isotope; the most abundant oxygen isotope plus a
neutron would become a heavier but stable oxygen isotope.
Some components could become radioactive but their half
lives would be very short. For example, aluminum plus a
neutron makes a radioactive aluminum isotope which decays to
a stable silicon isotope with a half life of 2.24 minutes. So the point is that in the unlikely case of these
pans being exposed to something which would make them
radioactive, they would have done all their radiating long
before you found them in the trash.
In the event that you
are interested, here are the reactions I alluded to:
28 Si+n→29 Si
16 O+n→17 O
27 Al+n→28 Al→28 Si+β-
QUESTION:
What decides which electron would revolve in at which energy shells?
ANSWER:
Actually, in a quantum system like the atom, all the
electrons are indistinguishable, you cannot label them by
what orbital they occupy. In fact, each orbital is a
superposition of all the electrons in the atom.
QUESTION:
does hydrogen explodes or implodes when it reacts with oxygen?
ANSWER:
When hydrogen combines with oxygen heat is generated. If the
oxygen and hydrogen are in a closed vessel, the pressure
will increase as the temperature increases so, if the
container is not strong enough, it will explode.
QUESTION:
The Sun is a Massive star of our solar system. Its gravity is so strong that it holds the eight planets, comets, asteroids and many other celestial objects in the solar system. Now my question is, how the photons escape from the surface of the sun with such a strong gravity of the Sun?
ANSWER:
One of the ways to quantify the strength of the gravity is
to calculate the escape velocity, the speed which an object
needs to totally escape from the sun; that speed is about
6.2x105 m/s and anything going that fast or
faster than that at the sun's surface will will keep going
and never come back. A photon has a speed of 3x108
m/s. The objects lose energy as they go farther away by
slowing down but light does not. It does, however lose
energy; as it gets farther away its wavelength gets longer
(toward red) which is called the gravitational red shift. If
a photon is close to a black hole, however, it cannot escape
and just eventually disappears, all its energy captured by
the black hole.
QUESTION:
In regards to the earths core magnet is the north pole the positive or the negative pole?
ANSWER:
Sometimes the north pole of a magnet is denoted as being
positive. The end of a compass which points to what we call
the earth's north pole is the magnetic north pole of the
compass pointer. But a magnetic north pole is attracted to a
magnetic south pole. Therefore what we call the north pole
is actually a magnetic south pole.
QUESTION:
So my dad gave me a square piece of paper and told me to get through it I've thought a few seconds and came up with an idea to make a cut in the paper diagonally and turn it inside out As you can imagine, he broke out in laughter. Can you please explain me why this answer is wrong. I really feel like an idiot right now.
ANSWER:
This is not physics. But see the figure for the trick.
QUESTION:
When dropping a strong magnet into a copper tube, it slows down as a result of eddy braking. However what happens if you increase the speed at which the magnet enters the tube, will the magnet exit the tube at different speeds each time or at a particular speed relative to the strength of the magnet, thickness of the pipe? If the velocity is increased, according to Lenz's law the opposing force should also increase, would this mean the final velocity as the magnet exits the pipe will be the same for all the trials?
ANSWER:
Let's look at what is happening. When the magnet moves
through the tube it experiences a force opposite to the
direction of the velocity and which increases as the
velocity increases.
If you drop it, it speeds up initially but eventually it
is going fast enough that the force up is equal to the
weight down and it falls with a constant speed. This
speed is called the terminal velocity v t .
If this happens before it gets to the bottom, it will
have speed v t when it exits.
If you throw it down with a speed less than the terminal
velocity, it will speed up until it reaches v t .
If this happens before it gets to the bottom, it will
have speed v t when it exits.
If you throw it down with a speed equal to v t .
it will move the whole length of the tube at this
constant speed.
If you throw it down with a speed greater than v t
, it will slow down until it reaches v t .
If this happens before it gets to the bottom, it
will have speed v t when it exits.
So, the speed it exits at the bottom depends on the length
of the tube as well as strengh of the magnet, its mass,
etc . Normally v t is achieved quite
quickly and you will have that speed at the bottom for all
situations except for extremely large initial speeds. See a
nice
demonstration .
Note, though that all
the discussion above is an approximation because, in theory,
the magnet will never reach the terminal velocity. If you
are interested, there is an
excellent analysis of the physics where it is shown that
the force is proportional to the velocity, F=kv
where k is a constant which depends on the
particular setup—strength of magnet, size and mass of
magnet, geometry of the tube, susceptibility of the tube,
etc . The solution of this problem is v t =mg /k
and the speed as a function of time t is v=v t [1-e(-kt /m ) ];
so, strictly speaking, v=v t only when
t =∞. Technically, the discussion above should
include something like "…will have speed within 1% of
v t when…", etc .
QUESTION:
Click here to
see the original question.
ANSWER:
Wow, is this really a "single, concise, well-focused question"
as required by the site
ground rules ? I should have simply thrown this question
out, but it is kind of interesting so I will edit this
absurdly long question and provide an answer:
A SINGLE, CONCISE, WELL-FOCUSED QUESTION:
Please convince me that it is possible for a rocket to achieve a
velocity, starting from rest, which is four times larger than the
velocity of the exhaust gas (relative to the rocket).
ANSWER:
Be sure to note in the following that the analyses are in
empty space, ignoring gravity.
The easiest thing to do
is to assume that the mass m of the fuel burned is
much less than the mass M of the payload itself. In
that case, if the thrust experienced by the rocket because
of the exhaust is T , then the acceleration of the
rocket is a =T /M and its speed at
some time t is v=at ; there is no limit to
how big v can be, just wait long enough.
But, that is not really
a good approximation because the mass of the fuel consumed
is not small compared to the mass of the payload,
particularly for very large final velocities. So this now
becomes a much more difficult problem. I will not work out
the whole problem here because you can easily find it by
googling "rocket physics"; a quite easy-to-understand
derivation can be found on
real-world-physics-problems.com . The final result,
equation (4), in my notation is v=u ln[(M+m )/M ]
where u is the velocity of the exhaust gas relative
to the rocket. This can be rewritten as [(M+m )/M ]=e v /u .
For your case, v /u =4 and e4 ≈55,
so you will find that m ≈54M. So it
takes a lot of fuel to achieve this speed. It is often
virtually impossible to achieve a very high speed because
the payload includes the fuel tanks, valves, nozzles,
etc . associated with the propulsion itself. Often all
this excess "payload" is discarded when its fuel is
exhausted and a second stage is now used to further increase
the speed.
QUESTION:
Is there any practical limits from the laws of physics in terms of how tall skyscrapers we could build?
Like would a ten or thirty kilometer tall one be still possible to build?
ANSWER:
This is basically the same question as "how high can a
mountain be?" If you Google this you will find several ways
to get an estimate. One of the best, in my opinion, is
Weisskopf's estimate . Generally speaking, the order of
magnitude answer is ~10 km.
QUESTION:
Despite of the absence of the gravitational force in the space, how the rockets that are launched to the mars or the moon is returned to the earth again?
ANSWER:
I do not understand your question. First, gravity is not
"absent" in space; halfway between earth and Mars the
gravity is pretty small but not absent. In fact, the gravity
from the sun is probably bigger than that from either earth
or Mars. So, to return from Mars you need a rocket to speed
you up to the "escape velocity" and then you can just coast
the rest of the way; when you get close to earth again, you
will speed up so you will have to use a rocket again to
provide the "brakes".
QUESTION:
How does a rain drop comes down to the Earth,if drag force is cancelling the weight and as it's already in rest so inertia tend the body to continue it's state in rest?
What is terminal velocity?
ANSWER:
Drag force depends on the speed the raindrop has, so if it
is at rest in a cloud the weight will be a downward force
which will accelerate it downward. The upward drag force
F is approximately proportional the the square of the
velocity v : F=Cv 2 , where C
is a constant which depends on the size and shape of the
drop and the density of the air. So F starts at
zero and increases as the drop speeds up; eventually F
will equal the weight W and that will happen when
v = √(W /C ).
This speed is called the terminal velocity and the drop will
stop speeding up and fall with this constant speed.
QUESTION:
If a parachutist jumped off a building 10000 feet high and a parachutist jumped out of a plane at 10000 feet travelling at some speed. Let’s say 125 KTS, given exact same fundamentals such as air density, pressure, temp body mass Everything right....woulda the two parachutist hit the ground at the same time?
ANSWER:
If there were no air, they would indeed land simultaneously.
But there is air and so both parachutist would eventually
end up falling straight down with a constant speed (terminal
velocity). For something like a parachute the terminal
velocity is achieved quite quickly, so we have a situation
where two objects move over most of their paths with equal
speeds. Then the one who drops straight down will land first
because his path is shorter.
QUESTION:
If I throw a baseball at a glass window, and the glass does not break, then I could understand that the force exerted by the window onto the ball is equal to the force of the ball on the window. However, if the glass breaks when the ball hits the window, that should mean that the overwhelming force of the ball exerted on the window is greater than the force of the window on the ball, hence shattering the glass. Now, isn't it disobeying the Newtons's third law of motion?
ANSWER:
Let's look at the forces involved here. The ball which does
not break the window bounces back but the ball which did
break the window continues but with a slower speed. From
this we can conclude that during the time when the ball was
in contact with the window (or pieces thereof), the
non-breaking ball experienced a larger force. Newton's third
law is not violated because, at any instant, the force which
the window experiences due to its contact with the ball is
equal and opposite the force the ball experiences due to its
contact with the window.
QUESTION:
OK, I hear PHYSICISTS say that black holes are black because photons of light can't escape their gravity which has an impossible escape velocity greater than c (i.e. the "event horizon") however photons if I remember correctly are MASSLESS, how is gravity still able to interact with photons despite them having NO MASS?
ANSWER:
One of the most famous features of the theory of general
relativity, our best theory of gravity, is that gravity does
have an effect on light. For example, during a solar eclipse
light from a star actually behind the sun can be observed
because light which we would not have seen otherwise is bent
by the gravity of the sun and observable. This was one of
the
first verifications of general relativity. For a black
hole, if a mass is inside the Schwarzschild radius and
moving away, it slows down until it turns around and falls
back, no matter how fast it is moving. For a photon moving
away from the black hole, it cannot slow down because it
always moves with speed c ; however, it still loses
energy by being shifted to larger and larger wavelengths
until it finally loses all its energy and disappears. The
energy it had now contributes to the mass of the black hole.
QUESTION:
What is the size of a photon. If we arrange ten photomultiplier tubes around a source, and that source emits one photon, how many of the photomultiplier tubes register the emission? More specifically, is it only one? Or do they all? Or some number between one and ten?
ANSWER:
The question of size is hard to answer because there is not
really one answer. However, the question about how many
detectors the photon interacts with is not hard—the
answer is one. Otherwise the detectors would interact with
part of a photon which is not possible. It is possible for
there to be a secondary interaction with another detector;
for example, if the photon Compton scattered from one
detector, the scattered photon (of different energy from the
original) could interact with another detector.
QUESTION:
my question has foundations on two things:
1.)
according to relativity , things in motion shrink down relative to some else that is not in motion.
2.)
for every body ,there is a radius after or on which the body will become so dense that even light wont escape it, aka become a black hole.
that radius , called as "SCHWARZSCHILD RADIUS".
so CAN ANYONE GO THAT FAST , so RELATIVELY they shrink lower or equal to this radius and become a black hole ?
is this possible?
if yes , is gravity relative and not dependent on mass?
if no, why isn't special relativity compatible in this situation?
ANSWER:
Whether something will become a black hole is determined by
its size and mass in its own rest
frame .
QUESTION:
I wonder... Velocity is all relative, but you can't go faster than 300Mm/s.
What is that relative to? Couldn't you use that to test whether you are really moving or not?
If you have two objects moving in opposite directions at 150Mm/s, to someone stationary, they are both moving at 150Mm/s, but to each of the objects, the other one is moving at the speed of light!
ANSWER:
Actually, velocity is not relative in the sense that you are
trying to apply. You can tell that it is not relative
because at least one velocity, the speed of light, is the
same no matter what the motion of the observer is. One of
your speeding objects sees the other as having a velocity
different than an observer on the ground would see, but not
300 Mm/s. The velocity it sees is (150+150)/(1+(150/300)2 )=240
Mm/s. See an
earlier
answer .
QUESTION:
Can you please tell my why physicists ever enter a value other than 0 for speed or velocity? Surely the act of measurement renders the object under observation immobile and in any single moment movement is arrested? Recognition of this would solve a number of physics paradoxes; the twin paradox, the andromeda paradox et al.
ANSWER:
Observing where a particle is at a particular time does not
"render the object …immobile". You are a
photographer, so surely you know this; if your shutter speed
is too slow, you will get a blurry photo because it moves
some distance while the shutter is open. The velocity of an
object is the time rate of change of position, a quantity
entirely different from the position.
QUESTION:
when i put up a swing and my bolts container says do not exceed 225 lbs is that for the whole thing or each bolt then add up the weight ex. 2 bolts in beam box says 225lb max, does it become 450lbs with 2 bolts and 675lbs with 3 and so on?
ANSWER:
To answer definitively, I would need to know exactly where
the bolts were placed and how the load was being supported.
If the bolts are the only parts that could fail under load
and the bolts were placed such that all held up an equal
share of the load, then the answer is that N bolts could
hold up 225⋅N lb.
QUESTION:
Winds are blowing that can lift 90 lb
objects. My 2 friends and I would like to go out side to play. Our weights are 85 lbs, 79 lbs, & 83 lbs. Individualy the wind would toss us around, if we held hands, would our combined weight keep us on the ground?
ANSWER:
The force which a wind exerts on something is determined
mainly by three things —the speed of the wind,
the mass of the object, and the geometry of the object. So
the first sentence of your question is not really
informative: if the 90 lb object was a giant sail, even a
slight breeze would "toss it around" but if it were a 90
pint jug of water, it would take a hurricane to move it.
Since the second part of the question talks about people, we
can assume the wind is such that if one person stands
upright facing the wind, the wind will blow her away if she
has a weight less than 90 lb. So, if 3 people stand, all
facing the wind and holding hands, they will be collectively
blown away. But if the three stand hugging each other, their
total area exposed to the wind will be probably just a
little larger than the area of one of them alone and, since
their total mass is much greater than 90 lb, they would not
be blown away.
QUESTION:
When putting a golf ball I
feel there is a point on it's roll where the ball "dies" or loses its momentum and rolls out. Would this point be visible on a graph of the balls deceleration or measurable in some way?
ANSWER:
This depends a lot on the properties of the green itself—its
slope, how the slope varies with position, how fast the
green is (how dry it is, the type of grass and its length,
etc .) I will do the simplest case, motion on a
level green where the ball is rolling and not slipping,
as an example; I think this will provide the answer to your
question. Motion if the green is not level is considerably
more complicated and I will not do that here. It may be
shown that the force f on a ball of mass m
is of rolling friction is given by f=N (5/7)ρ g
where N is the normal force (the weight
mg on level ground where g =9.8 m/s2
is the acceleration due to gravity) and ρ g
is a dimensionless parameter explained in the
web page referred to above; I would call the coefficient
of rolling friction for the golf ball on the green μ R =(5/7) ρ g .
Typical values of ρ g are between
0.065 (fast) and 0.196 (slow); I will use an average value
of 0.13 for my calculations, so μ R =0.093.
So, you see, the "deceleration" is constant and therefore
its graph would not be informative. More interesting would
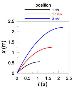
be graphs of position and velocity.
The first
graph shows that, regardless of the initial velocity,
the rate at which the ball slows is the same for all;
the faster you start, the longer it takes to stop.
The second
graph shows the the distance traveled increases
quadratically (proportional to t 2 )
with initial speed.
The third
graph shows more clearly the distances traveled by each
ball: about 0.5 m, 1.25 m, and 2.25 m.
Finally,
keep in mind that I have assumed that the ball rolls the
whole way and that may not be the case always.
Particularly if the ball is struck hard, it is likely to
slide for a bit before it stops sliding and purely
rolls.
If you
want to do similar calculations for going straight up or
down a sloped green, then the normal force would be
reduced by an amount proportional to the cosine of the
slope angle and there would be an additional force due
to the weight pointing down the incline proportional to
the sine of the slope angle.
If you
want to examine the case of a putted ball on an incline
and not straight up or down it becomes a two dimensional
problem and much more difficult.
If you are
really interested, there are lots of more detailed web
sites addressing the physics of putting.
QUESTION:
Friction is independent of area but all factors which cause friction
don't adhere to this statement i.e molecular bonds and hence adhesive
force are directly propotional to no. Of molecules which further to
surface molecular density× area of surface. Deformation of surface also favour area factor.
So why it doesn't depend on area. Either the cause is wrong or mathematical equation ( which cannot be wrong) showing f= k×mg.
Whats your opinion sir?
ANSWER:
The force of friction is proportional only to the force and
the proportionality depends on the surfaces in contact,
F= μN . Is that a law of physics? The
answer is certainly not, it is an expression of the results
of experiments which have measured the frictional force over
many materials and situations. It is an approximation, not
an absolute law, but for normal conditions it does a quite
good job. Your arguments about molecular bonds or number of
molecules is wrong because what is going to matter is the
force per molecule and a larger area has more molecules but
a proportionally decreased force per unit area. The finer
details of more microscopic descriptions of friction,
though, can get very complicated and there are whole
institutes devoted to studying friction. An
earlier
answer discusses this issue for automobile tires.
QUESTION:
I just started exercising at a local high school. I found a rectangular, rubber "field weight" that lift while I walk on the beach. It is 9"x14". It's 7 lbs. I'm wondering how much mass I'm actually lifting when I hold it extended out horizontally and lift over my head. My arm is appx 26".
ANSWER:
The mass (and weight) does not change. No matter what the
orientation of your arm, the force you need to apply with
your hand to hold it steady is 7 lb. But it feels harder
when horizontal than vertical, doesn't it? The reason is
that your muscles must exert a torque about your shoulder
and that torque is greatest when your arm is horizontal.
That torque is 26x7=182 in ⋅lb when horizontal
and zero when vertical. When vertical the muscles which
provide the torque are relaxed but other muscles must
provide the 7 lb force. If your arm makes an angle
θ with the horizontal the required torque is
182cosθ
in ⋅lb .
QUESTION:
Is it true that Energy can neither be created or distroyed?
ANSWER:
This is conservation of energy. It is only true for isolated
systems. If an external force does work on a system, energy
in the system changes.
QUESTION:
Which golf ball each struck at 100 mph swing speed would fly farther, 46.0 grams, 56.0 grams, or 65.0 grams?
ANSWER:
Simply stating the club speed does not adequately define the
problem. What really matters is the initial speed of the
balls. What matters is the time the ball is in contact with
the club and the average force the club exerts on the ball
during that time. I have worked out two possible scenarios
below, all balls with the same initial speed and all balls
with the same linear momentum.
My first
approximation would be to assume that all start off at
the same speed and angle relative to horizontal. The
speed of a ball off the tee is about 180 mph=80 m/s. In
that case, they would all go the same distance if there
were no air drag. Since you describe them as golf balls,
I would assume that they all have the same radius, about
21 mm. Since the air drag would be proportional to the
cross sectional area of the ball, they would all
experience the same drag force at a given velocity; but
the force would have a bigger effect on the lighter
balls, so the 65 gram would go farthest. The three
graphs below show a calculations done numerically on a
website I found; the distances are about 270 m, 300
m, and 320 m for a launch angle of 450 . The green curves are the trajectories with
no air drag, the black include drag. See below for more
details about how air drag is calculated. (I note that the 56
and 65 gram balls are illegal, the maximum allowable
mass being about 46 grams.)
m =46
grams
m =56
grams
m =65
grams
My second approximation is that all three would
experience the same average impulse from the club;
impulse is I=Ft where F is the average
force and t is the time of contact with the
club. The impulse is equal to the change in the linear
momentum mv , so all three would start off with
the same linear momentum. This is a more likely scenario
assuming identical strikings by the club because a
heavier ball has more inertia and would leave the club
with a smaller speed. So, if the 46 gram ball had an
initial velocity of 80 m/s, the 56 and 65 gram balls would
have speeds of 66 m/s and 57 m/s. With no air drag, the
lighter ball would go the farthest because it started
out the fastest. But air drag would take some or all of
that advantage away, so we need to estimate the drag.
For a smooth sphere, the drag force can be approximated
(only in SI units) as ¼Av 2 =¼π (0.021)2 v 2 =3.5x10-4 v 2
N. But a golf ball is not smooth—it has dimples to
reduce drag to about half of this value, about 1.7x10-4 v 2
N. The corresponding accelerations at launch would be
a 46 =F /m 46 =24
m/s2 , a 56 =13 m/s2 ,
a 65 =8.5 m/s2 . The light ball
loses speed, at the start, about twice as fast as the
middle ball and about 3 times faster than the heavy
ball. So which is more important, the rate at which the
speed is removed or the speed when it starts out? The
three diagrams below show the calculated trajectories.
m =46
grams, v 0 =80 m/s
m =56
grams, v 0 =66 m/s
m=65 grams,
v 0 =57 m/s
So you see
that the best ball in my second approximation is the lightest
one, the distances being about 270 m, 240 m, and 210 m
for a launch angle of 450 .
QUESTION:
I was wondering if you could tell me how Einstein came up with the equation
E=mc 2
ANSWER:
You have to know a little about physics to understand this
answer. I will mostly be qualitative, but you need to know
what force, acceleration, velocity, time and energy are.
Let's first talk about classical physics first. Newton's
first law may be stated that the force F
experienced by a particle is equal to the time rate of
change of linear momentum p=mv , where m is
the mass and v is the velocity, so
F=m (Δv /Δt )=m (Δv /Δx )(Δx/ Δt )
assuming m is
constant. Here Δv is the change in the
velocity over the time Δt and Δx
is the distance traveled in that time. You can rewrite this
F Δx=mv Δv= ΔW . ΔW
is called the amount of work done if F acts over
the small distance Δx . The energy which a
particle acquires when work is done on it is called kinetic
energy K . Now, if m is at rest when t =0
and F is applied, the work done and hence the
kinetic energy may be shown to be (using calculus) K = ½mv 2 .
It turns out that when
the velocity of a particle is very large, comparable to the
speed of light c, the classical definition of linear
momentum is wrong. Instead,
p=mv /√[1-v 2 /c 2 )]=γmv .
Now proceed just as we did in the classical case but now we
must solve the modified equation,
γmv Δv= ΔW ;
this is a little trickier because γ depends
on v . The final result is that the kinetic energy
is K =γmc 2 -mc 2 ;
although this does not look at all like ½mv 2 ,
it is pretty easy to show that for very small v
(compared to c ), this is almost exactly equal to
the classical value. You can read the final answer as the
kinetic energy is something (γmc 2 )
minus a constant (mc 2 ); this is now
interpreted as something=the total energy E =γmc 2
and the constant=energy the object has by virtue of
its mass E 0 =mc 2 .
This makes sense because if v =0, γ =1
and so E 0 =E=mc 2 . So,
just to be sure that you understand the iconic equation, it
is the rest energy which equals mc 2 , not
the total energy which is γmc 2 .
QUESTION:
Does it require more energy to accelerate an object from 201 kmh to 202 kmh than it does to accelerate the same car from 1 kmh to 2 kmh, neglecting aero drag and all other friction.
I say this because the formula for Kinetic Energy seems to suggest it DOES take more energy. Since KE goes up by velocity SQUARED, the different between the "V" components of the formula will be much greater at higher speeds than lower speeds.
I have an Excel file illustrating this if that is easier.
KE=.5MV^2
Mass=4
KE1 = .5*4*1^2
KE2 = .5*4*2^2
KE3 = .5*4*201^2
KE4 = .5*4*202^2
(KE2-KE1)>(KE4-KE3).
Since conservation of energy means whatever KE is "taken out" of the system was at some point put INTO the system, I would imagine it takes more energy to accelerate an object from 201 to 202 kmh as it would from
1 to 2 kmh, right?
I thought of this because a supercar maker would need more energy to get to 202 kmh than it would to get to 2 kmh even neglecting things like rotational intertia, aero friction and other friction. I find this interesting, something a supercar maker might not even consider much but maybe I am missing something.
ANSWER:
I have answered
this question (although with different numbers). You should
be able to read this and understand what you are "missing".
QUESTION:
As a particle moves closer and closer to the velocity of light, its mass grows continuously. Would this particle eventually gravitationally attract the whole universe leading to a universal collapse?
ANSWER:
First of all, have a look at an
earlier answer to get some perspective on how small the
mass of an accelerated proton is even if going 99.9999999%
the speed of light. Now, keep in mind that the gravitational
force falls off like the square of the distance away from
the source; there are black holes out there which have
masses billions of times the mass of the sun, and do you
feel any force which would have us collapsing into them? And
the energy being expended accelerating your particle will
require the loss of mass from your energy source. The
ultimate fate of the universe depends on all the conditions
which exist right now —it will either keep
expanding forever or will reverse and fall back into itself,
depending on these conditions. A lot will depend also on
dark matter and dark energy, both of which are poorly
understood at present.
QUESTION:
The magnetic quantum number means that the electron generates a magnetic field?
ANSWER:
The magnetic quantum number represents the z- component
of an angular momentum of a particle. The electron can have
two different kinds of angular momenta, orbital and spin.
The orbital angular momentum results, simplistically, from
the electron orbiting around the nucleus; of course, this
orbit is a tiny current loop and current loops have magnetic
fields. It turns out that the electron also has an intrinsic
angular momentum as if it were spinning on its own axis;
since it is charged and a spinning charge is an electric
current, it is not surprising that a free electron has a
magnetic dipole moment. Any moving charge distribution
creates a magnetic field. Historically, angular momenta of
atoms and nuclei were most conveniently observed by
measuring the resulting magnetic fields and that is how they
acquired the name "magnetic"; a better name would probably
be projection quantum number.
QUESTION:
I have a three floor home. Each floor has its own air conditioning unit and thermostat. I am wondering how to set the temperature on each level to maximize cooling and minimize AC use?
Comment: what I have done is to set the top at 75, middle level at 73, lower at 71. My thought is since hot air rises, I will help the upper units, but I have no evidence that this model is correct. And my son suggested the opposite. Since cool air sinks, he suggested setting the top at 71, mid 73, bottom at 75. Furthermore, the way the house is designed, the air from the third floor can’t really work it’s way down to the floors below. And there is a wide open space starting at the bottom level where a column of hot air can rise to both upper levels. I wonder if an answer exists or if it really depends upon the exact layout of the house?
ANSWER:
I am afraid that my answer is more common sense than
physics. What does a thermostat do? It turns the AC on or
off to maintain the temperature you want to be comfortable.
Set each thermostat to the comfort level you want on that
floor of the house. It will automatically take care of
whatever causes the temperature to change, in particular any
influences from other floors. To save energy, set all as
high as possible. If it were my house, I would set all at 76
or 78.
QUESTION:
When a glass falls will the impulse be greater if it lands on plush carpet than if it lands on a hard floor?
ANSWER:
The impulse is the change in linear momentum, and in both
cases the momentum the glass hits the floor with momentum
mv and ends with zero momentum, both the same
change. But, the result will probably be that the glass
breaks on the hard floor and not on the carpet. The reason
is that, since impulse is force times the time the force
lasts, the force the floor on the glass is impulse/time,
much bigger for the hard floor since the time is much
shorter.
QUESTION:
Newtons gravitation creates a dependency on the distance for the FORCE of gravity (mass)(acceleration). Why is it that an object dropped at 200K feet elevation measured in time for a total of a 50 foot interval, will take the same amount of time if dropped at 200 feet elevation for that same 50 foot interval? I am assuming (mass)(acceleration) means just that in the equation when referring to the "Force" of gravity.
ANSWER:
Where did you get the idea that the time over a 50 foot fall
does not depend on altitude? The acceleration of gravity
gets smaller as you get farther away from the surface of the
earth where g =32 f/s2 . The acceleration
of a dropping object a distance h above the earth
is g (h )=MG /(R+h )2
where R ≈2x107 ft is the
radius of the earth, M is the mass of the earth,
and G is the universal gravitational constant.
Since
g (h= 0)=32 f/s2 ,
we can write that g (h )=32/(1+ (h /R ))2
and can apply this to your question: if h =200 ft,
g (200)=32/(1+(2x102 /2x107 ))2 =31.999
ft/s2 and if h =200,000 ft=2x105
ft, g (200)=32/(1+(2x105 /2x107 ))2 =31.369
ft/s2 . So it will take slightly longer to fall
the 50 ft at the higher altitude, but not a big difference
because even 200,000 ft is much smaller than the radius of
the earth. The bottom line is that the FORCE of gravity is
not the same at different altitudes. (I have neglected air
drag.)
QUESTION:
If I understand the Higgs field correctly in that it provides mass to otherwise massless particles. Does it not follow the universal speed limit C would be better defined in relation to the strength of the Higgs field in any specific region of spacetime?
ANSWER:
First of all, the speed of light is a universal physical
constant; something which is a universal constant does not
have a definition, c is simply a speed which must
be measured. I would have no idea how to relate the Higgs
field to the speed of light.
QUESTION:
I was wondering if a cotton ball going at 1000 mph will kill you? If not , then at what speed will the cotton ball kill you?
ANSWER:
See a recent similar question . Since
you specify "cotton ball", I am thinking the kind you buy a
pack of for first aid type uses; googling, I find that the
mass of a cotton ball is about 0.5 grams (g). 1000 mph is
about 450 m/s. So if this cotton ball collides inelastically
(meaning sticks to) with a person of mass 100 kg (about 220
lb) the recoil speed can be calculated from momentum
conservation: 450x0.5x10-3 =(100+0.5x10-3 )v
or v ≈0.0023 m/s=2.3 mm/s, almost at rest. But
what
was
the force? To get that we need to estimate the time it takes
for the collision to take place. Suppose that the cotton
ball compresses from a typical thickness of 1 in ≈2.5
cm=0.025 m to a thickness of 1 mm=0.001 m. I estimate that
the time to stop is about 10-4 s which would
correspond to an average force over the collision time of
about 22.5 N ≈5 lb; this would certainly not
kill you or even break any ribs.
I think I will not
flounder around trying to estimate the speed necessary to
kill you. One reason is that air drag has a huge effect on a
speedy cotton ball. If you could get a cotton ball going
1000 mph, it would almost immediately lose its high speed. I
figure that the air drag force on the cotton ball is about
250,000 times its weight! As the graph shows, the speed of
the cotton ball will fall from 450 m/s to 4 m/s in one
second! This is easy to understand: how far do you think you
could throw a cotton ball? Even a big league pitcher who
could give it a 100 mph speed when he released it would be
unable to throw it anywhere near the distance to the plate.
(If you are interested in how I calculated this, I estimated
the air drag force to be ¼Av 2
where A is the cross sectional area of the cotton
ball, roughly π *0.01252 , v
is the speed, and the "exact method" given at the end of an
earlier answer has been used.)
QUESTION:
Hypothetical question. If it were possible to create a copper tube going through the centre of the earth (I.e. North to South). Then drop a magnet through the tube; would the magnet keep falling between the opposite poles and generate infinite electricity?
ANSWER:
When a magnet moves through a conducting tube, it
experiences a force due to Lenz's law; this force increases
in magnitude as the velocity increases and points in the
direction opposite the direction of the velocity. So if you
have a vertical tube and drop a magnet in it, the magnet
will start speeding up but the upward force will get larger
and larger as it speeds up until the upward force is equal
to the downward force of the magnet's weight. Once this
happens the magnet falls with constant speed, called the
terminal velocity; it is very similar to the motion of an
object falling through air and experiencing drag. See a very
good
demonstration on YouTube. So your magnet will quickly be
falling at some small speed. But, as it gets farther and
farther toward the center, the gravitational force gets
smaller and so the terminal velocity gets smaller and so the
magnet will slow down more. So all the way to the center of
the earth where the gravitational force is zero, the magnet
gets slower and slower. Eventually it will end up at rest at
the center of the earth. Even if it kept going all the way
to the other pole, the "electricity" which its motion generates is in the
form of currents running around the circumference of the
tube and therefore not accessible to you.
QUESTION:
Hey I'm doing an Extended Response Task which requires me to design a rollercoaster. The first bit of it is to find an appropriate motor to pull the cart up the incline to the top of the hill. My cart was 2588kg and the incline was 40 degrees. It started from rest and accelerated to 3m/s on a flat plane then enters the incilne where is remains at a constant velocity. I tried using:
KEi+GPEi+Wmotor=KEf+GPEf+Wfriction+Wdrag
But when I converted the work to horsepower, it was 76hp. This can't be true. What am I doing wrong?
ANSWER:
For starters, hp is a unit of power, not work. Power=work per unit time. Secondly, surely I need to know how high it is to the top of the incline. Third, if you calculate the change in total energy you are calculating the total work done on the cart, which is the work done by the motor (positive)+friction (negative)+drag (negative). Unless you have a way of estimating or measuring the work done by the dissipative forces, you cannot know the work done by the motor. Otherwise, if you give me the height I can calculate the net work done on the cart; also, since I know its speed I can calculate the time to the top so I can get the power (which will include the power due the dissipative forces).
RESPONSE:
Hey,
the height is 50m
ANSWER:
Keep in mind that the period of acceleration is not really
relevant. The problem of interest begins with the cart at
the bottom of the incline with a speed of 3 m/s. Also, the
calculations I do below for the frictional forces are just
rough approximations the main importance of which is to show
that they are more or less negligible for your problem.
The kinetic energy up to
incline is unchanged, so the change of total energy is the
change in potential energy which is mgh =2558x9.8x50=1.25x106
J. This is the total work done by the motor, rolling
friction, and air drag (keeping in mind that work done by
the latter two is negative). Now, since the length of the
incline is s =50/sin400 =77.8 m, the time
it takes to get there is 77.8/3=25.9 s so the net power is
P =1.25x106 /25.9=4.83x104
W=64.8 hp (which raises the question why you thought 76 hp
was so off what you expected).
Now we should address the question of how important a role
dissipative forces are since you are particularly interested
in the power requirements of the motor. If there were no
friction at all, the force required from the motor to pull
the cart at constant speed up the incline is F =2558x9.8xsin400 =16,100
N. Air drag can be approximated only in SI units) by f drag =¼Av 2
where A is the area presented to the onrushing wind
and v is the velocity; so I imagine a cart 3 m wide
and 3 m high with A=9 m2 . Therefore, f drag =¼x9x32 =20.3
N, basically negligible compared to F . I googled
and found that the coefficient of rolling friction for a
roller coaster cart is about μ =0.01, so f friction =μN=μmg cos400 =192
N; this is still much smaller (about 1.1%) than F ,
although you still might want to make a correction. To
correct for dissipative forces, add them to F to
get the required force from the motor: F motor =16,100+20.3+192=16,300
N. So the work done by the motor is 16,300x77.8=1.27x106
J and the power of the motor is P motor =1.27x106 /25.9=49,000
W=65.7 hp.
QUESTION:
If one wheel is rated for, say, 300 lb, how much could a pair spaced three feet apart hold? Want to build a hand cart.
ANSWER:
If the load is evenly distributed between the two wheels,
that is, the center of gravity is halfway between the wheels
(d 1 =d 2 ), each wheel
would support up to 300 lbs and the load could be as large
as 600 lb. However, if d 1 ≠d 2 ,
one wheel would support more than half the load. The forces
which the ground exerts on the wheels are N 1
and N 2 ; the weight is W .
The two equations which describe the equilibrium are W=N 1 +N 2
and N 1 d 1 =N 2 d 2 .
If you solve these you find N 1 =W /(1+d 1 /d 2 )
and N 2 =W /(1+d 2 /d 1 ).
So, you see, if d 2 =d 1 ,
each wheel holds up half the total weight. But, in your
case, if W =600 lb and d 1 =1 ft
and d 2 =2 ft, N 1 =400
lb and N 2 =200 and the left wheel would
fail. (Note that how far apart they are makes no
difference.)
QUESTION:
I am told that atmospheric air pressure depends on altitude and the height
of the column of air above me. But I'm also told that the vapor pressure
around me does not depend on altitude and is solely a function of
temperature. But the atmospheric pressure is also a combination of the
partial pressures of all the component gases (oxygen, nitrogen, water vapor,
etc.). Why is water vapor special in this instance? Why don't we consider
the partial pressure of oxygen to be solely a function of temperature as
well? Why does the partial pressure of oxygen depend on the atmospheric
pressure but the pressure of water vapor does not? How would I go about
calculating the partial vapor pressures of all component gases independent
of altitude, or can this be done? If not, again, why is water vapor unique?
ANSWER:
I
do not know. (I was dodging the question! Thermodynamics was
never my strong suit and I really did not want to research
it! On the other hand, if someone is persistent I will
usually pursue the question further as long as it is not an
"Off the Wall Hall of Fame"
candidate!)
FOLLOWUP QUESTION:
Ok. Is my question legitimate in your mind (i.e. phrased properly)? Is there another resource to whom you think I should pose this question? Do plan to pursue this in any capacity going forward?
ANSWER:
OK, you win! The reason that water vapor is unique is that,
at the temperatures and pressures we are talking about,
water vapor is able to make a phase transition to either
water or ice. You do not need to worry about O2 ,
for example, turning into a solid or liquid at usual
atmospheric temperatures or pressures. You can probably find
everything you need in the
Wikepedia article on vapor pressure of water and links
therein. (It is not simple!)
QUESTION:
Is the following analysis correct? For a photon of light traveling at the speed of light, time comes to a stop. Thus, in its own reference frame, the photon does not experience time. Therefore, from it's reference frame, the photon does not exist because a particle cannot exist for zero time.
ANSWER:
I have answered essentially this question several times. The
crux is that a photon does not have a "point of view" and
cannot carry a clock with it; therefore it is not meaningful
to ask the rate at which a clock in that frame runs because
you can never get a clock into that frame. See an
earlier answer .
QUESTION:
do uniformly rotating body just like fan have linear accelration? in this regard every rotating body has linear accelration so a rotating body cant be in complete equilibrium however it can be in rotational equilibrium because linear or tangential velocity during circular motion changes at every instant however if a body is moving with uniform linear velocity it satisfies both conditions of equilibrium
ANSWER:
This question addresses whether a fan which is running is in
equilibrium. It is true that if you take a point on one of
the blades to focus your attention on, that point is not in
equilibrium. Or, if you focus on the center of mass (COM) of
one of the blades, that blade is not in equilibrium. But, if
you sum the forces on the three COMs, they will add to zero.
Therefore the net force on the fan from the rotating blades
is zero. When solving an equilibrium problem for a system,
the translational equation is that the sum of all forces
must equal zero. For the fan pictured, the only forces on
the fan are its own weight (acting at the COM of the whole
fan) and the normal force from the table. All internal
forces add to zero, do the normal force must have the same
magnitude as the weight and act in the opposite direction.
The normal force must also act through the COM in order to
satisfy the second condition of equilibrium, all torques
must add to zero.
QUESTION:
Light speed is constant in all inertial frames.This constant speed is what allows us to see. However, what happens to light speed in non-inertial (accelerating) frames? Would we be able to see in that case?
ANSWER:
What makes you think that the constancy of the speed of
light has anything to do our ability to see? In noninertial
frames, the speed of light is still a constant but the
velocity may not be since light is bent in a gravitational
field. This is predicted by the theory of general relativity
and has been observed many times.
QUESTION:
Is it possible the rotation of the earth is what causes gravity?
ANSWER:
Certainly not! In fact, the rotation of the earth causes a
centrifugal force which is trying to throw you off so it is
more like an antigravity. But that depends on your latitude
and there is no centrifugal force at the poles. Even at the
equator where the centrifugal force is biggest, it is about
0.35% the gravitational force (your weight). The origin of
gravity is well described by the theory of general
relativity.
QUESTION:
why does a confined gas exerts pressure ?
ANSWER:
Because the molecules of the gas are moving very fast and
when a molecule hits a wall of the container it exerts a
force on the wall.
QUESTION:
What is the difference between linear and non linear sound?
ANSWER:
The mathematical equation for linear waves is aptly called
the wave equation. This equation is a linear equation which
means that if f 1 and f 2
are both solutions to the wave equation, so is f 1 +f 2 .
The hallmark of the wave equation is the superposition
principle where if more than one wave is traveling through a
medium, the net wave is simply the sum of all the waves.
Sound waves are normally linear, but if the amplitude of the
waves is very large, the equation which describes them is
not linear and therefore the superposition principle does
not hold.
QUESTION:
Not a homework question. Just something I've been wondering about on and off for years. Question: (If) someone could travel at light speed or close to light speed and they traveled 10 light years away from earth and then took another 10 light years to come back to earth. For the people on earth how much time has passed? Is there a formula?
ANSWER:
First of all, nothing can travel the speed of light except
light. So, as seen by someone on earth, the traveler will
take 20 years for the round trip. For the traveler, however,
the distance will shrink by a factor of √(1- β 2 )
where β is the ratio of the speed divided by
the speed of light, L '=L √(1- β 2 ).
For example, at 99% the speed of light, L '=10√(1- 0.992 )=1.41
ly. So the time elapsed on the traveler's clock will be
2x1.41/0.99=2.85 years. You should read the earlier answer
about the twin paradox .
QUESTION:
This is not really a question about my homework, but I have problems with the uncertainty analysis, which I need for my lab report. I've got 3 results for an oscillation period. Now I have to get an average value of those 3 results. All of these results have their own uncertainty (the same for all of them). How do I get the average with its uncertainty now without ignoring the uncertainty of every measurement. It would be great, if you could help me.
ANSWER:
If you make N measurements of x the
uncertainty of each is Δx , then the
uncertainty of the average, Δx avg ,
is Δx avg =Δx / √N .
QUESTION:
Hey I have a report due on in 3days and its an experimental investigation on the double slit experiment. The laser I used was 650+-10nm. If the experimental values I found were 656+-33nm and an extreme one such as 575+-150nm (this was from the max and min slope uncertainty) how would you calculate the percentage error? I dont understand becuase we dont know the *exact value of the wavelength.
ANSWER:
Independent sources of error should be added in
quadrature . For example, if u 1 =33 nm
and u 2 =10 nm, u = √(332 +102 )=34.5
nm.
QUESTION:
Why does the candle flame always burn in upward direction?
ANSWER:
Because "hot air rises". The hot gasses in and around the
flame expand to a smaller density than the density of the
cooler air around it. It is then like a hot air balloon
which has a upward buoyant force on it. This would not
happen if there were no gravity which is basically the
reason there is a buoyant force.
QUESTION:
Are time and temperature proportional? If so, how?
ANSWER:
First, let's define "proportional". It means, in your case,
that the temperature is a linear function of time; this
means that the ratio of temperature and time is always a
constant. Therefore, for example, if the temperature at 5:00
is 100 and at 6:00 is 200 ,
then at 7:00 the temperature will be 300
if temperature is proportional to time. Is the temperature
always proportional to the time? Obviously not. For example,
the temperature outdoors is sometimes increasing, sometimes
decreasing, sometimes remaining constant. If you place a
cold object in a warm room, the object will warm up but not
linearly (see a recent answer as an
example). Is it ever a linear dependence? Yes, you could
arrange for it to be proportional. For example, if you add
heat at a constant rate to an object which is well insulated
so that no heat would escape, the temperature would increase
at a constant rate, i.e. linearly.
QUESTION:
I race mountain bikes and currently have 27.5
inch diameter wheels on my bike. Currently many people are switching to
29 inch wheels which they claim are easier to maintain rotation when
pedalling If the two different size wheels weigh the same, and all other
factors are equal, how much easier would it be to keep the rotation
going thru peddaling on the 29 inch wheel than the 29.5 inch wheel? Show me what the difference in force needed to maintain the same rpm on a 29 vs a 27.5 with all things about the wheels and tires being equal (EVERYTHING) weight, tire pressure, temperature of air, same tires being used, same surface etc.
Example: if two wheels, one 27.5 and the other 29 inch, with same tires
weight say, 800 grams, how much more force does it take to maintain
rotation on the smaller wheel once both tires are rolling at the same
rpm? If possible, could you give me an answer in percentage, as that
would greatly help me in determining the truth about how much an
advantage the larger wheels are for racing and if the price is worth the
expense.
ANSWER:
You are really asking the wrong question, or at least one of
the least important questions in comparing the efficacy of
the different wheels. You are asking the force required to
maintain the same rotational speed which would correspond to
constant speed of the whole bike+rider. The figure shows all
the forces on the bike+rider: the total mass m
times the acceleration due to gravity (g ) is the
weight and acts at the center of gravity, the normal forces
(N i ) on each of the wheels from the
ground, the forces (f i ) due to the
rolling friction of the wheels on the ground, and the air drag force f d which depends on
the speed (proportional to the the square of the speed, see
below). The relation between the speed (v ) of
the bike and the rotational speed (ω ) of a
wheel of radius R is v=Rω . So, for
constant ω the ratio of the speeds is v 27.5 /v 29 =27.5/29=0.95;
since you specified constant angular speed and the drag is
proportional to v 2 , the air drag would
be 0.952 =0.9 smaller (10% smaller) for the slower
(27.5) bike. However, this does not seem to me to be the right
thing to look at; rather you would want to know how much force you would need
to apply to keep the 27.5 and 29 inch bikes going with the
same
constant speeds and that is what I will do now. The
rolling friction forces are both proportional to the the
corresponding normal forces and N 1 +N 2 =mg
and the force (shown in green) you need to keep it going forward with
constant speed is f you =f 1 +f 2 +f d =μmg +f d
where μ is just some constant (called the
coefficient of friction) and f d is
the same for bikes going the same speed. Therefore, the only
things which determine the force you need to apply to keep
either bike going with some constant speed are the total
weight and the speed. Note that f you is
the frictional force exerted forward by the rear (driven)
wheel, not the force you exert on the pedals; the force on
the pedal would depend on the length of the pedal crank and
the gear you were in.
QUESTION:
Why is your feet feel cold when you stand on a slab of ice?
ANSWER:
One of the ways to state the second law of thermodynamics is
that heat always flows from high temperature to low
temperature . You can always make heat flow from cold to
hot (that is what a refrigerator does), but you must make
that happen by adding energy, it will not happen on its own.
So, your feet are hotter than the ice, so heat flows from
your feet to the ice, thereby cooling your feet and heating
the ice. You can slow this flow down by wearing good boots
and woolen socks.
QUESTION:
What are the three places on a pinewood derby car where friction primarily occurs?
ANSWER:
There is an
earlier question on pinewood derby which has a link to
the best video I have seen on how to win. If you watch this
you will find, I believe, the main friction losses are to
wheels rubbing on axles, air drag from poor aerodynamics,
and wheel rubbing on the rails.
QUESTION:
Can water exist as a vapour at 25 0 C and 1 atm while we know that the normal boiling point of water is 100
0 C?
ANSWER:
We certainly know that water can exist in a vapor state
under those conditions in the air. But you cannot have pure
water vapor under those conditions as you can see by the
phase diagram. The maximum amount of water at a particular
temperature and pressure which air can support is called the
saturation fraction and the relative humidity is the
fraction of that amount actually present.
QUESTION:
Hey, I had a thought that I am not qualified to answer, nonetheless still curious about. Just as positively charged objects have an out-going electric field and negatively charged ones have inward electric fields, Is it possible that our idea of inward gravity is a result of us living in a "negative" universe? Could there be "positive" universes where gravity would behave similarly to a positively charged object? Hope this isn't a poor question it's just been on my mind a lot.
ANSWER:
Negative and positive charges and inward and outward fields
are arbitrary choices. In other words, a universe where all
masses were "negative" and the fields all pointed out would
be indistinguishable from our own. Although electrostatics
and gravity appear to be very similar, in fact they are very
dissimilar —there are two kinds of charge but
only one kind of mass. This allows in their being both
attraction and repulsion in electrostatics but only
attraction in gravity.
QUESTION:
Would a green bowl weighing 2lb travel the same distance on the green as a bowl of 2lb 6oz if the same force were applied to both (the green is damp and heavy)
ANSWER:
Your statement about "the same force …to both"
does not adequately constrain the problem. You need to
specify that the balls start with the same speed (v ),
the same kinetic energy (½mv 2 ),
or the same linear momentum (mv ). The most
important force once the ball is released is the rolling
friction due to the green. This force is proportional to the
weight of the ball, so a 32 oz ball will experience a force
slowing it down which is 32/38 (84%) as large as the force felt by the 38 oz
ball. Suppose that a ball of mass m and
starting speed v goes a distance d before
stopping, and
the friction force is F=km where k is a
constant depending on the conditions of the green. Then it
can be shown that d =Cv 2 where
C is a constant which does not depend on the
weight of the ball (it depends on k and what
units you choose to use). Therefore, if the balls start with
equal speeds, they will go the same distance. The reason the
heavier ball, which experiences a larger retarding force,
goes as far as the lighter ball is that it has more inertia.
However, if you give the balls the same initial kinetic
energy or linear momentum, the more massive ball will have a
smaller initial speed and therefore not go not go as far as
the less massive ball.
QUESTION:
Why are the walls of my vocal tutor's voice room covered in foam and carpet?
Is it a wave thing she is trying to prevent?
ANSWER:
So
that the sound will stay inside the room, the foam/carpet
absorbing the the sound that hits it. People in nearby rooms
probably do not want to hear you practice. Although you
could not perceive an echo if the walls were not padded
(because the time of the echo arrival is so small), there
would be sound bouncing around in the room which would not
be the best environment to practice. Did you ever notice the
difference between a room with rugs, furniture, pictures on
the wall, etc. and that same room empty? The empty room
"sounds empty".
QUESTION:
What will happen if 100g cotton hits you with the speed of 2500km per hour?
ANSWER:
Strange question! Let's think think about recoil first. If
the cotton ball and you are stuck together immediately after
the collision, momentum conservation can be used to estimate
the speed of the two of you: m 1 v 1 =(m 2 +m 1 )v 2 .
Using v 1 =2500 km/hr≈70 m/s, m 1 =0.1
kg, and m 2 ≈100 kg, I find that
v 2 ≈0.07 m/s. 7 cm/s is pretty slow,
not a very dramatic effect. But, how much does it hurt? In
other words, what is the force you feel during the collision
and how long does the collision last? Assuming constant
decceleration during the collision and estimating that the
cotton ball compresses by about 10 cm=0.1 m, I find that the
collision time is about t ≈0.003 s and the
average force is on the order of F ≈m 1 v 1 /t =70/.003=23,000
N=5200 lb. The force to break a rib is about 3300 N, so this
is going to cause some serious bodily harm, almost certainly
killing you if you are hit in the head or chest.
QUESTION:
Who coined the term 'mass' and when? I can't find it anywhere.
ANSWER:
The Online
Etymology Dictionary has the following entry for mass:
"'lump, quantity, size,' late 14c., from Old French masse
'lump, heap, pile; crowd, large amount; ingot, bar' (11c.), and directly from Latin massa
'kneaded dough, lump, that which adheres together like dough,' probably from Greek maza
'barley cake, lump, mass, ball,' related to massein 'to knead," from PIE root *mag-
'to knead, fashion, fit.' Sense extended in English 1580s to
'a large quantity, amount, or number.' Strict sense in physics is from 1704."
I was unable to
determine who first (1704) used the word for the current
physics useage. It is difficult to determine because
Newton's
Principia was written in Latin and translations
would incorporate current physics usage. I believe, but am
not certain that in the first edition (1687) of
Principia he used the Latin gravitas
(heaviness) for both force and mass and that would be sorted
out in the second edition (1713) and in subsequent
translations. Because of linguistics twists and turns, it is
probably a fool's errand trying to give credit to a single
person, sort of like "…who invented TV?"
QUESTION:
Let your mass be m1 and the mass of large box be m2 . Now imagine that you are in the box, now the combined mass would be m1 +m2 . Now start applying the force on the floor of the box from inside the box. Does the mass of the body vary or its just the weight that varies?
ANSWER:
The "body" is me plus the box. The mass of the body, m 1 +m 2 ,
does not change. The weight of the body, (m 1 +m 2 )g ,
does not change either because the weight is defined as the
force which the earth exerts on the body; if the body is
sitting on a scale, this is what the scale reads. If I push
down on the floor with a force F , the floor pushes
back on my hand with a force F (Newton's third
law); since these are both forces on the body, they cancel
out so the scale reads the same. (I have assumed that the
body is not being accelerated.)
QUESTION:
I was trying to find out what would happen to Supercritical Water (3200psi/374C) if the pressure was suddenly reduced to 1 atm (14.7 psi). My guess is that it would immediately (and powerfully) flash to steam. But I've had many people tell me that "what happens" depends entirely on HOW the Supercritical Water was created. Was it heated in a boiler to supercritical state, compressed mechanically to supercritical state, found in moonrocks, etc. ?? Something about the "latent heat of vaporization", and if no heat was applied to CREATE the supercritical state, then the water would not expand to steam.
ANSWER:
Refer to the generic phase diagram above. (The green line
qualitatively represents the line between solid and liquid;
the green dashed line qualitatively represents the anomalous
solid-liquid interface for water.) Since you specify
"supercritical water" I assume that you are not at the
critical point but in the region just above that point in
the area labelled supercritical fluid in the phase diagram
above. At any temperature above the critical temperature (T cr )
there is no distinguishing between vapor and liquid. Above
the critical pressure the water is called a
supercritical fluid , below it is called a
supercritical gas .
Contrary to what "many
people" have been telling you, the
sample retains no memory of how it got where it is on the
phase diagram; if you were exactly at the critical point, I
guess that it might be argued that the fractions of liquid
and vapor depend on how you got there, but you have
specified that the water is supercritical, beyond that
point. What does matter, though, is how you reduce the
pressure. You can either reduce the temperature (keeping the
volume constant), increase the volume (keeping the
temperature constant), or some combination of the two. If
you increase the volume while holding the temperature
constant, as indicated by the orange arrow A, you would
still be supercritical but you would perhaps call it
"supercritical steam" instead of "supercritical water". If
you then cooled it, it would become normal water vapor below
T cr . (I have also included an accurate
phase diagram for water.)
QUESTION:
How much force is exerted on an upright motorcycle rider at highway speeds ??
ANSWER:
A fairly good approximation of air drag F (in
Newtons) is F ≈ ¼Av 2
where A (in m2 ) is the area
presented to the wind and v (in m/s) is the speed.
(This only works if you work in SI units; I will convert the
answer to pounds in the end.) So, taking v =70 mph≈30
m/s and A ≈ ½ m2 ,
F ≈¼x½x302 ≈113
N≈25 lb.
QUESTION:
When we say that a clock in moving frame runs slower than a clock in stationary frame. What does it mean?
ANSWER:
If you are moving relative to me, I observe your clock to be
running more slowly. The easiest way to understand this, I
believe, is the "light clock" which you can read about in an
earlier answer .
(Key to understanding this is the notion that the speed of
light one measures is independent of how you are moving.) It
would also help you to understand if you read about the "twin
paradox ".
QUESTION:
Could we extract the Helium-3 isotope from the solar wind?
ANSWER:
From data given in one
publication I could find, I figure that the flux of
3 He in the solar wind is less than 3000 atoms/cm2 /s.
That is not a very promising source of an isotope!
QUESTION:
I need the simplest description possible of the double slit experiment. Is this correct?
A scientist takes a box and at one end puts a laser with the ability to shoot photons, the building blocks of light. The other end of the box is just a plain wall.
In between, the scientist puts a piece of cardboard with two vertical slits.
In step one of this experiment the scientist shoots photons through the slits to see what kind of pattern they'll create on the wall on the other side of the box. If light is made up of particles, then the photons will hit the wall as a series of dots, randomly placed. If light is a wave, the pattern on the wall will be uniform.
Here's where it gets very strange. Whenever this experiment is carried out, if the scientist is observing it, the pattern on the wall will be uniform, indicating the light is acting like a wave.
However, if the scientist doesn't observe the experiment, if he does it within a closed box and looks in when it's complete, the pattern will show the particles hit the wall in random fashion.
In other words, the result of the experiment depends on whether someone is watching it or not.
ANSWER:
There are a couple of problems with your question. First,
"If light is made up of particles, then the photons will hit
the wall as a series of dots, randomly placed." What
actually happens is that the photons make two stripes on the
wall which are simply images of the two slits. Second, "If
light is a wave, the pattern on the wall will be uniform."
In fact there is a pattern of many stripes on the wall with
diminishing intensity as you get farther from the central
brightest stripe; this is called an interference (or
diffraction) pattern. Your "very strange" part has problems
too. The scientist cannot just "look in", she must do a
particular kind of looking —she must do an
observation to determine which slit the photon went through.
If she does not make that observation, the photons will make
an interference pattern meaning that they are waves.
However, it she does observe which slit the photon goes
through, there will be no interference pattern. A cute
little video may be seen
here
(it is for electrons instead of photons, but the idea is the
same).
QUESTION:
If you were driving 90 mile an hour and you hit a 600 pound horse and the horse stayed in the car with you how much wood it slow the car down our way 3200 pounds
ANSWER:
Use momentum conservation: 3200x90=3800V , so V =75.8
mph.
QUESTION:
What is a black body?
ANSWER:
It is an object which absorbs all electromagnetic radiation
which falls on it. There is no such thing, but an excellent
approximation can be made. The most common way to fabricate
a near perfect black body is to take a hollow metal object
and drill a tiny hole in it. Radiation hitting this hole
will enter the body, get absorbed in the wall, and reradiate
inside. But the reemitted radiation will have a very low
probability of "finding" the hole and coming back out. A
black body is also a perfect radiator. Using the hollow
metal object, imagine that you heat the metal to some
temperature and observe only radiation coming out of the
hole (not from the outside of the metal object). This is
called black-body radiation (see spectrum above). Around the
beginning of the 20th century, the failure to understand the
spectrum using electromagnetic theory led to the discovery
of quantum theory in physics. Stars turn out to be very good
approximations of black bodies and by observing the emission
spectrum of a star astronomers can determine its
temperature. Our sun has a temperature of around 5000 K.
QUESTION:
Does mono-atomic hydrogen (1 proton + 1 electron, in a bound state) actually exist in universe? Not di-atomic molecular hydrogen, not the ion, and not hydrogen bound in molecules (e.g. organic compounds), but a simple "atom of hydrogen"? If you believe so, what experimental evidence is there, and under what conditions does it exist?
ANSWER:
The
Wikepedia article
on hydrogen states that "Its monatomic form (H) is the most abundant chemical substance in the Universe, constituting roughly 75% of all baryonic mass."
Most of this resides in the interstellar medium, the vast
regions betweens stars and galaxies. Temperatures greater
than 3000 K break the molecules into atoms.
QUESTION:
If I have two positive charges, that are repelling each other, I force them closer together, doing work on them, and then pin them in place.
The work I did on them appears as energy in the electrostatic field between them.
now, it is explained, that the "force" is mediated by the exchange of virtual photons, and these virtual photons "borrow" energy versus time. ( which is explained as a violation of energy conservation, but is allowed, briefly, in quantum mechanics) However, if the field has energy in it, why do the virtual photons need to borrow energy vs time? Wouldn't the virtual photons just "borrow" energy from the field, and when nothing happens (since they are pinned in place)just return the energy to the field?
ANSWER:
You should first read the answer to an
earlier
question . This answer emphasizes that this idea of
photon exchange is a "cartoon" to help visualize the
qualitative role of virtual photons in a quantized field and
should not be taken too seriously or literally. Your
statements regarding the photons "borrowing energy" is
totally unnecessary. No energy is borrowed from anywhere.
When a virtual photon appears, the energy of the system
suddenly increases, violating energy conservation; it turns
out that, because of the Heisenberg uncertainty principle,
it is perfectly ok for this to happen as long as it doesn't
happen for too long a time.
QUESTION:
I would like you to comment a thought that I have concerning the definition of weight.
Almost every definition (from textbooks to physics sites and encyclopedias) of weight is to say that it measures the force of gravity on a object. I strongly disagree with these notion and I think it's quiet armful.
By means of an example I'll illustrate "my case".
Grab an object and suspended it from a dynamometer.
Situation 1: If the dynamometer is at rest relative to earth (inertial frame of reference) it measures directly the object weight, and indirectly, the force of gravity on the object.
So far so good. But...
Situation 2: if we let go of the dynamometer you will clearly observe that it's reading is zero.
So you find yourself in the situation where there is still the force of gravity (the dynamometer is falling...) but there is no weight (the scale reading is zero).
This simply experiment shows two things.
First, in a inertial frame of reference weight equals the force of gravity (situation one). In a non inertial frame of reference weight is different from the force of gravity (situation 2).
In our daily lives most of the time we find ourselves in situation 1. But now and then (elevators, jumping from a higher place to the ground), we are in a situation where weight no longer is equal to the gravity pull.
ANSWER:
I am sorry, but you cannot disagree with a definition. A
definition is a definition. You can say that you would not
define the quantity that way, but you would be mostly alone.
The most uniformly accepted definition of weight is the
force which the local gravitational field exerts on a mass.
And this is completely reasonable. In your situation 2, the
scale reads zero but the weight is just what it was before
you let go. Even in an accelerating elevator, your weight is
just the same it is when the elevator is at rest.
"Weightless" is misnomer for an orbiting astronaut. I once
found myself teaching an introductory physics course from a
textbook which had been chosen by a committee. To my horror
I found that the weight was defined as "what a scale reads",
so your weight, using that definition, increases when you
are in an upward accelerating elevator. I have talked to
scores of physicists since then and all have agreed with me.
You also mentioned inertial/noninertial frames of reference.
If you are thinking about what weight is in special or
general relativity, you need not worry about it because
force is not a useful concept in relativity theory. The
reason is that acceleration is not an invariant quantity and
therefore different frames of reference would see a given
force as having different values; in relativity mass is the
important concept for determining inertial properties.
QUESTION:
How much power would be necessary to create a forcefield that could hold
back over a hundred million cubic feet of water at a depth of over 6,000 ft? I'm trying to come up with a way to create temporary force fields for ocean archaeology the idea being basically creating a site of
8 Points as markers for the site then produce a forcefield to empty the water out from within the designated site area. I'm thinking a magnetic force field would be the best solution due to the fact that electricity can be harnessed from the Earth's electromagnetic field.
ANSWER:
Water experiences zero net force from either a magnetic field or an electric field. In an electric field the water would become polarized (it is a dielectric) but no net force. There is absolutely no field that I can think of which would simply hold water out of a volume. To do what you want to do you would need to simply build a water proof box around the site and pump the water out. At 6000 feet down the pressure is about 2600 psi; if you had one atmosphere of pressure in the air inside, this would correspond to having about 176 atmospheres of pressure on the outside, so the box would have to be really strong.
I am also curious how you will "harness …Earth's
electromagnetic field". If you could extract energy from the
air, surely it would have been done by now. I think there
was something like that in Ayn Rand's novel Atlas
Shrugged . but that was purely science fiction.
QUESTION:
I have four axle stands, well made but not certified to any particular
weight.
If a vehicle is supported on four stands will each stand need to support
only 25% of the total weight?
ANSWER:
The answer is no, probably not. How much weight each stand
will carry depends on where the center of gravity of the car
is located. The singlest biggest weight of the car is the
engine so, in a front-engine car, the center of gravity is
going likely to be closer to the front axle than the rear;
so the front axle stands will bear a larger fraction of the
total than the rear. Usually the center of gravity is
equidistant from the left and right sides of the car, so the
left and right stands of both front or rear axles will
bear the same weight. To make this more quantitative,
suppose each stand in the front (rear) exerts an upward
force of F (R )
on the car as shown in my figure; the weight W
acts at the center of gravity. Now, if the center of gravity
is a distance d F from the front axel and
a distance d R from the rear axel, it may
be shown that F= ½Wd R /(d R +d F ).
So, if d R =d F ,
F=W /4 or if d R = 2d F ,
F=W /3.
By the way,
F and R are
forces the stands exert on the car. Newton's third law
tells you that the car exerts equal and opposite forces on
the stands (action/reaction).
QUESTION:
We know that the speed of light is the same in every reference frame whether stationary or moving. Is there any physical reason behind this constant speed of light? Or is it from mere observation that we have come to know about it?
ANSWER:
See faq page. Two faqs of interest are
here and
here .
QUESTION:
If you have 800 lbs of steel falling 12 feet what is the force of the fall?
ANSWER:
I get this kind of question all the time. The question has
no answer unless you know how long it takes the weight to
stop (or how far it falls before stopping). I can calculate
the time it takes to fall 12 ft (0.87 s) and the speed it
has after having fallen 12 ft (28 f/s) but I cannot find the
force it exerts on whatever it has fallen on unless I know
how long it took to stop. For example, suppose it takes 0.1
s to stop; then it can be shown that the average force over
that 0.1 s is about 7800 lb. If the time were instead 1.0 s,
the force would have been about 1500 lb. See the
faq page.
QUESTION:
Are the laws of physics always changing because of our planets forever changing position in the universe?
ANSWER:
One of the most important tenets of physics is that the laws
of physics are the same everywhere in the universe. People
have looked for evidence of the possibility that the laws
change as time passes, for example by observing astronomical
objects which we can see billions of light years away, but
all observations have given no indication of changing laws.
QUESTION:
I recently received 3- rug runners from a company wrapped in plastic but to my surprise their was a round orange sticker on each of the 3 -runner rugs that said x-ray and under the word x-ray there was a small box with a check mark and next to the marked box it said tick after x-ray. WHAT DOES THIS ORANGE STICKER MEAN? Can you help me? Any answer would be much appreciated.
ANSWER:
I
do not know for sure. My best guess is, particularly if they
were sent air freight or came from overseas, that they were
x-rayed to make sure there were no bombs or contraband items
(drugs, weapons, etc .) and the stickers were to
notify the recipient that this had been done. But do not
worry—the x-rays are long gone and have done no damage
nor have caused any lingering radiation.
QUESTION:
Why is it required that the lever of a weight balance should be horizontal to compare equal weights on the two sides of its pan? Is it possible to compare two equal weights on the two sides of the pan even if the lever is in an inclined position? Is it a misconception that to compare equal weights on the two sides of a weight balance the lever must assume a horizontal?
ANSWER:
I have explained the workings of a beam balance in an
earlier answer . The key is to realize
that the center of gravity of the balance itself is below
the pivot point.
QUESTION:
While studying magnetism, I got curious why magnetic field lines can be visualized with iron filings. To my understanding, the field lines are not actually existing physical objects, but just man-made imaginary lines to help us understand the field intuitively and visually.
One explanation that I thought of was that friction between the iron filings and the paper(as paper is typically used in iron filings experiment) prevent the filings from moving closer to the magnet at some point, but I am not entirely sure and it is incomplete.
ANSWER:
Certainly the "lines" are not really there; but the field
itself is real. What happens is that the iron is
magnetizable in a magnetic field. Each filing is like a tiny
needle so it becomes a tiny bar magnet when placed in a
magnetic field. Since it is so tiny, it thinks that it is in
a uniform magnetic field, which on its scale is an excellent
approximation. In a uniform field a bar magnet feels no net
force but it does experience a net torque trying to align it
with the field, the north pole of the bar magnet pointing
along the field.
QUESTION:
Is there any relationship between a sine wave and the bell shaped curve used in statistics? They look similar. Is there a reason for this or is it just a ...
ANSWER:
Is this a joke? A test of my memory? These are the exact
words of a
question I answered many years ago.
QUESTION:
I was heading towards a bus terminal with my son during a steady rain. When we walked on a long ramp, we have observed that the water was not
fl owing c ontinuously, but there were waves at roughly equal distanc es, rolling down pretty rapidly on the surfac e.
The water supply was
c ontinuous on the elevated end, so the emergenc e of the waves was not apparent, but the resulting pattern was spec tac ularly regular.
Why do these waves appear? What is their veloc ity? What is the time interval between waves?
ANSWER:
Looks like the 'c' on your keyboard is not working! Don't
know what happened to the 'fl'. Anyhow, it is really
difficult to give a definitive answer without more
examination of the situation first hand. My best guess is
that, although the supply was "continuous", there was a
slight depression or obstruction where the water was being
added which was periodically emptying and getting refilled.
QUESTION:
here is another question for you. The questions I sent are a deal me and my friends are doing for fun becuse we just learned about the mole number deal in chemster and we wanted to do our own little project together it is not a homework deal. here is the question.
how many times would a mole of eiffel towers go to the VEGA star and back to earth?
ANSWER:
The height of the Eiffel tower (ET) is about 1000 ft/ET; the
distance to Vega is 25 ly ≈8x1017 ft;
so the number of ET to Vega is about 8x1014 ET so
a round trip is about 16x1014 ET. Avagadro's
number is about 6x1023 , so the number of round
trips is about 6x1023 /16x1014 ≈3.8x108 =380,000,000.
QUESTION:
Can the energy of a holon be harnessed and used? Can a split electron be put back together? Does an electron give off holon energy when split? Is a holons energy limitless? What is holon energy like, is it like electricity?
ANSWER:
The following quote is from
Physics Stackexchange and more or less summarizes why
your question is basically unanswerable: "Spinon, orbiton and holon are quasiparticles, they are not actual constituents of the electron. We know about particles by their interactions, and it appears that in condensed matter physics some phenomena are best described as interactions of new kind of particles which are actually arising from complex collective behavior."
An electron is a particle without constituents. However,
sometimes under special conditions where there are very many
electrons all closely packed, the results of their
interactions which involve a very large number of them can
be well described by inventing new particles. These
particles do not really exist, per se , but assuming
that they do gives accurate descriptions of physical
phenomena. As far as I could find, these collective
behaviors are best observed in one dimensional systems. If
you google holon physics you will find places where you can
read about experiments.
QUESTION:
Why does to every action there is an equal and opposite reaction?
ANSWER:
Because that is the way nature works. This is a law of
nature (Newton's third law) which comes from experimental
observation.
QUESTION:
Why does energy can never be created nor be destroyed?
ANSWER:
It is partly due to the way energy is defined: if no forces
outside of any system do work on the system, the total
energy will not change because of the way energy is defined.
QUESTION:
Why does when an object fall on the sand it displace into the sand.why not it just stop as it will also get the same reaction force from the sand
ANSWER:
The reason is that the sand is not just one thing but many
little things. When the object hits the sand it is really
hitting hundreds of tiny grains of sand and each grain of
sand experiences a force which moves it independently of the
other grains. All these tiny forces add up to a larger
reaction force on the object.
QUESTION:
How light is formed?
ANSWER:
Generally speaking, all electromagnetic radiation (of which
visible light is just a tiny part) is generated when
electric charges are accelerated. Much of the visible light
you see comes from atoms. When an atom is excited to a
higher energy state it jumps back down to a lower state and
emits a little bit of light which carries off that energy.
QUESTION:
How tall are radio waves? (AM or FM)
Absolutely nothing on the Internet addressing this question.
ANSWER:
The reason that you could not find anything is that the
amplitude of of radio waves (electromagnetic waves) is not
measured in length. A water wave (water moving up and down)
or a wave on a string (string moving up and down) can be
expressed in meters or inches, but not all waves are
something waving in that way. What waves in a radio wave are
electric and magnetic fields. An electric field, for
example, is measured in Newtons per Coulomb, a force divided
by an electric charge, so it is a meaningless question to
ask how tall it is.
QUESTION:
Suppose there were two particle accelerators which accelerated
particles to a high percentage of c. if the particles were then directed on a collision or near collision course, what would happen?
ANSWER:
I do not know what you are asking. Each particle would see the other
approaching with a speed which is a higher percentage of c. What
happens depends on what the particles are and on chance and on how
fast they are actually going.
FOLLOWUP QUESTION:
I was wondering what would happen as the particles (with some mass) approached each other at greater than c? Also what would an observer see? Would space deform to limit the approach speed?
ANSWER:
I see now what your question is. So, if each particle has a
speed of 0.9c , you are assuming that each would see
the other as having a speed of 1.8c , right? You are
thinking classically and, indeed, that is not the right way
to add velocities when the speeds are not small compared to
c . See an
earlier answer . The correct way to calculate the
relative speed if one particle has a speed u and the other
is moving in the opposite direction with speed v is
v' =(u+v )/[1+(uv /c 2 )].
So, for example, if u=v =0.9c , v'=1.8c /(1+0.92 )=0.9945c .
QUESTION:
My question has to do with Voltage, aka potential Voltage is always described as potential, as in potential energy. In most mechanical systems, potential energy can get turned into kinetic energy, and usually the kinetic energy is what does the energy transfer to other things. In electricity, the voltage drops (energy transfer) seem to be described as if the electron never acquires a change in kinetic energy, and the energy automatically comes from the "potential"
the drift velocity of the electrons doesn't change very much, the energy transfer to the load, comes directly from the potential energy.
why don't electrons first change the potential to kinetic then kinetic to the load? it seem that the energy goes directly from potential to the load?
ANSWER:
To keep this as simple as possible, I will work only with
uniform electric fields; so a point charge experiences the
same force in magnitude and direction no matter where it is.
This allows us to focus on the principles without all the
integral calculus necessary to do it more generally.
This is tricky stuff,
and you have some confusion about electric potential which
is common to almost all students when they first learn it. I
prefer to talk about electric potential, leave the term
"voltage" out of it; if you insist on using voltage, it is
the same a the difference in electric potential between two
points in space. Potential is not the same thing as
potential energy, just the same as electric field is not the
same thing as electric force.
The force felt by a
charge Q in an electric field E
is F =QE .
Since we are using a uniform electric field, I will choose a
coordinate system such that the field points in the +x
direction. (This very question was dealt with very
recently except for gravitational
forces and fields.) Now, the difference in potential energy
(PE) between two points, x 1 and x 2 ,
is the negative of the work done by the electric
field on a charge Q moving from x 1
to x 2 : ΔU=U final -U initial =U (x 2 )-U (x 1 )=-QE (x 2 -x 1 ).
Now, suppose we choose a coordinate system such that x 1 =0,
x 2 =x , and U (x 1 )=0;
Then U (x )=-QEx . The minus sign
says that as a positive charge moves in the direction of the
field (+x ), the PE gets smaller (just as in the
case of a gravitational field); but as a negative charge
moves in the direction of the field, its PE becomes larger.
So, left to its own devices a positive charge will "fall" in
the direction of the field but a negative charge will "fall"
opposite the direction of the field. So, one reason one
might want to introduce electric potential is to avoid this
ambiguity. We follow the same procedure to define as was
done to define electric field —divide out the
charge: E =F /Q
and, now, Δ V= Δ U /Q.
So, you see, you have to be careful how you use the
terms, force, field, potential, and potential energy. Force
is N, field is N/C, potential energy is J, potential is J/C.
Now I will finally
address your question which, if I understand correctly, is
why the electrons in a conducting wire don't just keep
accelerating because their potential energy should be
decreasing all the time. In fact, the electrons are
accelerating all the time but they are trying to make their
way through a forest of atoms and they do not go very far at
all before they bump into an atom and transfer their kinetic
energy to the atom and have to start all over again. So it's
go-stop, go-stop, go-stop, go-stop, etc . And, what
happens to the electron energy losses from all those tiny
collisions? It goes to heating up the wire. Don't you worry—energy
is conserved!
QUESTION:
I suspect you may have been asked if anti gravity is possible and I understand that there is no current theory stating that anti Gravity can exist in they way it is displayed in fiction. However my question is this. Do you know of or every heard of a theory that could support shielding from the effect of gravity? Generally speaking it would cause a large mass to be manipulated like a boat floating on water. If I have gone beyond what you normally accept for questions I apologize. But searching on the internet on this subject has only lead me to questionable information at best. I thought perhaps you could lead me down a better path. I ask this because I armature writer of fiction. When possible I like to use concepts that can sound not impossibly implausible.
ANSWER:
Your hand is an antigravity machine —you can
hold a mass up, overcoming gravity! My point is that you
need only find a way to exert a force on a mass which is
equal and opposite the gravitational force to overcome
gravity. E.g ., if you have have an object which has
some electric charge Q and you turn on an upward
electric field E , the object will float if EQ=W
where W is the weight of the object. In the last 20
years it has been observed that the stars which we can
observe near the outer edge of the universe are not only
moving away from us (that has been known for nearly 100
years now) but they are actually speeding up. If gravity
were the only force which those stars see, this would be
impossible because gravity is an attractive force; therefore
there must some repulsive force pushing out on those distant
start and its origin has been called dark
energy . Nobody really understands what dark energy is,
but in your fiction you could imagine that somebody has
managed to harness dark energy and if you had a dark energy
power generator on your space ship, you could use it to push
your ship away from a planet. So, dark energy could be
thought of as antigravity.
QUESTION:
What is the difference between gravitational force and gravitational force per unit mass?
ANSWER:
Suppose you have a 1 kg mass and it experiences, due to the
gravity of some large masses in the vicinity, a
gravitational force of 3 N. If you now replace that mass
with a 2 kg mass, you observe a force in the same direction
as the 1 kg felt and which you measure to be 6 N. Now put a
10 kg mass where the 1 and 2 kg masses were; you find that
the force it experiences is 30 N. You do this enough times
to convince yourself that the force which a mass m
experiences at that point in space is proportional to m .
You could write this as an equation, F =mG
where G is called the
gravitational field. So you can solve for the field,
G =F /m. F
is a force measured in Newtons (N) and G
is a field which is measured in Newtons per kilograms
(N/kg). In the example I gave, G
=3 N/kg and you would have to specify some direction to
specify the field completely, but it will be in the same
direction as the force F . Force
tells you the force which a particular mass will
feel, field tells you the force any mass will feel.
QUESTION:
With Boyle's law, what would happen to the pressure of a gas inside a sealed bottle, if the bottle was squeezed tightly, reducing the volume of the gas by half?
ANSWER:
It depends on how you do it. If the temperature remains
constant (isothermal) while you squeeze, Boyle's law would
tell you that PV =constant, so if V becomes
half as big, the pressure becomes twice as big. But, you
have to allow energy to flow out of the bottle in order for
the temperature to remain constant; one way to do this is to
squeeze very slowly so that the temperature of the gas can
equilibrate with the ambient temperature. On the other hand,
if you reduce the volume very quickly or thermally insulate
the bottle very well, it is called an adiabatic compression.
For this situation it may be shown that PV γ = constant,
where γ=C P /C V
and C P and C V are
the specific heats at constant pressure and volume,
respectively. For a monatomic gas γ= 5/3 and
air is pretty well described by γ= 7/ 5.
So, let's assume your bottle is filled with air. Then P 1 V 1 7/5 =P 2 V 2 7/5
so P 2 /P 1 =27/5 =2.64.
You can also find the temperature because it may be shown
that TV γ -1 =constant
so T 1 V 1 2/5 =T 2 V 2 2/5
so T 2 /T 1 =22/5 = 1.32.
(Temperatures must be absolute temperatures. Similarly,
pressures must be absolute, not gauge, pressures.)
Q&A OF THE WEEK,
3/24/2018
QUESTION:
I am constructing a floating dock out of pressure-treated lumber and 55-gallon empty plastic barrels and want to ensure that I provide sufficient buoyancy. Although the dock comprises a ramp and a platform, they will be only loosely connected (with slack rope and eye bolts), and the buoyancy calculations for the platform are easy; it's the ramp that is giving me headaches. Specifically, one end of the ramp will be sitting on the shore and the other end will be supported by the plastic barrels. The ramp is T-shaped, with the lakeside end wider to accommodate the barrels. Please give me some guidance as to how I might analyze a T-shaped structure with the narrow end on shore and the wide end kept afloat by barrels, so that a weight of w placed at any point on the ramp will not submerge the barrels more than 45% (because, although I think I did a good job sealing off the barrel caps, I'd rather not have to find out). Although I've meant for this question to be somewhat general to allow for design modifications, I will mention that I've built part of the ramp already, with the walkway being 3' wide and 8' long, and the cross of the T being 5' wide and 3' long and covering two empty barrels; I'm willing to add another section with more barrels if needed. Any help in analyzing buoyancy of a T-shaped ramp with the narrow end resting on land would be greatly appreciated!
ANSWER:
I will not be able to do any quantitative calculations without knowing
the weights of the ramp and dock. Also, will the level of the water
remain fairly constant?
FOLLOWUP :
I must mention that I modified the design to make the walkway eight feet longer, so that it is now 16 feet long. Also, I had another empty 55-gallon barrel on hand, and placed it lengthwise under the walkway at the end where the walkway joins the cross of the tee. The salient data for the components are as follows:
T-shaped ramp (total weight 648 lb)
Walkway (463 lb) is 3 feet wide and 16 feet long; a 55-gallon drum is placed under the walkway on the lake end.
Cross of tee (185 lb): 5 feet wide and 3 feet long, covering two 55-gallon drums.
The dock platform weighs 515 lb and is 8'x8'. Four 55-gallon drums support it.
My dock will be located in a tributary of the Potomac River. As such, the water is tidal, varying in depth between 2 and 5 feet. (This is the reason I did not join the ramp and the platform rigidly, as I anticipate that the angle of surface of the ramp relative to that of the platform will fluctuate, given that one end of the ramp rests on the
shore.)
In order to help visualize the situation, I am attaching three JPG images which I created in Sketchup. Please note that these images do not include the latest modification, whereby I lengthened the walkway and placed a barrel under its far end. Also, I recognize that you will probably make certain simplifications in order to expedite the analysis.
That is fine with me; I only wish to obtain a rough idea of the limits of motion of the ramp and dock as I walk upon them.
At high tide the walkway and platform are approximately
horizontal. At low tide the water level is about 2-5 feet
down.
ANSWER:
Some preliminaries:
The volume of each
barrel is 55 gallons=7.35 ft3 ;
the density of
water is 64.2 lb/ft3 ;
each barrel is 45%
submerged, so each barrel provides a buoyant force of
7.35x64.2x0.45=212 lb;
each barrel has a
weight of 21.5 lb;
I will first do the
platform which is easiest if you assume that the load is at
the center.
The weight of the
platform is 515 lb;
the weight of the
four barrels is 21.5x4=86 lb;
the weight of the
load will be denoted as W ;
the buoyant force
of the four barrels will be 4x212=848 lb.
Therefore,
W = 848-515-86=247
lb.
If
the load is not in the center, the total buoyant force will
still have to be 848 lb but the platform will tilt so that
two of the barrels will be submerged more than 45% and the
other two less than 45%. I made an estimate of how much the
platform would tilt if the load were moved over to 1 ft
from one side edge. Without going into details, the heavy side
would go down by about 2.8 inches and the other side would
go up by the same distance; the corresponding tilt would be
about θ =4.50. This would make two
of the barrels 65% submerged, beyond your desired limit.
Next I will look at the
walkway.
the weight of the
tee and two barrels under it as well as the net buoyant
force of those barrels act at 17.5 ft from the shore ;
the weight and
buoyant force of the third barrel act at 14.5 ft from
the shore
the maximum weight
W acts at a distance x from the shore;
there is a force
F exerted up by the shore which we will not
need to know;
I have assumed that
the ramp has no interaction with the platform, since
reference is made to "slack ropes".
All this is shown in my
diagram. If one now sums the torques about the point of
shore contact and sets that sum equal to zero, the product
Wx can be solved for.
0=212x14.5+424X17.5-228x17.5-21.5x14.5-Wx -463x8=2488-Wx .
Wx =2488 ft⋅lb.
So, for x =19 ft, the end of the ramp, W =131
lb. I am guessing that this result does not make you happy!
I am not sure how
rigidly coupled the platform and walkway are ("slack ropes"), but suppose
that they are coupled as if, when horizontal, they were
rigidly attached. So now the summed torque equation is
0=212x14.5+424X17.5-228x17.5-21.5x14.5-Wx -463x8+848x23-601x23=8169-Wx .
So W =8169/x . So, for x =19, W =430
lb and for x =27, W =303 lb. It would seem
that it is important that the coupling be designed such that
the platform can help hold up the walkway. I figure that the
walkway will only go down a maximum of about 150
at low tide; this should
not significantly alter the estimates I made for the horizontal
situation. So you
should allow a fairly rigid coupling like some kind of
hinge.
QUESTION:
If you have two metal spheres of the exact same volume, however with differing masses, say one sphere at 1kg and one at 10kg, attached each to an identical parachute, will they fall at different speeds? We know that two spheres of the same volume with differing mass will fall at a nearly identical speed, as the drag is identical. I have had it put forward to me that somehow adding a parachute into the system dramatically affects the outcome.
ANSWER:
"We know that two spheres of the same volume with
differing mass will fall at a nearly identical speed …"
Sorry, that statement is wrong. It is true, as you state,
that, since they have the same size and shape, the drag
forces will be the same on both. But, that force will have a
much bigger effect on the less massive sphere because it has
much smaller inertia. Adding identical parachutes will still
result in the drag forces being identical, but the more
massive ball+parachute will still fall faster. (You can
understand this intuitively. Imagine a bowling ball and a
balloon the same size. Drop them from a height of 2 m and
surely the bowling ball will hit the floor first.)
To be a bit more
quantitative, the drag force is of the form f D =Cv 2
where C is a constant determined by geometry and
v is the speed the object if falling. As the object
falls from rest, v gets bigger and bigger.
Eventually f D will equal the weight
W and thereafter it will fall at constant speed because
the two forces add to zero: W =Cv 2 ,
so v t =√(C /W )
where v t is called the terminal
velocity.
QUESTION:
Hi! Just another curious soul here. How do subatomic particles (especially fundamental ones that are parts of the Standard Model) transfer energy to each other? Can it be achieved by means of physical proximity? (E.g. A magnetron pointed to a cathode ray tube and shoots it with electrons in a high-energy state).
ANSWER:
The best current description of interactions among
elementary particles is quantum field theory. The
mathematics of the theory are difficult but the basic ideas
can be understood qualitatively. Each quantized field has
particles which respond to that field. The three fundamental
fields in the standard model are the electromagnetic field,
the strong or nuclear field, and the weak field. The way
that the particles interact with each other is by
"exchanging" field quanta. The field quanta, respectively,
are the photon, the gluon, and the Z0 and W± .
Any charged particle feels the electromagnetic field, any
particle made up of quarks feels the strong field, and the
particles called leptons (the electron being one) feel the
weak field. Interestingly, the fourth fundamental field,
gravity, has not been quantized and so, although a graviton
has been hypothesized, there is no successful theory of
quantum gravity.
QUESTION:
The question relates to a medical procedure.
If you fill a balloon to a set pressure to use in a semirigid tube to dilate it, will the radial force exerted on the tube by the balloon be different if the balloon is filled with water as opposed to air? In otherwords, does the density of the medium filling the balloon change the radial force exerted on the walls of a hollow tube if pressure is kept constant?
Is there a known law that describes this?
ANSWER:
I am afraid that your question
is very ambiguous. I do not get the picture at all. What is the idea,
to use the balloon to pressurize the tube or vice versa? When you say "to
use in a semirigid tube to dilate it" what does "it"
refer to? Can you give me a description of what this device does and
how it is used?
Would the tube be filled with water also? Is the patient horizontal or
vertical? Is the balloon above or below the tube?
FOLLOWUP:
The tube is a hollow tube with muscular walls. The patient is laying flat. The balloon is within the tube at an area along the tube that is narrowed compared with the rest of the tube.
ANSWER:
Ah, one picture is worth a thousand words! Water has a
density about 1000 times the density of air. Therefore,
although you
can ignore the pressure differences between places at
different heights for air, you can possibly not for water. That is, the pressure will be higher at
the bottom of the balloon than at the top by an amount
ρgd where ρ is the density
of the fluid, g ≈10 m/s2 is the
acceleration due to gravity, and d is the diameter
of your inflated cylindrical balloon. For example, if d =1 cm=0.01
m
the pressure on the back side is 0.1 N/m2 =1.5x10-5
psi larger at the front for compared to 100 N/m2 =0.015
psi for water. In other words, the back side of the
esophagus (I assume that is what this is) must support the
weight of the water creating a larger push by the balloon on
the back than the front. The density of the fluid does make
a significant difference; I have no way of judging whether
the difference is enough to make a difference in the efficacy of
your device.
QUESTION OF THE WEEK 3/17/2018
QUESTION:
I have a 40' ladder that weighs 300 pounds.
Standing it up with it's foot
against a wall. And walking it up. It gets heaverier and heavier; at the
half way point it feels the heaviest. How much does it weigh half way stood
up?
ANSWER:
The weight of the ladder does not change if you go up it. It is always 300
lb. Why do you think it gets heavier?
FOLLOWUP QUESTION:
With the feet of the ladder against the wall..with ladder not extended...each section is like..21and a half feet long... Starting at the inter end of the ladder..standing it up you have to go ring by ring...it just feels like it weighs a ton before it is stood all the way up..feels
heaviest at a 35-40 degree angle . it takes all you can do to stand it up
ANSWER:
There are four forces acting on the ladder: the weight
W of the ladder, the force
F which you apply, the force N
which the floor exerts up, and the force f
which the wall exerts to hold the ladder from sliding. I
have assumed that F is applied
perpendicular to the ladder. At any angle θ
the force necessary to hold it can be determined by summing
torques about the corner of the wall and floor: Στ =0=FD- ½LW cosθ.
So, the force you must exert to hold up the ladder is
F =½W [(L /D )cosθ ].
Now, this is not so simple because as the ladder gets
higher, cosθ gets smaller but L /D
gets bigger. So, we have to make a further assumption about
how the ladder is lifted. Having done this, my recollection
is that I start off lifting the end straight up over my head
and then raise it by walking toward the wall lifting as I
go. So F is always applied at a
constant height h above the ground; then sinθ =h /D
and
cosθ= √[1-(h /D )2 ].
So, F =½W (L /D )√[1-(h /D )2 ].
So we should put in some numbers, W =300 lb, L =21',
h =7': F =(3150/D )√[1-(7/D )2 ].
The graph illustrates how F varies: starting at
D =21' the force you must apply increases from a little
less than half the total weight until you get about halfway
(10', just as you perceived qualitatively) where it is about
225 lb. For the rest of the way F decreases rapidly
to zero when the ladder is upright. The angle for the
maximum F is about 350 , also about what
you observed.
ADDED COMMENT:
To determine in general the location of the maximum value of
F , set its derivative equal to zero and solve for
D . dF /dD =LW (2h 2 -D 2 )/[2D 4 √(1-(h /D )2 )]=0.
The root of interest to us is D=h √2, so for
h =7', D =9.90'. (The other real roots are
at D=-h √2 and D =± ∞.)
QUESTION:
I was in a vehicle accident and had some injuries to my neck. For the life of me, I could not figure out how. I was sitting still in a light vehicle called a Polaris slingshot. I had a full jaw helmet on as well.
I was curious about the average head around 10 to 11 pounds, and maybe a 2 pound helmet(?), what was the weight of my head on impact. The truck weight appx. 18,000 pounds I think (single axle box truck) and hit us about 10 -12 mph. Maybe that will help me understand how a slight bump hurt my neck so bad because I just don't get it!
ANSWER:
I can make a rough estimate of the force which your head
felt during the collision using momentum conservation. The
weight of the Polaris is about 1800 lb and the weight of the
truck is about 18,000 lb. I will assume a perfectly
inelastic collision, the two are stuck together after the
collision. In that case 18,000x10=(1800+ 18,000)v
where v is the speed of the two after the collision.
Solving, v ≈9 mph. If the collision lasted
some time t , your head experienced an accleration
of about a =(9 mph)/t . To translate that
into a force F , use Newton's second law, F=ma
where m is the mass of your head. Suppose the
collision lasted about 1/20th of a second, t =0.05
s. Then, if you work that out, the average force your head
felt during the collision was about 80 lb, quite enough to
cause a neck injury, I would think.
QUESTION:
Hi there, I homeschool my son and we have come across a few questions in the syllabus that I'm having trouble explaining to him, I was wondering If you could please elaborate on the question/s and how he can work out similar problems in the future and what I can use as future reference material for him to brush up on?
A large box of mass
M is moving on a horizontal surface at speed
v 0 . A small box of mass m
sits on top of the large box. The coefficients of static and kinetic friction between the two boxes are
µ s and µ k , respectively. Find an expression for the shortest distance
d min in which the large box can stop without the small box slipping.
A pickup truck with a steel bed is carrying a steel
file cabinet. If the truck's speed is 15 m/s, what is the shortest distance in which it can stop without the
file cabinet sliding?
ANSWER:
These are homework-like questions which I usually refuse to
do. However, I am happy to help this homeschooler dad get
the basic idea. These problems are essentially the same
question. I will do the first one (which is more general)
and let you see if you can do the second. You will need to
look up the coefficient of static friction of steel on
steel.
The
first thing to do is to choose a body upon which to
focus your attention; ignore everything else at this
point. I choose to look at m .
Next, draw a diagram and show all the forces acting on
the body you have chosen. In this problem, there are
three forces: the weight of the box, mg
straight down; the normal force N which M
exerts upward on m , unknown for now; and the
frictional force f which M exerts on
m in the negative direction, also unknown.
Also, choose a coordinate system and resolve the forces;
in this simple example, all the forces are already
trivially resolved: N x =(mg )x =f y =0,
N y =N , (mg )y =-mg.
f x =-f . The acceleration
a is in the negative x -direction,
a x =-a and therefore f x
is in the negative x -direction. (If you are not
sure of the direction of a force, choose it to be in the
positive direction and if you find that the magnitude of
the force is negative, you drew it in the wrong
direction.)
Apply Newton's laws; the box is in equilibrium in the
y -direction (Newton's first law) and has an
acceleration in the x -direction (Newton's
second law): ΣF y =0=N-mg
so N=mg , and ΣF x =ma=f
so a=f/m .
Now, since the box is not slipping, what we know about
f is that f≤μ s N =μ s mg .
Therefore, a≤μs g so the
largest the acceleration can be is a=μs g.
Now apply the kinematic equations of motion which in
this case would be v=v 0 -μs gt
and d min =v 0 t -½μs gt 2 where
t is the time for the box to stop, i.e .
for v =0. Finally, t=v 0 /(μs g )
so d min =½v 0 2 /(μs g ).
Note
that you did not ever need to know either M or μ k .
It is very instructive, while we are at it, to look at
the bottom box now. Suppose the coefficient of kinetic
friction between M and the ground is μ k .
Now, what are the forces on M ? Clearly its own weight,
Mg down, a frictional force I will
call F , and a normal force
N' up from the ground. But M
is also experiencing forces from its contact with m .
Newton's third law tells you that the forces which m
exerts on M are equal and opposite to the forces
M exerts on m ; therefore, there are forces -f
(magnitude μ s mg ) and a force
-N (magnitude mg ) on
M . So now, going through the same procedure as above, ΣF y =0=N'-Mg-mg
so N' =(M+m )g and, ΣF x =Ma=-Mμs g=μs mg-μ k (M+m )g
so μ k =μ s .
It was a little surprising to me that the kinetic friction
coefficeint between ground and M is the same as the
static friction coefficient between M and m
for maximum acceleration. It is worth going through this to
illustrate Newton's third law.
Here is a little
warning. It is tempting to say that the weight of m
is a force down on M . But this is wrong because
that is a force on m , not on M . If you had
that mistake in this problem, you would have ended up with
the right answer. However, there will be many problems (e.g. ,
blocks on inclines) where making that mistake will cause the
final answers to be incorrect.
QUESTION:
Please. Explain the results using classical electricity and magnetism of the test depicted in the figure on page 10 where results of the 2-path experiment match exactly the results of an earlier experiment in the same lecture (page 2) demonstrating the property of repeatability of Color from one Color box to another Color box.
For reference, please see this
link .
ANSWER:
This reference is about superposition in quantum mechanics
and beyond the scope of this site. The first time the
questioner asked, he was trying to understand the
Stern-Gerlach experiment with all the "color box" stuff
in the reference. I told him that I could explain the
experiment with just classical E&M and a little QM. If he
cares, I have attached
the appendix from my second book,
Atoms and Photons and Quanta, Oh My! which explains
how the apparatus works and how its results are interpreted.
QUESTION:
Ok my question is somewhat a "what if" question but it pertains to basic laws of physics and questioning them in a way. Ok, say me and a friend each set a time on our watches to go off at a certain time and it's the same time for each of us. While the watches are counting down he goes to Saturn, and I stay on Earth. Now sunlight takes, I don't know how many minutes to get to Saturn but let's say 30 mintues. Ok when our timers go off on our watches I'm going to be zoomed in on him with the best telescope around , one where I can see him standing on Saturn. When the timers go off he will also start to waive at me. Now the question is , do I see him waiving right then, or 30 mins later?
ANSWER:
The shortest time of transit of light from Saturn to earth
is about 70 minutes, so let's go with that. I will assume
that both clocks read zero when you synchronize them and he
leaves. What you see through your miraculous telescope
depends on how fast he traveled to get there. If his speed
was very small compared to the speed of light (3x108
m/s), your clocks will, for all intents and purposes, still
be synchronized and it will take 70 minutes for the light
from his waving to reach you; you will not be surprised to
see his clock reading 70 minutes earlier than yours when you
see the waving. On the other hand, if he is traveling very
rapidly, say 80% the speed of light, he will get there,
according to your clock, 70/0.8=87.5 minutes. But his clock
will not read 87.5 minutes because he sees (length
contraction) the distance to be shorter, 70 √(1-0.82 )=42
light-minutes, so you will see him wave at 87.5+70=147.5
minutes on your clock; you will be surprised, however, if
your telescope is good enough, to see his clock reading 42
minutes.
QUESTION:
But for my work, I need to figure out one parameter. Usual passenger vehicle. We know door velocity (for instance driver door) and I need to convert it to Joule. I am suppose that also need a mass (27 kg trim assembled door), distance from hinge to outside handle (approximately 1000 mm) What also?
Please share a proper equation.
ANSWER:
Joules measure energy. This would be kinetic energy of
rotation. You do not tell me what you mean by "door
velocity"; I assume it is rotating about the hinges with
some angular velocity ω radians/second. Since it will be rotating about the hinges, you need to know its moment of inertial
I about that axis; if you model the door as a uniform rectangle,
I=ML 2 /3=27x12 /3=9 kg m2 . If it had an angular velocity of
ω =1 rev/s=2π s-1 then its rotation kinetic energy is
K =½Iω 2 =178 J.
FOLLOWUP QUESTION:
I am working in vehicle assembly plant and at the end of a final line we measure all doors speed of closing (velocity). For this check, DURR 5000 is used. It devise install at the edge of the rear door when the front door is measured and at the rear body panel when rear door is measured. For this measurement, we have upper limit borders: for front/rear own. As I know, velocity 1.62 m/s it is about 5 J and 1.49 m/s is 4 J for our C-class model, at least I found these data in my documents. I am puzzled that the result 178 J it is not appropriate equation (after my poor explanation). Can you please figure out in Joules or provide equation then is known: door mass
= 27 kg, hinge to handle distance = 1000 mm, velocity = 1.1 m/s.
ANSWER:
Everything I did above was correct, but since you did not
give me a velocity in your original question, I had to make
up a speed of 1 revolution per second for the angular
velocity; now that you gave me some velocities, I can see
that my guess was way too big. If the door is closing, then it is rotating about the hinges. So specifying a velocity (1.1 m/s) does not tell me anything
because the speed depends on how far from the rotation axis
you are measuring. For example, if this is the speed of the center of the door, the outer edge has a speed
2.2 m/s and the hinge edge has a speed of 0 m/s. If I take the outer edge (1 m) as where the speed is measured, I find that
ω =v /R= (1.1 m/s)/(1 m)=1.1 s-1 and
therefore,
K =½Iω 2 =½x(9 kg m2 )x(1.1
s-1 )2 =5.45 J. The equation you want is
K =½Iω 2 =½(ML 2 /3)(v /R )2
=M (vL /R )2 /6 where
L is the distance from the hinge to the outer edge of
the door and R is the distance from the hinge to
the point where v is measured. If L=R ,
then K =Mv 2 /6. (Keep in mind
that this (I=ML 2 /3) assumes that the
door's mass is uniformly distributed in the radial direction
which will certainly not be exactly true. It would be most
accurate if you could get a good measurement of the moment
of inertia about its hinges.)
ADDED THOUGHT:
I looked up the use of this Durr 5000 device and saw it also
applied to sliding doors in addition to the hinged doors I
have considered in my answer. In the case of a sliding door
the energy is
K =½Mv 2 .
QUESTION:
Is it possible to convert mass to energy and send it some where at the speed of light?
ANSWER:
Sure. A nuclear power plant uses nuclear fission to turn
mass into thermal energy. This thermal energy is used to
turn a turbine (mechanical energy) which turns a generator
to create electrical energy. This energy is sent down a wire
at approximately the speed of light to you. In fact, even an
exothermal chemical reaction (like burning coal) converts
mass to thermal energy, but the amount of mass is really
tiny compared to nuclear reactions. A more "pure" example is
when an electron meets its antiparticle (a positron); the
mass of both particles is turned completely into the energy
of two photons which, of course, move away at the speed of
light.
QUESTION:
If I launch a very dense piece of tin foil and a same sized less dense piece which one would fly farther on a homemade catapult and why?
ANSWER:
There are two considerations for this question. The first is
the fact that the launcher will impart a different initial
velocity to each of the two. The second is that air drag
will have different effects on each.
To illustrate the first
consideration, I will model the catapult as a simple spring
pushing the mass m (a sphere of aluminum foil) up an
incline. The easiest way to solve this is to use
conservation of energy. The spring is compressed by an
amount s and so has a potential energy of ½ks 2
where k is the spring constant; the ball is at rest
and at a position I define to be y =0, so it has no
energy. At the instant of launch, the ball has a kinetic
energy of ½mv 2 and a potential
energy of mgh . Equating the initial and final
energies and solving for v , I find v =√[(ks 2 /m )-2gh ].
So, you can see, the bigger the mass m , the smaller
the speed at launch. If you ignore all friction, it is clear
that the lighter ball will go farther. However, it is quite
likely that the air drag (friction due to the air) will play
a role.
To illustrate the
second consideration, look at the ball at the instant of
launch. There are two forces on it, its own weight
mg straight down and the air drag
f which points in the direction
opposite the velocity. Now, the magnitude may be
approximated as f ≈-¼Av 2
where A=πR 2 is the area presented to
the onrushing wind and R is the radius of the ball.
So the air drag causes an acceleration opposite the
direction of v which is a =-¼πR2 v 2 /m ;
the negative sign means the ball is slowing down because of
air drag. If the balls had the same velocity, the one with
smaller mass would lose speed faster and therefore go less
far.
So, the first
consideration gives a higher speed to the lighter ball but
the second takes speed away faster from the lighter ball. My
hunch is that the air drag will be more important and the
more massive ball will go the farthest; my reason is that
the catapult force mechanism ("spring" in my simplified
model) also will have to accelerate the bucket and arm, so
the difference in the velocities leaving the machine will be
quite small. I am quite sure that the heavier ball will go
farther.
QUESTION:
In Brownian movement, atoms and molecules in motion impart motion upon the particulate matter. But what imparts motion upon the atoms and molecules in question. Gravity, the wobble of the earth?
ANSWER:
Those molecules and atoms in motion have kinetic energy. It
turns out that if you heat up the fluid you increase their
speeds, so the kinetic energy is changed by adding heat.
This property of fluids is what we quantify as temperature —temperature
is proportional to the average kinetic energy per molecule.
QUESTION:
Came across this particular question on a forum with a multitude of
different answers and their opinion of it, I would like to hear your input
on it. Here is the question: How many days will it take a spaceship to
acceleration to the speed of (3.0x108 m/s) with the acceleration g ? how
far will it travel during this interval and what fraction of a light year is
the answer to the previous question?
ANSWER:
(This sounded like a homework problem to me.) What forum?
REPLY:
Reddit .
ANSWER:
Now I know it is homework because this section of AskReddit
has a title cheatatmathhomework ! And if you can
read you see that AskThePhysicist.com does not do homework
so I should just trash this question. However, this question
was submitted to AskReddit a year ago so the present
questioner is presumably interested in the answer since it
is marked UNSOLVED . But,
the problem is not unsolved because the one comment points
the reader to a site where the one-dimensional, constant
acceleration kinematics is discussed; this is the
appropriate way to help someone do their homework, not
working it out to the final answer. The solution to the
problem is a simple application of these equations. So here
is my answer:
You have not accurately conveyed the problem. Most important, the final speed is not 3x108 m/s but rather 1% of that number. But that is a small enough fraction of the speed of light that you can do the problem classically, not relativistically
(which would be much more difficult). The problem is not unsolved since the single answer points you to the appropriate equations to use, Specifically,
x ≈½gt 2 and v≈gt . Here,
g =9.8 m/s2 , v =3x106
m/s. Do the algebra to solve for the two unknowns, convert
t from seconds to days and convert x from
meters to light years.
ADDED NOTE: I worked out the answers and
found that the problem, as stated, does not have the correct
answer for the distance traveled. The correct answer is
4.6x1011 m=4.9x10-5 ly.
QUESTION:
I know photons are exchanged between a proton and an electron. Are photons exchanged between 2 protons or between 2 electrons?
ANSWER:
Any two electric charges "exchange photons"; photons are the
quanta of the electromagnetic field. Keep in mind, though,
that if you try to apply this idea too literally you will
not really be describing what happens. Photon exchange is a
"cartoon" classical representation of a quantum field effect
to convey a qualitative description of the origin of the
electromagnetic force. The photons cannot be directly
observed because they are "virtual photons".
QUESTION:
I am currently writing a short story that entails time dilation for a person in space.
If the average life of a person on earth is 250 years and that said person were to live in space via a space station or ship for about 75%-95% of their life, what's the amount of additional time would this person add to their life?
ANSWER:
According to clocks which traveled with that (average)
person, she would live 250 years. I will neglect
gravitational time dilation, just do the calculation for the
usual special relativity time dilation due to speed. The
answer will depend on the speed v of the space ship relative to
someone on the earth. The time t' according to her
clock elapsed when she returns to earth after a time t
elapsed on earth is t'=t √[1-(v /c )2 ]
where c =3x108 m/s is the speed of light.
You mentioned a space station. The ISS has a speed of about
4.76 mi/s=7660 m/s, so if she is up there for 80% of 250 y,
200 y as measured on earth, her clock will read, upon
returning to earth,
t'= 200 √(1-(7.66x103 /3x108 )2 )=199.9999999348
y, 0.652x10-7 y=2.06 s younger than she would
have been if not traveling. On the other hand, if she were
on a spaceship going half the speed of light,
t'= 200 √0.75= 173
y, 27 years younger.
QUESTION:
For a bit of background, i am an adult with post secondary education who adores science but did not become a scientist because calculus is my nemesis. I am a science fiction writer, but don't let that scare you. This has nothing to do with anything i am writing or plan to write. I'm just really curious.
I was thinking about E equals mc squared in the shower today and wondered why we think about trying to push mass along to the speed of light in the first place. In theory, couldn't we just convert a particle into energy with it's anti-matter pair, send it on it's way and then reconvert it at the other end. I'm aware this would be extremely dangerous due to the matter anti-matter pair, i just want to know if it's possible in theory.
ANSWER:
What is that you are trying to do? I presume you know that no particle can go as fast as the speed of light. But, when you push on it you are giving it energy, so the faster it goes, the more energy it has. This is clear since the correct way to write the famous energy equation you refer to is
E=m 0 c 2 / √[1-(v /c )2 ]
where v is the speed of the particle and m 0
is the mass it has when it is at rest. So, the faster you
get it going, the more energy it will have. In your "scheme"
you start out with a particle-antiparticle pair at rest, say
an electron and a positron which have an energy of 2m 0 c 2
where m 0 is the rest mass of an
electron. The energy they create is a pair of photons with
no mass but they still have between them a total energy of 2m 0 c 2
and, in fact each will have energy m 0 c 2
because they must come off in opposite directions with equal
energy to conserve momentum and energy. So getting them back
together will be a trick which could probably achieved with
mirrors. But, I know no way that these two photons could be
made to coalesce into an electron/positron pair but if that
could be achieved, they would still have the total energy of
2m 0 c 2 and be at
rest, so you have gained nothing. Why is it that you think
this would be dangerous? The total rest energy which gets
converted to photons is really tiny and while the photons
are of X-ray energies, there are only two of them and one
X-ray photon is not the least bit dangerous.
QUESTION:
when heat is supplied to a solid body the spring-like bond between them turns into a string-like bond when change of phase takes place and when the liquid changes into a gas the spring-like bonds between them break so when condensation takes place how are those strings formed again and how are those string get converted back to spring when solidification takes place?
ANSWER:
It all boils (pun intended) down to kinetic energy. When the
temperature of a collection of molecules increases, the
average kinetic energy per molecule increases. Molecules
have attractive forces between them and, if the temperature
is sufficiently low, these forces can be modeled as springs.
But, as the kinetic energy of the molecules increases,
eventually these forces stop behaving like classical springs
where the force increases linearly with separation but
stretch out (or you can think of them as breaking) so that
each molecule is no longer required to remain in place
relative to its nearest neighbors, but not enough to escape
altogether (your string picture, I guess). But eventually,
as you continue adding energy, they get enough energy to
escape from all the others. Cooling is just the reverse,
condensation being clusters of gas molecules forming but not
with spring-like forces between them, and solidification
occuring as the molecules have less kinetic energy and
become bound to only their nearest neighbors.
QUESTION:
My question is about space ship propulsion.
Let us assume that we have an electromagnetic propulsion system, similar to particle accelerator like the Large Hadron Collider.
We need to propulse a 100-ton ship with the velocity of 10,000 km/s.
Energy needed for that equals: 50,000 * 10,000,000 * 10,000,000 = 5*10^18 joules.
My question is -- is this model physically possible, given enough energy and tech advancement? Or it's just a magical concept, like releasing total energy of matter without antimatter?
ANSWER:
I see that you have calculated the kinetic energy of the ship. I
do not believe that there is a word "propulse" but what I
think you mean by "…propulse a 100-ton ship with the
velocity…" is "…propel a 100-ton ship to the
velocity…" But I think you are asking the wrong
question. You could easily supply the ship with 5 J/s if you
did so over 1018 s≈3x1011 yr. So you really need to say how
long you want it to take to give the ship this energy, that
is, what power do you need to supply? For example, there are
about 3x107 in a year, so if you want to achieve
crusing speed in a year, the power required would be (5x1018
J)/(3x107 s)=1.67x1011 W=167 GW. The
largest non-hydroelectric power plant in the world, the
Kashiwazaki-Kariwa Nuclear Power Plant
in Japan, generates about 8 GW, so the notion of this ship
achieving the speed you want in a reasonable time is, for
all intents and purposes, impossible.
QUESTION:
How many seconds do you need to endure 3.7 g forces going at 56mph to feel effects of 10g-force at 224 mph for a duration of 60 seconds?
ANSWER:
If you are experiencing a 3.7g force it will never
feel like a 10g force regardless of how fast you
are going or how long the force is applied. There is one
simple example I can give where you are going at a constant
speed (not velocity) but experiencing a force.
Shown in the figure is a popular carnival ride where you
(the guy in the striped shirt) is moving in a circle of
radius R with a speed v because the whole
thing is spinning like a wheel. You feel like there is a
force F pushing you outward; this is called the
centrifugal force but what is really happening is that the
wheel is pushing you toward the center (centripetal force).
The magnitude of your acceleration is a=v 2 /R .
If you want to express the force in g s, the force
is a /g where g =9.8 m/s2
is the acceleration due to gravity. Suppose R =4 m.
Then if a =3.7x9.8, v = √(3.7x9.8x4)=12
m/s and you feel a force of 3.7g . Similarly,
if a =10x9.8, v = √(10x9.8x4)=19.8
m/s and you feel a force of 10g . (You can express
v instead as revolutions per second, rps, by
f=v /(2 πR ) so f 3.7 =0.48
rps and f 10 =0.79 rps.)
QUESTION:
Just wondering... if matter and energy are constant in the universe doesn't that make time travel impossible because the traveller would bring new matter and energy in and reduce the matter and energy from where/when he came? or.... is where/when he came from just another part of the universe which would mean no gain or loss to either the place he went or from where he came? or... is time an illusion and past , present, and future just an all-present "now"?
ANSWER:
Well, this is an interesting idea. However, it cannot be
right because we already have demonstrated that time travel
to the future happens: a radioactive particle with some half
life will last much longer if traveling fast than if at
rest. The laws of physics currently prohibit time travel to
the past. I think the trick here is, as hinted at in your
last sentence, that you need to think of the universe as
four dimensional and it is just fine if you take energy away
from some "now" as long as you add it to a later "now".
Incidentally, I would not talk about "matter and energy";
rather just say the total energy is constant since mass is
just a form of energy.
QUESTION:
Hello, I'm not a student or anything I was watching a TED Talk video and it inspired a curiosity question. He was talking about antimatter accelerators and transverse seeing the universe at various speeds of light, and he said that if the ship could approach 99.99 percent the speed of light then we could reach the edge of the viewable Universe in 30 years relative to the spacecraft. However 13.9 billion years would have passed here on Earth.
My question is—how would a radio signal behave if this ship pointed a transmitter at the earth when it started this journey and broadcast a constant radio signal as it grew closer and closer to light speed traveling further away?
ANSWER:
Well, you got your numbers wrong somehow. 99.99% of c is not
really that big for such a long distance. If you go at that
speed, the distance (as seen by the ship) would be 13.9x109 √(1-0.99992 )=2x108
ly. Since the speed of the ship is 0.9999 ly/yr, the time
necessary would be 2x108 /0.9999≈2x108
yr, not 30. I have seen this kind of estimate before and the
situation being described was probably that the ship has a
constant acceleration (as seen by the ship) equal to the
acceleration of gravity (about 10 m/s2 )
essentially forever; so the speed (as seen from earth) gets
to be much larger than 0.9999c . You can see the
calculation of the speed of accelerating objects as seen
from an inertial frame in an
earlier answer . If you want a really detailed discussion
of getting to the edge of the universe in a few decades, see
this post by
Dave Goldberg ; his number is more like 99.9999999999999999998% of
c !
But your question does
not depend on the details of how far you went and how long
it took you to get there. The radio signals being received
on earth will be Doppler shifted to lower frequency, the
shift getting larger as the speed gets larger. This is the
same idea as the Doppler shift of a siren going away from
you getting changed to a lower pitch. The expression for the
shift in frequency is f observed =f source √[(1-(v /c ))/(1+(v /c ))]=√[(1-0.9999/(1+0.9999)]=0.0007f source ,
a much lower frequency.
QUESTION:
How does a pebble get the energy to bounce up and hit a windshield?
ANSWER:
There are many ways, but most commonly the pebble is thrown
up by the car ahead of you. You say "hit the windshield" but
usually it would be more accurately described as the
windshield hitting the pebble. The pebble will usually have
a relatively small speed relative to the ground whereas the
car may be going 70 mph.
FOLLOWUP (DIFFERENT QUESTIONER):
Follow up to one a friend asked recently. The rock or pebble on the road which is run over by a vehicle and when it is run over, the rock becomes energized somehow and lifts off of the hard road surface and usually finds my windshield as it bounces down the road. What gives the initial energy to the rock to make it lift off of the surface of the road when the wheel crosses over it?
ANSWER:
Imagine that you and the car in front of you both have a
speed of v . You look at a rear tire of the car in
front of you and what you see is the tire not moving either
toward or away from you but spinning with a rotational
velocity where each point on the circumference is moving
with a velocity v in the direction
tangential to the tire. Now, if a stone becomes stuck in the
tread of the tire but breaks loose at some point it will
leave in a tangential direction as shown in the figure. As
you can see, that trajectory is likely to be coming your
way!
QUESTION:
what is the physics behind:
6balls r placed in the centerof the u shaped curved ramp. if 1 ball is released from a certain height, another one ball at the other end is displaced.why?
ANSWER:
The same principles as apply to
Newton's Cradle .
QUESTION OF THE WEEK 4/1/2018
QUESTION:
I apologize if this question seems a bit simple. I'm setting up a
small malthouse, and I have a plastic holding tank (not insulated)
that holds the water for the malting process. I'm trying to determine
if I need to heat the tank in the winter or not. The tank holds 18928
liters. The water comes into the tank at 9 degrees C, and the ambient
temperature around the tank is 17 degrees C. My question is, how long
will it take the water in the tank to reach equilibrium with the
ambient temperature.
ANSWER:
To answer this question it is necessary to know the material from
which the tank is fabricated and its thickness and its geometry
(mainly the area exposed to the ambient temp).
FOLLOWUP:
Okay, the tank is a cylinder with 102" diameter, and 154" high. The walls are 1/4 thick, high density polyethylene.
ANSWER:
The equation for heat transfer through a conducting barrier
is
dQ /dt =(kA /s )(T high -T )=3.17x103 (290-T )
where k =0.47
W/(m·K) is the thermal conductivity of
high density polyethylene, s =0.25"=0.00635
m is the thickness of the barrier, A =43.15 m2
is the area of this tank, T is the temperature of
the water as it warms, and T high =290 K.
dQ /dt is the rate at which energy (heat)
enters the tank.
The equation involving
the rate of increase of the temperature of water to which
heat is being added at a rate dQ /dt is
dQ /dt =mC (dT /dt )=8.51x107 (dT /dt )
where m =20.5x103
kg is the mass of the water and C =4.19x103
J/(kg·K) is the specific heat of water.
Combining the two
equations, I find [dT /(290-T )]=3.73x10-5 dt
. Integrating and solving for T I find T =290-8·exp(-3.73x10-5 t )=290-8·exp(-0.134t );
the first expression is for t in seconds, the
second for t in hours, and the temperature is in K.
The final result is shown in the graph converting the Kelvin
temperatures to 0 C. Note that the temperature
never (theoretically) reaches 170 C, but a day to
a day and a half would probably be fine for your purposes.
(By the way, the volume which I calculated and used was 20.5
m3 , a tad larger than the volume you quoted, 18.9
m3 .)
FOLLOWUP (DIFFERENT QUESTIONER):
You recently worked out a heat transfer/tank problem where you came up with: the equation "Integrating and solving for T, I find T=290-8·exp(-3.73x10-5t)=290-8·exp(-0.134t)". Is this e raised to (values), or is it 290-8^(-3.73x10-5 t). It's not clear about the intermediate steps? Using Wolfram on-line integration, I get: -log(290-T) + constant = 3.73x10^-5t. Just looking for clarity.
ANSWER:
exp(x ) is standard alternative notation for ex .
The reason that an exponential function appears in the
answer is that Wolfram's log(x ) is the natural log,
ln(x ) in more common notation, and x =eln(x ) .
So, if you have an equation of the form ln(x )=y
and you want to solve for x , x =ey .
Also, the integrator you used is for indefinite integrals
and you need to do an integration here from 282 to T .
You also need to remember the properties of logarithms,
viz ., ln(a )-ln(b )=ln(a /b )
and ln(a )=-ln(1/a ).
QUESTION:
The gravitational potential energy of an object will be greater if its taken higher above the ground.When the object is released this energy will convert into kinetic energy.Thus energy conserves.But if that object is taken to high above the ground where gravity won't effect the object,what would happen to the potential energy?
ANSWER:
There is no place where "…gravity won't effect (sic )
the object …", gravity gets weaker the farther
you go but never zero. So it has potential energy, relative
to the surface of the earth equal to the work you did on it.
Even if you lift it a million miles, when you release it it
will start falling toward the earth and, when it finally
comes to the surface it has kinetic energy equal to its
potential energy way out there. (This ignores the effects of
all other objects.)
QUESTION:
My question concerns wind power. If one creates artificial wind by using fans would it be possible to generate an endless supply of electricity? Since the fan will create wind, that will be enough to generate maximum electricity from wind power and some part of generated electricity will be used for fans and the rest for other purposes
ANSWER:
The energy produced by the windmills would be way less
than the energy consumed by the fans.
QUESTION:
If a wheel is rolling without slipping on an inclined plane, friction force is the one that provides the torque, why does the torque provided by friction increase as the angle of the inclined plane is increased yet the friction force decreases as the angle of inclination is increased?
ANSWER:
You are wrong about how f changes with θ .
You are probably thinking that f= μN=μmg cosθ ,
but this is static friction and the correct expression is
that f ≤μN , so in this problem
f is whatever it has to be in order to satisfy Newton's
laws, as long as it does not exceed μN , in which
case the wheel will not roll without slipping. This problem
has three unknowns, so you must generate three equations:
-f+mg sinθ=ma
N-mg cosθ= 0
fR=Iα=Ia /R=mRa
To simplify the algebra I have assumed that the wheel is a
hoop of radius R , so the moment of inertia is
I=mR 2 . So, from equations 1 and 3,
f=ma=m (g sinθ-ma )
or a = ½g sinθ
and f =½mg sinθ. You
can see that f increases with θ. The
third unknown is easily found, N=mg cosθ.
You can also calculate
the largest angle for which the hoop can roll without
slipping since the maximum static friction you can get is
f max =μN=μmgcos θ max =½mg sinθ max .
Solving, θ max =tan-1 (2μ ).
For example, if μ= 0.5, θ max =450 .
QUESTION:
Okay, you have two objects in space with the same gravitational pull. Those objects can not be moved. Those objects are close enough where right in the middle of them one gravitational ends the other starts. What would happen to let's say a human in the middle? Or another oject?
ANSWER:
It is incorrect to say that "…one gravitational ends
the other starts". The gravitational force of each object
extends all the way to infinity. However, there will be a
spot where the gravitational field of one is equal and
opposite the field of the other. At this point, an object
will remain at rest but the equilibrium will be unstable —give
it the slightest nudge and it will "fall" in that direction.
Technically, this is only approximately true for an object
very much smaller than the distance between the two objects.
If a human were at that point he would feel forces from each
trying to stretch him.
QUESTION 1:
A star's mass is almost as much as black hole but the star is not a blackhole. If it moves its mass would increase relative to the observer and if it moves fast enough its mass will be as much as a blackhole. So if it moves fast enough what will the observer see, a blackhole or a star?
QUESTION 2:
If a mass moves relative to an observer its mass increases relatively. But its real mass does not increase. So why can't something travel faster than light?
ANSWER:
Both these questions are about mass increasing as speed
increases. However, as I have emphasized in earlier answers,
modern physicists do not really ever think of the mass of a
moving object, but rather of its linear momentum and its
energy. When we talk about mass we are normally talking
about the object's rest mass, the inertia it has when it is
at rest. If you read earlier answers (here
and
here on the faq page) you will understand this better.
Often the mass of a moving object is talked of as increasing
with speed because mass is a measure of how much inertia
(resistance to acceleration) an object has and it certainly
gets harder and harder to accelerate an object as it gets
closer and closer to the speed of light. But, questioner #2,
there is no such thing as "real mass" because if you think
of mass as inertia, it is something which we say is not an
invariant quantity, it depends on the motion of the
particle. And, questioner #1, the only thing that matters as
to whether a star becomes a black hole is the mass it has in
its own rest frame , in other words its rest mass.
QUESTION:
How does matter "transition" to energy and vice versa without consuming energy to complete the process?
ANSWER:
There are two kinds of reactions, exothermic and
endothermic; the former releases energy when it occurs, the
latter must have energy added to happen. What matters is
that in an isolated system energy must be conserved. That
is, the energy you start with must be equal to the energy
you end up with plus the energy you added. If the energy you
add is negative, the reaction is exothermic; if positive,
endothermic. Nuclear fission of heavy nuclei is an example
of an exothermic reaction. A uranium nucleus will
spontaneously split into two lighter nuclei whose total mass
is smaller than the mass of the original nucleus; the
missing mass energy shows up in the kinetic energy of the
fragments. But, lighter nuclei will not spontaniously
fission: if you take an alpha particle (a helium nucleus),
composed of two neutrons and two protons and break it apart
into two deuterons (hydrogen-2 nuclei) each composed on one
neutron and one proton, you will end up with more mass than
you started with because you had to do work (add energy) to
cause it to happen. So the answer to your question is that
sometimes you must consume energy for a transition, other
times you get energy out.
QUESTION:
My friends and I were messing around one night and posed the question "could a falcon break a human neck" and we tried to solve it but couldn't get anywhere with it (we are all theater majors not physicists lol) Could you solve that for me?
ANSWER:
A falcon weighs more than 1.5 lb and can fly at speeds
exceeding 200 mph. I think no fancy physics is required —surely
a 1.5 lb projectile hitting your head at 200 mph could
easily break your neck. (Wouldn't be too pretty for the
falcon either!) Just to make it a little more rigorous, I
calculate the average force exerted on the falcon as he (and
the head) move a distance d before stopping would
be about 25,000/d lb if d is measured in
inches; Newton's third law says that the head would
experience an equal and opposite force. So the average force
for the head moving 3 inches would be about 8,000 lb.
Information I could find indicated that 1000 lb should
be adequate to break a neck but that the actual force would
depend on circumstances —the individual, where
the force was applied and its direction, and whether the
neck was initially bent or not. I think that 8,000 would do
the trick for almost all situations.
QUESTION:
Do objects falling from the sky reorient themselves to reduce friction with air (even if just a tiny bit)?
ANSWER:
It depends on the object. For example, a parachute would not
work if it reoriented itself to minimize drag. Consider a
simple parachute having a rigid disc and the load hanging
from the center. Orienting such that the disc were in a
vertical plane would reduce the air drag but it does not
happen. Some things, though, will reorient to minimize drag.
For example, a cone will orient pointing down because if it
is falling sideways there is a torque trying to orient it
pointing down because the drag on the pointy end is smaller
than on the blunt end.
QUESTION:
Flat earthers believe gravity doesn't exist and that the earth is accelerating up at 9.8m/s^2 and the earth is 6,000 years old. I stated that, at that rate the earth would be traveling at approximately 6,185 x the speed of light, which is impossible. They introduced a formula that suggested that I was wildly incorrect. I have a degree in electrical engineering but took a different career path so I have admittedly lost my edge in mathematics and projectile motion so I was a bit lost by their equation. Am I close to correct or wildly incorrect?
ANSWER:
I hate to do anything which endorses the views of flat
earthers, and their views are absolute nonsense here, but it
is possible to maintain a constant acceleration for an
indefinite time (as observed from "their earth") without
exceeding the speed of light. Of course you need to define a
frame relative to which the velocity of the earth is
measured; let's put you on an inertial frame where the earth
was at rest 6000 years ago. The catch, of course, is that
you must be constantly exerting some force on the earth to
keep it accelerating, F=Mg where M is the
mass of the earth; who is exerting that force? Your analysis
assumes (I presume) that you will also see the earth
accelerating away from you with a=g but, you will
see the acceleration getting smaller and smaller as time
goes on. The graph above shows the velocity and acceleration
which you would observe. This comes from an
earlier answer which, along with links to even earlier
answers, fully describes how to handle acceleration in
special relativity. In this graph, a 0 =g .
Using the result from the earlier answer, I find that the
speed you would measure after 6000 years is given by v /c =0.999999974,
very close to but not larger than c ; the folks on
the "earth" would all the time see a constant acceleration
of g . If you are actually going to discuss this
with a flat earther, ask her where the force providing the
acceleration is going to come from? God?
QUESTION:
In need to pull a 25,000 lbs building across a field, all the weight will be on runners in each side 3"x130' what does this do to increase the pulling weight
ANSWER:
"Pulling weight" really has no meaning; I assume you mean
the force necessary to move the building with constant
speed. This, I would assume, you would want to minimize, not
"increase". I assume that your runners are fixed on the
ground and that the building will slide on them. How hard
you have to pull would depend on the nature of the surfaces —steel
on steel, for example would be slipperier than wood on wood.
Better yet, grease the surface. Still better, put rollers
between the runners and the building.
QUESTION:
What would be the rate of acceleration of a falling object subjected to the sun's gravity? Ex: I drop a two-pound diamond a mile up from the sun's surface. How long does it take to hit the ground?
ANSWER:
Well, the sun does not have a well-defined surface and its
atmosphere is very turbulent. Even if the environment did
not destroy your diamond, drag from the gases and plasma
would be very important. But, I think you want an imaginary
scenario where the sun is taken as a solid uniform sphere
with a radius of about R ≈7x108
m and mass of about M≈ 2x1030 kg
and no atmosphere. In that case the gravitational
acceleration would be g≈GM /R 2 ≈272
m/s2 . Then t ≈ √(2h /g )≈3.4
s; I used h =1 mi≈1600 m and G =6.67x10-11
N ·m2 /kg2 .
QUESTION:
why the earth rotate on its own axis? which source generated the torque and how?
ANSWER:
This angular momentum was not generated by a torque, it was
already there as the earth formed. When the sun was young,
there was a disk of matter all around it. The chunks of rock
and dust and gas began clumping together to form the
planets. But since all their velocities were basically in a
plane (the disc), each capture brought angular momentum
which was perpendicular to the plane so the earth ended up,
when it finished adding this matter, with angular momentum
perpendicular to the plane.
QUESTION:
A small body starts falling onto the Sun frame. The distance is equal to radius of the earth's orbit. The initial velocity is zero in the heliocentric frame.
Find how long the body will be falling using Kepler laws??
ANSWER:
You will find the answer in the FAQ page. Most pertinent to
you would be a particular
earlier answer .
QUESTION:
Does g=9.8 or -9.8?
ANSWER:
Lower case g is usually used to denote the
magnitude of the acceleration of gravity at the surface of
the earth. Since the magnitude of a vector is a
positive-definite number, g is then positive. If we
call the vertical direction the y-axis, then the y- component
of the acceleration of an object in free fall is ay =-g
if +y is up or ay =g if +y is
down.
Q&A OF THE WEEK,
4/21/2018
QUESTION:
Glad I found your site, my name is Ben, and this question is something I'm working on professionally, not homework. I use Autodesk Inventor's Dynamic Simulation to model collisions and some of the results for a specific simulation don't seem consistent. So, a colleague suggested we simplify the problem and work the numbers out by hand, but we can't figure it out. Here is a diagram:
A rod (blue) of length 2m and mass of 1kg can freely pivot about it's center (orange dot) which is connected to a frictionless track (purple) running in the Y direction. The rod is positioned at 45 degrees to the track, and a ball of mass 1kg travelling at 15 m/sec strikes the rod at 0.5m from the rod's center. Collision is perfectly elastic, friction is zero. How can I determine the final velocity of the rod along the track, and what is it's rotational speed? And more importantly, I need to know what effect the rod angle has on these two answers. Then I can solve and plot a chart for all angles from 0 to 90 and compare with my Inventor results. I'm really having trouble with the moment of inertia part, being that it's not struck in the center, or the end.
ANSWER:
There are important errors with the problem as you state it. The first
obvious error in this problem is that the direction and magnitude of the
final velocity of the ball is impossible. If the ball carries off all the
energy it came in with, the rod must end up with no energy. And,
conservation of linear momentum in the y direction (not conserved in the
x
direction) demands that the speed of the center of mass (COM) of the rod
along the rail would be 15 m/s meaning it would not be rotating. And, the
angular momentum relative to the COM of the incoming ball is equal and
opposite that of the outgoing ball, so the rod would have to be rotating to
conserve angular momentum. So I thought to simply redraw the picture but
with the final ball velocity having unknown components (2 unknowns). Two
other unknowns are the final speed of the COM and the angular velocity of
the rod about the COM. However, I only can see three equations: conservation
of energy, linear momentum (only y ), and angular momentum. I am still
pondering the question, but there is too little information or I am missing
something.
CONTINUED ANSWER:
Since the questioner is ultimately interested in a more
general solution than the special case, I will set it up
generally from the start and apply that solution to his
initial question; I will, however, set m 1 =m 2 =m
as soon as I have written the most general solutions to
simplify the algebra after setting up the problem. As noted
above, the problem begins with three conservation equations:
conservation of
linear momentum in the y -direction:
m 1 v 1 =m 1 v 2y +m 2 u 2
conservation of
energy: ½m 1 v 1 2 =½m 1 v 2 2 +½m 2 u 2 2 +½Iω 2
conservation of
angular momentum: m 1 v 1 S sinθ =Iω+m 1 v 2y S sinθ-m 1 v 2x S cosθ
The moment of inertia
of a thin rod about its COM of mass m and length
L is I=mL 2 /12. Therefore, if
m 1 =m 2 =m ,
the three conservation equations are:
v 1 =v 2y +u 2
v 1 2 =v 2 2 +u 2 2 +L 2 ω 2 /12
v 1 S sinθ =L 2 ω /12+v 2y S sinθ-v 2x S cosθ
There
are now three equations and four unknowns, v 2x ,
v 2y , u 2 , and ω.
To generate a fourth equation, consider the impulse
J delivered by the rod to the ball:
J = Δp =m (v 2 -v 1 )or
J x =mv 2x and J y =mv 2y -mv 1 .
But, the impulse must be normal to the surface of the rod,
so tanθ=|J y /J x |=(v 1 -v 2y )/v 2x .
The fourth equation is
v 2x =(v 1 -v 2y )cotθ .
I first solved these
four equations for θ= 450 , L =2
m, S =0.5 m, and v 1 =15 m/s, the
conditions specified by the questioner; note that, because
it is a quadratic equation we are solving, we get two
solutions:
v 2y =(15,
8.33) m/s
v 2x =u 2 =(0,
6.67) m/s
ω =(0,
14.15) s-1 =(0, 2.25) rev/s.
The meaning of the
first (trivial) solution is that there was no interaction
between the rod and the ball (you missed!). Another
situation for which we can check the solution intuitively is θ= 900 ,
for which v 2x must be zero:
v 2y =(15,
4.1) m/s
v 2x =(0,
0) m/s
u 2 =(0,
10.9) m/s
ω =(0,
16.35) s-1 =(0, 2.6) rev/s.
Finally, the general
solutions are:
v 2y =v 1 (A -1)/(A +1)
where A =cot2 θ +1+[12S 2 /(L 2 sin2 θ )]
v 2x =(v 1 -v 2y )cotθ= 2v 1 cotθ /(A +1)
u 2 =(v 1 -v 2y )=2v 1 /(A +1)
ω =[12(v 1 -v 2y )S /(L 2 sinθ )]=[24v 1 S /((L 2 sinθ )(A +1))].
The plots requested by
the writer are shown to the right.
ADDED NOTE:
An alternative way to specify the vector v 2
is to specify its magnitude, v 2 , and the
angle φ it makes with the +x
axis:
ACKNOWLEDGMENT:
Thanks to "haruspex" at
Physics Forums for helping me realize how to get the
desperately sought fourth equation!
QUESTION:
We know that mass is relative.So why can't energy be relative?
ANSWER:
Energy is relative, even classically. An object with mass
m and speed v has a kinetic energy
classically of K = ½mv 2 ;
but if you are running with speed v along with it,
it has zero kinetic energy. In special relativity, the
kinetic energy relative to you is
K=m 0 c 2 [(1/ √(1-v 2 /c 2 )-1]
where v is its speed relative to you; if you start
moving, the kinetic energy of the object changes relative to
you.
QUESTION:
Because the earth is rotating, is there a centrifugal force that is acting against gravity. If the earth stopped rotating, would a mass on the earth's surface weigh more?
ANSWER:
Yes, there is a centrifugal force (except at the poles). A
scale you are standing on would indeed read more if the
earth stopped rotating, but the increase would be too small
to notice. (It is customary to call "weight" the force which
the earth's gravity exerts on something, so in that context
you would not weigh more even though the scale would read
more.)
QUESTION:
what is force of attraction and repulsion between two charges when placed in oil
ANSWER:
The
magnitude of the force between point charges q 1 and q 2 separated by a
distance r in a medium with
permittivity ε= ε r ε 0
is F =q 1 q 2 /(4πεr 2 ).
The answer would depend on what kind of oil it is.
QUESTION:
What would the kinetic energy of a 1kg mass traveling at 50% the speed of light? Or a 5 kg mass? Need to know for a book I'm writing
ANSWER:
The expression for kinetic energy of an object with
speed v and rest mass m0 is K=m 0 c 2 [(1/ √(1-v 2 /c 2 )-1]
where c =3x108 m/s is the speed of light. For
v /c =½
and
m 0 =1
kg, K =1.39x1016 J. K for a 5 kg would
just be five times as large.
QUESTION:
I understand the practical aspect of buoyancy of a helium balloon and the Archimedes principle. But I don't understand why the balloon goes up. I understand that if it were in water, the the force on the bottom of of a 12 inch balloon would be approx 0.5 psi more than the top of the balloon and there would be a force upward. But in the atmosphere, the pressure differential would be very small. So why does it go up?
ANSWER:
It is exactly the same as in water, but the change in
pressure from the bottom to the top of the balloon is much
less. A balloon filled with air will have a buoyant force
less than the weight of the baloon so it will fall rather
than rise. Filled with hydrogen or helium, though, the
balloon will rise if the weight of the balloon plus contents
is smaller than the weight of the air it displaces; of
course a lead balloon will not rise even if filled with
helium. A hot-air balloon rises because if you heat air it
expands and becomes less dense.
QUESTION:
i am using 12.5HP pumping motor. How much time is required to to fill the water in 1 Hectare pond, with average depth of 1m, its rectangular in shape?
ANSWER:
There is no way to calculate this unless you specify where
the water is being pumped from. And even if you did this, a
calculation would be an approximation because you would
probably not account for viscosity of the water or
efficiency of the pump.
QUESTION:
I think this question applies to the theory of relativity well the motion part of it anyways, if an object is sitting completely still on earth would its speed by measured by the revolution of the earth on its axis or would it just be considered to have 0 speed?
ANSWER:
As I have probably said in more than 20 previous answers,
specifying a velocity without specifying the frame in which
it is measured is meaningless. The object is at rest with
respect to the surface of the earth. The object moves in a
circle with a period of 24 hours relative to the axis of the
earth. The object has a velocity 60 mph east relative to a
car going 60 mph west. Etc .,
etc .
QUESTION:
A passenger is seated in a bus at rest.
If the bus starts to move without his knowledge, why is he pushed backwards?
ANSWER:
He is not pushed backwards, it just feels like he is. What
actually happens is that the back of his seat applies a
forward force on his back which results in his accelerating
with the bus.
QUESTION:
Me and my brother are having a debate about running on a treadmill vs running on a track. Not counting mental stuff like learning how to pace i feel that the only real difference is wind resistance. He seems to think inertia comes into play differently for each. I feel like once you are on the treadmill and it starts moving that the treadmill track is your inertial frame of reference so any change in inertia would require just as much energy as it would on an outdoor track. He seems to think that since you don't let the treadmill ever move you actually that you never have to work against inertia of rest while you're accelerating or decelerating on a treadmill. I mean if the treadmill was already moving at 10mph and then you just jumped on it i could see his point but not if you start off standing on the treadmill while its at rest and accelerate along with it.
ANSWER:
In terms of simple introductory physics, you are correct.
However, there are often subtle differences between simple
physics and the real world when applied to very complicated
systems like the human body. Your brother is also wrong
because he is just trying to explain any differences in
terms of simple physics also. In fact, there are many
differences between running on a track and running on a
treadmill due to biomechanics. A good article to read is a
post on the
RunnersConnect blog. Or just google treadmill vs.
track .
QUESTION:
It takes 375 Joules of energy to crack a bone. Moreover, a baseball player hits a ball. The speed of the ball off the bat is 90 mph. The ball the player hit has a weight of 5 oz. If this ball were to hit someone in the head would it crack their skull? What other injuries could be expected?
ANSWER:
This question makes no sense to me. Surely it is harder to crack a femur than a skull. Besides, you would
specify a force needed to break the bone, not an energy. The kinetic energy of
a 5 oz baseball at 90 mph is about 145 J.
QUESTION:
One of the ways to define horsepower is 550 lb-ft/sec. My understanding is that means 1 hp is required to maintain a velocity of 1 ft/sec straight up with a weight of 550 lbs. However wouldn't it take more than 1 hp to lift a 550 lb weight that is sitting on the floor motionless 1 foot in 1 second? How would you calculate the hp needed to lift 550 lbs from a dead stop to a height of 1 foot in 1 second?
ANSWER:
"Maintain a velocity" means just that —the
object begins, ends, and always has that velocity. So your
worrying about how it got that velocity in the first place
is really irrelevant to this example.
Let's get straight what all these
units are.
A pound (lb) is a
unit of force. A net force on an object accelerates it.
For example, the weight of an object is a force on it
downward and if you exert an equal force upward the
object will move upward (or downward) with a constant
velocity, any velocity.
A foot (ft) is a unit of length.
A foot-pound (ft-lb) is a unit of energy. If one lb is
exerted over a distance of one ft, the energy delivered
is 1 ft-lb.
A second (s) is a unit of time.
1 ft-lb/s is a unit of power and it measures the rate at
which energy is being delivered. Other units of power
are the horsepower (hp) and the Watt (W). 1 hp is 745.7
W.
Your question about how much hp it would to take to move an
object up 1 ft starting and ending at rest is meaningless
because there are an infinite number of ways to do that but
you could not do it with a constant power. For example you
could deliver a lot of power for 0.1 s, ending up with a
speed (at 0.1 s) which would be just right to get the object up
to 1 ft in an additional 0.9 s before falling back down; or
you could do the same thing with a smaller power to 0.2 s,
etc . Regardless of
how you achieve this for a 550 lb object, the total energy
required is 550 ft-lb. So, if it takes 1 s, the
average power is 550 hp.
QUESTION:
How does a credit card reader work? Specifically, when you slide your card in one?
ANSWER:
See an earlier answer .
QUESTION:
If two dice were floating in space about a centimeter apart, what would eventually happen to them and why?
ANSWER:
They would be attracted to each other and, after a time,
stick together. The details are given in an
earlier answer
to a question very similar to yours except the dice were
separated by 10 cm there. If you want to calculate the time
your dice would take to come together, you can follow the
calculation given there changing the numbers. I find the
time to be surprisingly small.
QUESTION:
This question concerns angular momentum as related to motorcycles. If a motorcycle rests atop a trailer, but sits on a roller system, the bike will stand upright without any supports or tethers if the wheels are rolling (throttle is locked in the
"on" position and wheels are spinning). If the trailer itself travels forward in a straight line, the bike should remain upright. But if the trailer takes a sharp turn, what happens? Does the bike fall, or does it instead do what a rider does to achieve a turn-countersteer and remain upright?
ANSWER:
I have waited a long time to answer this question because I
am bothered by the way the problem is stated. First of all,
if the throttle is locked on, only the rear wheel will be
spinning, so we can discuss the problem by looking only at
the wheel. It is certainly correct that if the truck goes
straight the wheel will continue running upright (assuming
that the center of gravity of the bike is in the vertical
plane passing through the center of gravity of the wheel).
Imagine the bike and rollers to be mounted on a big "lazy
Susan" the base of which is bolted to the truck bed. So, if
a north-bound truck turns to the west, the angular momentum,
experiencing no torque, will remain constant and continue
pointing in the same direction (originally either east or
west). Viewed from inside the truck it will appear that the
whole bike rotated through 900 relative to the
truck.
Now,
if the rollers are attached to the truck bed, when the truck
turns the rollers turn and the wheel, trying to not turn,
will come off the rollers at some point. We first need to
understand the physics relationship between the torque and
the angular momentum of the wheel. The rotational form of
Newton's second law is τ =ΔL /Δt ,
torque equals the time rate of change of the angular
momentum. The first figure shows the wheel, as seen from
above, turning through some small angle which results in a
change of angular momentum from L 1
to L 2 and ΔL =L 2 -L 1 .
So the torque which you must apply to make it turn this
way is in the direction of ΔL .
If
you think you can just steer it as if it were not rotating,
you would fail. The second figure shows what would happen if
you try to steer it like your intuition would have you do it
by exerting a force like F in the
figure. The torque points up and so the wheel would not turn
but lean in the opposite direction from the way you would
lean on the bike if you were riding it and making a turn.
You can find some videos showing this by googling
gyroscope in a suitcase video .
If you want the wheel
to turn with the truck, you need to have a torque which
causes that. One way I thought of to achieve this was to
have strings attached from the axles on each side and the
truck bed below. These need to have no tension on them when
the truck is going straight. When the truck turns as
indicated, the tension in the string on the right-side
string will be bigger than the other side and there will
therefore be a net force N on the wheel. This results in a
torque in the horizontal plane which will cause a change in
angular momentum in the direction consistent with the wheel
turning with the truck. Two strings are needed because the
truck might turn either left or right.
QUESTION:
I wonder, how step by step, is parallax method used to find distance of a star?
When you find the parallax angle, then it's easy to find distance using tangent formula or other trigonometric formule.
But how is that parallax angle exactly determined?
In some online articles, like in
Wikipedia
or
Sky and Telescope they show such pictures.
But in this picture, only distance between A to B is known. Distance between A to Eros or B to Eros is unknown. Angle of A and B are unknown. So we can't know angle of p with so little information.
What we see only is a star on the sky do change its position (like you see right side of the picture) slightly (some millimeters) every 6 months.
How do astronomers determine from that motion the parallax angle of the star?
ANSWER:
The angles A and B are not unknown. These are measured by
the direction in which the telescopes at those locations are
pointed. Once you know those angles you know the angle p ;
and if you know p and the distance AB you can also
calculate the distances from A and B to Eros.
QUESTION:
Can you explain the differences between circular motion & rotational
motion?
ANSWER:
Rotation normally refers to an object spinning about some
fixed axis; e.g ., the earth rotates about the axis which passes
through the north and south poles with a period of 24 hours.
Circular motion refers to the motion of an object which
moves in a circle; e.g. , a race car on a circular
track is in circular motion. If the circular motion is with
constant speed it is called uniform circular motion;
e.g. a point on the equator moves in a circle whose
radius is the radius of the earth with constant speed. More
general than circular motion is revolution; e.g. ,
the earth revolves around the sun in an elliptical path once
a year.
QUESTION:
Is there a formula for calculating the side-ways deflection wind has on a lawn bowl(over and above the bias deflection ) running at 12
s, the time a bowl takes from delivery to stop over a 26 m distance over
bowling green grass?
ANSWER:
Once again, doing Ask the Physicist has led me to learn
something new. I never really knew anything about lawn bowls
other than it is done on grass and rolling balls are
involved. For the benefit of others who are ignorant of the
game, let me summarize by describing the ball. (A good
article on the physics of lawn bowls balls can be found
here .) The ball is not a sphere but rather an oblate
spheroid which makes it sort of like a door knob but not so
extremely flattened; but it is slightly more flattened on
one side of the ball than on the other which results in a
center of gravity being displaced to one side of the
equatorial plane as shown in figure (a). This results in a
tendency for the ball to curve left if it is rolling the
angular velocity shown in the figures; this motion is the
"bias" referred to by the questioner which I am to ignore.
When rolling in the x direction (figure (b)), there
is a frictional drag force called, rolling friction
D , which opposes the motion (v )
and eventually brings the rolling to a halt. If there is a
wind, there is a force W due to
the wind which tries to make the ball roll to the right
(figure (a)) but if it does roll, there will also be rolling
friction trying to keep it from rolling. In order for the
wind to have any effect at all, it is clear that we must
have W>D ; if this is not the case, there will only
be static friction in the y direction which will be
equal and opposite to W . A lawn
bowls ball has a mass of about m =1.5 kg and a
radius of about R =6 cm=0.06 m.
To get the equations of
motion for the x and y motions, we first
need expressions for D and W . The rolling
friction may be expressed as D=-μmg where μ
is the coefficient of rolling friction and mg is
the weight of the ball. The force due to the wind may be
approximated as W ≈¼AV 2
where A=πR 2 is the cross sectional
area of the ball and V is the speed of the wind;
this approximation is only correct if SI units are used. The
equations of motion in the x -direction are
D=-μmg=max
⇒ ax =-μg
vx =v 0 -μgt
x=v 0 t- ½μgt 2 .
Here t is the
time and v 0 is the speed of the ball at
t =0. If the ball is rolling in the y-direction
because of the wind, the equations of motion are:
It should be noted that
if (¼AV2 /m )<μg , these
equations imply that the ball will accelerate opposite the
direction of the wind, obviously not correct; hence the wind
will have no effect on the ball if V <√(4μmg /A ).
In that case, ay =vy =y =0.
So, having found the
general solutions, let us now apply the solutions to the
specific case from the questioner. We are told that when
t =12 s, vx =0 and x =26 m.
With that information you can solve the x -equations
to get v 0 =4.32 m/s and μ= 0.037,
reasonable values compared to numbers in the
article I read. The area is 3.14x0.062 =0.0113
m2 . The first question we should ask is what is
the minimum speed of the wind to have any effect at all:
V min =√(4x0.037x1.5x9.8/0.0113)=13.9
m/s=31 mph=50 km/hr; this is a pretty stiff wind, so the
wind probably has no effect on bowling under normal
conditions. So, just to complete the problem, consider V =15
m/s=34 mph=54 km/hr.
The
trajectory during the 12 seconds is shown in the graph
below; after 12 seconds the ball will continue accelerating
in the y direction.
So the bottom line is that unless you are playing in a gale-force wind, the wind has no effect on the ball if the wind has no component along the original direction of the ball (which I have called the
x -axis). You can tell if wind makes a difference by simply setting the ball on the ground—unless the wind blows the ball away, you need not worry about its effect. If the wind is blowing in the +x or -x direction, that is a whole different thing, but
the questioner asked for the sideways deflection.
ADDED THOUGHTS: This question continues
to intrigue me and I have carried my investigation further.
The question originally stipulated "over and above the bias
deflection" so my whole discussion totally ignored the fact
that the ball, owing to its off-center center of mass, will
curve. At the very end of my answer I noted that if the wind
is not perpendicular to the path of the ball, it would
be a different story; indeed for a spherically symmetric ball I showed that, except for very strong winds,
a wind perpendicular to the path has no effect at all.
However, for an actual lawn bowls ball, the path curves to
where a wind in the y -direction might have a
significant component along the path. I have calculated
(graphed below) the
x and y positions of a realistic path with no
wind using equations (10) and (11) of the
article referred to above. To do these I used all the
numbers used above (R , m , A ,
v 0 ,
μ ); I used the moment of inertia
for a solid sphere ( I 0 =I cm +mR 2 =(7/5mR 2 ))
and chose the COM off-center distance to be d =1 mm. As you can see, the curving is
substantial, carrying the ball about 4 m from its original
direction. You can see that now a wind of any magnitude can
have an effect on the trajectory. The angle φ
which the tangent to the trajectory is given in the article
as φ =(2/p )ln(v 0 /(v 0 -μgt ))
where p is a constant also given in the article. As
can be seen, once the trajectory leaves the x-axis the wind
contributes with the component of its force along the
trajectory; this has the effect of reducing the effect of
the frictional force causing the ball to slow down less
rapidly. However, this is now like having a time dependent
force of friction which, I believe, will lead to equations
of motion which will not have an analytical solution but
would have to be solved numerically.
QUESTION:
How can rockets move in space. Because they have nothing to push against won't trust be useless. Like for example the reason the rocket gets out of the atmosphere is because of the thrust pushing against the earth then on the air in the atmosphere and if space has no air how can rocket move in space.
ANSWER:
The reason is that your statement that "the thrust pushing
against the earth then on the air" is the reason the rocket
accelerates is totally wrong. The reason a rocket
accelerates is that hot gas is expelled out the back at a
high velocity. The reason this propels the rocket can be
illustrated by the following example: an astronaut is
floating in empty space and happens to be holding a bowling
ball; she throws the ball and the result is the balls moves
away and she recoils so she is moving also. This is called
conservation of linear momentum —if the ball has
1/20th as much mass as she does, she recoils with
1/20th the speed the ball has. The rocket is not
"pushing against" anything.
QUESTION:
Earth moves around sun at 67000mph. A rocketmoving in same direction as earth at 25000mph isnt it actually moving at 25000 plus 67000 mph?
ANSWER:
There is no such thing as "actually moving". The only way a
stated velocity has any meaning is if it is relative to
something else. If the rocket has a velocity of 25,000 mph
relative to the earth , then its velocity
relative to the sun is 92,000 mph if the velocity of
the earth relative to the sun is 67,000 mph.
QUESTION:
This is something I remember discovering when I was younger. If i would take a small cylindrical object (like a AA battery) , set it on a flat hard surface, then using my fingers I would apply downward pressure on the edge of the battery. This would create backspin on the battery but also shoot the battery across the floor. When the battery's finally stopped moving forward it would spin rapidly on its axis until stopping completely. Could you explain the physics behind movement of the battery?
ANSWER:
Problems like this are standard in intermediate-level
classical mechanics. Round objects can move translationally
on a horizontal surface by rolling without slipping or by
sliding. The two classic extremes of the slipping scenario
are a skid where the object is initially not spinning at all
(e.g . a bowling ball begins by approximately not
rotating but may end up rolling without slipping), or is at
rest but spinning (like "peeling out"); in both cases, the
problem is usually to find the time elapsed or distance
traveled before rolling sets in. In your case, the object is
initially both translating horizontally and rotating with a
backspin. What will happen depends on the initial conditions —the
initial speed and the initial angular velocity; also the
properties of the object will also matter—its mass
m , radius R and shape, and the coefficient of
kinetic friction μ . Three possibilities are that
it will reverse directions and come
back still spinning and slipping, eventually stop
slipping and roll (what I think you are remembering),
it will stop slipping and continue rolling in the
initial direction, or
it will stop dead.
In the figure there are three forces on the object: its
weight mg , the normal force
N up from the floor, and the
frictional force f which the floor
exerts on the sliding object; the object begins with
velocity v 0 and angular
velocity ω 0 . The
mass of the object is m and its radius is R .
The friction slows down both the velocity and the angular
velocity. Sliding ceases when v=-Rω (see
footnote*). If v 0 is very small and ω 0
is very large, possibility #1 will happen; if v 0
is very large and ω 0 is very
small, possibility #2 will happen; if v 0
and ω 0 are just right, possibility
#3 will happen. I think that this gives you a good
qualitative overview of the physics of the problem.
For those interested in
the quantitative solution, I will give it here for a uniform
solid cylinder. For the translational motion the two
equations (taking +x as to the right, +y
up) are -f=ma and N-mg =0; since f=μN=μmg
we can write a=-μg . For rotational motion about
the center of mass (choosing the direction it is initially
spinning as positive), only the frictional force exerts a
torque, so -fR =-μmgR=Iα where
I is the moment of inertia about the center of mass
and α is the angular acceleration. For a
cylinder I =½mR 2 , so α=- 2μg /R.
So, we can write the equations for the velocity and
angular velocity as functions of time t : v=v 0 +at =v 0 -μgt
and ω=ω 0 +αt=ω0 -2μgt /R.
Now, the time when slipping ceases will be when
v=-Rω ; solving, t =(v 0 +Rω 0 )/(3μg ).
Finally, put this into the equation for v to get
v (t )=(v 0 -Rω 0 )/3.
So if Rω 0 >v 0 ,
possibility #1 will happen; if Rω 0 <v 0 ,
possibility #2 will happen; and if Rω 0 =v 0 ,
possibility #3 will happen.
*The condition v=-Rω
is a little tricky. The negative sign is because of my
choice of the positive direction for ω which
is opposite that which would be the case for no slipping.
QUESTION:
Do cars need friction to move?
ANSWER:
If they are not moving, they need friction to move. If they
are moving, they need friction to stop. (I have assumed that
you mean that you control things from inside the car.
Somebody outside the car who was anchored to the ground an
held a rope attached to the car, for example, could move the
car. Also, if the car had a rocket engine it could move.)
QUESTION:
Sometimes gravitational force is proportional to r^2 and sometimes to 1/r^2.
What's the reason?
ANSWER:
The gravitational force depends on the way that mass is
distributed. For example, if you have two spherically
symmetric spheres of mass, like the earth and the moon, the
force between them is proportional to 1/r 2 .
If you are inside a sphere which has its mass uniformly
distributed inside, the force you would feel is proportional
to r . If you are inside a sphere which has its mass
distributed so that the density varies linearly (e.g. ,
the density at the surface is twice as large as the density
halfway to the center), the force you would feel is
proportional to r 2 .
QUESTION:
Can you please explain why putting water into a bottle AFTER putting in baby formula does not give the correct exact amount of water necessary for proper amounts. E.g,the instructions on the formula tin state 1 scoop of formula for 30mls of water
ANSWER:
Because the formula occupies volume also. So when you put
the formula into the bottle and then fill the bottle up to
the 30 ml level, you will have less than 30 ml of water. If
you measure the 30 ml of water before adding it to the
bottle, it should make no difference. (Although, sometimes
if you are mixing something dry with something wet, how
easily the dry dissolves depends on the order of mixing.)
QUESTION:
If a weight of 7.5 kg is falling 0.6 m and land on the head of somebody, I understand that
the energy at impact will be 44.1 J.
But how can I translate this in g as it is the value reported by accelerometers?
In other words, if the person has an helmet with an accelerometer, which value in g the instrument will register?
ANSWER:
When you measure an acceleration you are measuring a force,
not an energy. It is true that a 7.5 kg mass has a kinetic
energy of about 44.1 J if dropped from a height of 0.6 m (mgy =7.5x0.6x9.8),
but that does not tell you the average force exerted by the
mass as it came (accelerated) to a stop. The speed which the
mass has when it hits is v =√(2gy )=3.43
m/s; if it stops in a time t , then the average
force over that time is F=mv /t =25.7 N.
For example, if t =0.1 s, F =257 N. To
convert this to g-force, the weight of the object is
7.5x9.8=71.3 N so the force in gs is F =257/71.3=3.6
gs.
QUESTION:
How would you convince a relative who had not studied physics that the international space station is really a falling body?
ANSWER:
My favorite example is Newton's mountain. The idea is that
you imagine a cannon on top of a very high mountain. You
fire the cannon in a horizontal direction and the cannonball
falls to the ground eventually. The more speed you give to
the cannonball, the farther it goes until it eventually goes
all the way around the world, falling all the time but never
hitting the ground. The illustration here is the original
drawing by Newton which was published in his classic book,
Principia . There is a nice animation you can play
with
here .
QUESTION:
I observed the following:
Placing a photo flashgun very close to a butterfly produced a wisp of what looked like
steam from the butterfly's wings. It seems that the intense burst of light is vaporising some dust on its wings? The creature does not seem to notice and flies
off after three flashes all of which caused the steam or dust to rise?
Was I seeing dust or vaporised dust?
ANSWER:
It is well known that there is "dust" on butterfly and moth
wings. In fact, this is not dust but tiny scales on the
surface of the wing. It comes off rather easily as you have
demonstrated. Although I have seen explanations of similar
results of flashguns which attribute the effects of the
flash to the momentum transfer of the photons in the flash
(for example, the "singing cymbal" demonstration where a
cymbal is made to sound with a flashgun), that has been
shown to be incorrect; what is happening is that there is a
thermal pulse caused by the light pulse which is responsible
for, in your case, dislodging some of the scales.
QUESTION:
What is weight and why there is no weight while falling body (pulling) by earth..?
ANSWER:
Several years ago I had to teach an introductory physics
course using a textbook in which the author defined weight
as what a scale reads . I do not know a single
physicist who likes this definition. Historically and almost
universally weight means the force which the earth (or other
massive object) exerts. When something is dropped it
accelerates downward because the weight is a force pointing
vertically down. Therefore, your question is wrong because
"there is no weight while falling" is incorrect —the
force the earth exerts on you does not disappear when you
are falling. Similarly, astronauts in orbit are not
"weightless" as is usually said because there is still a
force of attraction to the earth.
Nevertheless, it is clear that the astronauts seem to have
zero net force on them. The reason is that they are in "free
fall" when they are in orbit and are therefore accelerating.
There is a legend about Albert Einstein related to this. The
legend is that Einstein saw a painter fall from a ladder and
he said to himself "there is no experiment which he could do
which would allow him to say that he is not at rest in empty
space". This is called the equivalence principle and forms
one of the keystones of the theory of general relativity.
QUESTION:
Imagine a cart moving on a frictionless surface with a cannon aimed opposite the direction of travel. At 40 km/hr the cannon fires a projectile accelerating the cart-cannon to 50 km/hr. A second projectile (identical to the first) is then fired accelerating the cart to 60 km/hr. The impulse (and thus recoil) against the cart should be the same no matter what the moving velocity of the cart was. After all, the cart is only moving within my frame of reference. If I selected a frame of reference in which the cart was stationary, an impulse acceleration of 10 km/hr would be the same irregardless of whether in another frame of reference the cart was initially moving at either 40 or 50 km/hr. It's true that the second firing of the cannon would be acting on slightly less mass, after the first cannon ball was no longer part of the system—but that would seem a trivial difference. I also understand that the momentum of the total system is the same before and after the cannon is fired.
Does it take more energy to accelerate an object from 40 km/hr to 50 km/hr than it takes the same object to accelerate from 50 km/hr to 60 km/hr ? I know that the Kinetic Energy at 60 km/hr is 60/50 squared or 1.44 times greater than at 50 km/hr so the answer is undoubtedly, yes. What am I missing about Kinetic Energy - does it depend on your frame of reference?
ANSWER:
I have rearranged
your question so we can talk about one question at a
time. Your first question, not really a question,
basically says that, although the momentum of any object
is dependent on your frame of reference, that the change
of momentum if you do something to it (impulse) is not
frame dependent. Why is that? The reason is that
Newton's second law may be written as F =dp /dt
and the rate of change of momentum must be frame
independent because we know that the force is frame
independent.
Now, when you change the momentum you also change the
kinetic energy because either the speed or the mass is
changing. But does everyone see the same change in
kinetic energy? The answer is no. And your example shows
very clearly that the change in kinetic energy does
depend on the frame of reference. A more general
example, calculating the work done by a constant force
as seen in different frames, can be found in an
earlier answer .
Q&A OF THE WEEK,
4/7/2018
QUESTION:
For a snow plow that is very heavy, is there an advantage to having the
connection point of the winch line up high so that there is less weight to
pull or is there no difference?
I can send a picture for clarification.
ANSWER:
Yes send me a picture. You are talking about a winch which is used for what?
Pulling a stuck vehicle? Lifting and lowering the plow? What?
FOLLOWUP QUESTION:
Yes, lowering and lifting a plow. The problem is that the plow is out very far out and that my winch is mounted pretty low on my machine. So instead of the winch simply lifting the plow up, right now it is mostly pulling backwards and then that is making the plow come up.
I attached a picture of what the manufacturer recommends but I haven't had too good of luck with them in the past. The last two pictures are of my machine. You can see how far out the plow is and how low my winch is. Would that pulley and cable system helped at all?
ANSWER:
You may not want to get the full physics explanation here,
so I will first give you a qualitative explanation. The
tension T in the strap is what is
lifting plow and any part of it which is horizontal (TH )
is wasted. Your gut feeling is right, "…it is mostly
pulling backwards…" Anything which you can do to
increase the vertical part (TV ) will
make the lift easier, and moving the winch up is a good way
to do this but it might be easier to have a pulley
higher up which then brings the strap back down to the
winch.
The figure shows all
the forces on the plow assembly: the weight W
which acts at the center of gravity (yellow X), the tension
T in the strap (where I have shown
vertical (TV ) and horizontal pieces (TH )), and the force the
truck exerts on the support which I have represented as its
vertical and horizontal parts, V
and H respectively. (Note that the
various forces are not drawn to scale since T has
to be much larger than W to lift the plow.) Suppose T
is just right that the plow is just about to lift. Then the
sum of all the forces must add to zero, or V+TV -W =0
and H-TH =0. The sum or torques must also
add to zero; summing torques about the point of attachment
to the truck (light blue X), WD+TH s-TV d =0.
Note that the TV is trying to lift the
plow but TH is trying to push it down.
Now, in order to get a final answer for the unknowns (which
are T , V , and H ) we note that
TV =T sinθ and TH =T cosθ
where θ is the angle which the strap to the
winch makes with the horizontal. The final answers I get
are:
T=DW /(d sinθ-s cosθ )
V =W-T sinθ
H=T cosθ
I put in some
reasonable numbers just to get an idea of the answers, W =500
lb, θ =200 , D =2m, d =1.8
m, and s =0.1 m. Then T =1920 lb, H =1800
lb, and V =-157 lb. The negative value for V
means that V is down, not up. In
this scenario, the pulling force has to be nearly four times
greater than than the weight being lifted.
Now
we need to look at whether the manufacturer's suggestion
will be better than a straight shot to the winch. Now there
are two forces pulling up, the tension T
from the pull point to the winch and the tension
P from the pull point to some anchor
higher up. Of course the magnitudes of these two tensions
are the same, P=T . The picture shows only the
pulling forces, the rest are the same as in the picture
above. There are still three unknowns, T , V ,
and H . I will call the angle that P
makes with the horizontal φ . I will not show
the details, just give the final results:
As a numerical example,
I will use the same numbers as above and add φ= 400 .
Then T =624 lb, H =1070 lb, and V =-115
lb. It is definitely advantageous to use the manufacturer's
suggestion here which, in my numerical example, reduced the
force the winch needed to exert by a factor of about 3.
QUESTION:
Is it possible that if one person lives in another planet (say Mars) can we chat with them live? (like on a mobile phone) or is it impossible? also will that person age differently compared to me?
ANSWER:
Certainly not using your mobile phone; the current cell
phone network depends on earthbound transmitters and
receivers. But communication is certainly possible or else
we would not be able to communicate with the rovers and
probes already there. Trying to carry on a conversation
would be very frustrating, though, because of the transit
times of the signals. Depending on where earth and Mars are
in their orbits, transit time is 3-13 minutes. So, if you
ask a question, you would have to wait 6-26 minutes for an
answer.
QUESTION:
how much a vehicle traveling at 100 km/h scatters electrostatic in the air? I hope that my question is clear, I need to know how much the air is charged by electrostatic when the vehicle pass.
ANSWER:
100 km/hr is about 28 m/s. The typical speed of an air
molecule is about 500 m/s. So I would guess that the moving
truck is not significantly different from a truck standing
still which does not ionize molecules.
QUESTION:
We are a seventh grade science class, and we are discussing friction. We understand that life as we know it would end if there were no friction, but we were wondering what, exactly, would happen to your body without friction.
ANSWER:
It
would have been impossible for your body to form in the
first place. When two surfaces are in contact with each
other they exert two forces on each other. As an example,
think about a block which is sitting at rest on a slight
incline. The part of the force which the incline exerts on
the block which keeps the block from breaking through the
incline and that is called the normal force. The part of the
force which the incline exerts on the block which keeps the
block from sliding down the incline and that is called the
frictional force. With no frictional force, the block would
slide down the incline. Now imagine a single bone cell on
the surface of your leg bone. It has a weight which makes it
want to slide down your leg to the ground; friction between
it and its neighbors with which it is in contact keeps that
from happening. With no friction, all the cells in you body
would slide down to the floor and spread across the floor.
QUESTION:
When operating a forklift and wearing a hip style seat belt, what is the g force the body is subjected to during a head-on collision with a immovable object at 2-3 mph?
ANSWER:
This question has been answered, although for different
numbers, before . Here is the answer
I gave there but substituting your numbers. You should
definitely read that answer before proceeding here. Let's
say that the forklift stops dead and that it plus the pole
deform by 1 cm so that the distance traveled during the
collision time is d ≈1
cm. Since these are very rough calculations, I will let
the mass of the forklift be m f ≈5000
kg and the initial speed be v =3 mph≈1.3
m/s. If the forklift stops uniformly, it will stop in a
time t =2d /v =0.015 s. The
force F experienced (by both the pole and the
forklift) will be F=m f v /t ≈1.4x106
N=315,000 lb. To get the g-force you divide by the
weight of the forklift, mg =5000x9.8 N=49,000 N; so,
g-force=6.4. That is the force experienced by the forklift
and would be the same for anything which moves the same. The
driver would experience that force where the lap belt was
restraining him but his upper body would experience a
smaller force since it would take longer to stop. As
emphasized in the earlier answer, this is a very rough
approximation.
QUESTION:
What is the ratio between the height H of a mountain and depth h of a
mine,if a pendulum swings with the same period at the top of the mountain
and at the bottom of the mine?
ANSWER:
This must be a homework question where you assume that the density of the
earth is uniform.
QUESTION:
No it's not. I am a student who is trying to crack NEET. While I was solving questions, I saw this one but I couldn't get the explained answer.
The answer I got was 1,but the answer given here was 1/2. I just wanted to know was my answer correct.
ANSWER:
There is no way to solve this problem without an assumption
regarding the density of the earth. The standard assumption
in introductory physics is to assume that it is uniform
(which is not a good approximation); I will do that. Also, I
will assume that it is a simple pendulum with a small angle
amplitude so that the period is T ≈2 π √(L /g )
where L is the length and g=MG /R 2 is the
acceleration due to gravity. At a distance H above
the earth's surface g H =MG /(R+H )2 ;
at a distance h below the surface of a
uniform-density earth, g h =MG (R-h )/R 3
(see footnote*). Now, for the periods to be equal it is
necessary that g h =g H ;
a little algebra shows that equivalently (1-(h /R ))=1/(1+(H /R ))2 =g H(h) /g .
It is instructive to
look at h /R as a function of H /R :
h /R =1-1/(1+(H /R ))2
shown in the first graph above. When h=H =0
you are at the surface of the earth; when h /R =1,
H /R =∞ and g h =g H =0.
Next, look at the
plots of g H(h) /g as a function of H /R
(black) and of h /R (Red). There
are only two locations where g h =g H ,
at the surface where h /R =H /R =0
corresponding to g h =g H =g
and near h /R =H /R =0.6.
The third plot shows a closer look around 0.6 showing h /R =H /R =0.618
corresponding to g h =g H =0.382g .
This was a pretty
long-winded answer, but the upshot is that you were right
and the answer key was wrong: h /H =1.
*M is the mass
of the earth, R is the radius of the earth, and
G is the universal gravitational constant.
ADDED NOTE: Actually, I did not need to
solve this problem graphically, I could have solved it
analytically. If you assume (guess) that h /R=H /R≡x ,
then the equation to determine x is 1-x =1/(1+x )2
or (1-x )(1+x )2 -1=0=(1-x 2 )(1+x )-1=
x 3 +x 2 -x=x (x 2 +x -1)=0.
One solution is x =0 (the surface) and the positive
solution to the quadratic equation is x = ½( √(5)-1)=0.618.
I guess I shied away from this because I know I am not very
good at solving cubic equations, but I can handle this one!
QUESTION:
If you could spin a person on the moon how many revolutions per minute would it take to release them to escape the moons gravity?
ANSWER:
The moon's escape velocity is about 2400 m/s. The angular
frequency for an object moving in a circle with radius R
and speed v is ω=v/R . Taking
R ≈1 m,
ω= 2400 Hz=23,000 rpm. The velocity required
for a low altitude orbit is about 1700 m/s, so that would
require about 16,000 rpm.
QUESTION:
With Star Wars being in fashion again with the new movies coming out, I thought to ask this.
So Emper or Palpatine is known for his ability to shoot lightning out of his fingertips quite effectively.
And here's a
GIF of him doing it:
So how much energy, current and charge generally speaking would producing that much electricity to penetrate that much air require from a human being, and how does it relate to the amount of energy a human body actually can produce, and finally assuming a human could produce the electric power needed to do that, how would a real life Palpatine shoot lightning out of his hands with real life physics?
ANSWER:
For the air to break down and create a spark, about 10,000
V/cm is required. It appears that these sparks are about 3 m
long, so about 300x10,000=3x106 Volts=3 Megavolts
of potential difference is required. Of course, this is
fiction so I will not go any farther with this answer.
QUESTION:
How the f*** can the velocity be negative? And why isn't the acceleration 0 when the velocity is 0?
ANSWER:
Gee, don't get so upset! Velocity is a vector —to
specify the velocity you must specify both magnitude (called
speed) and direction. To specify the direction, it is
convenient to define one direction, say north, to be
positive and the other, south, to be negative; so a car
having a speed 50 mph on a north-south road has a velocity
of +50 mph if going north, -50 mph is going south. (Speed is
never negative.) Acceleration is the rate at which the
velocity is changing. Suppose you throw a ball vertically;
at the very top the ball is at rest, albeit only for an
instant, but at rest. Now, if at the top the acceleration
were zero, that would mean that its velocity is not changing
and it would therefore just stay there. It is possible for
the acceleration and velocity to both be zero; a book
sitting at rest on the table would be one example. It is
just not necessary that both be zero.
QUESTION:
Suppose the Sun and the Earth were each given an equal amount of charge of the same sign. Just sufficient to cancel their gravitational attraction. How many times the charge on an electron would that charge be? Is this number a large fraction of the number of charges of either sign in the earth?
ANSWER:
So we want kq 2 /R 2 =Gm e m s /R 2
or q = √(Gm e m s /k )≈3x1017
C. The number of electrons this would be is q /e =1.9x1036 .
If we roughly estimate that the earth has is 50% protons and
50% neutrons, then the approximate number of protons would
be (m e /2)/m p =1.8x1051 ,
far larger than 1.9x1036 . If you want to check my
arithmetic, look up all the constants I have used.
QUESTION:
Theoretically, if I look through a telescope at a mirror 2 light years away, the light bouncing back would give me a instant view of my location from 4 years ago, right?
With that, if I was in a ship that safely accelerated to the speed of light, say 1 g acceleration, so that I would reach the speed of light after approximately 1 year, traveling 1/2 of a light year, then turning around and decelerating at 1 g for one year to come to a complete stop, then doing the same to get back to my original location, thereby traveling 4 years total, why would I change 4 years in age, but my original location (and final destination) be more than 4 years older?
ANSWER:
Yes, the mirror would give you the view four years earlier.
However, your understanding of the accelerating spaceship is
very wrong. It is a pretty difficult thing to understand, so
I suggest that you read an
earlier answer
as well as the earlier answer it links to. When you have
done that, you should be able to follow my answer to your
question.
First a qualitative discussion. You decide that you want
your spaceship to have a constant acceleration of g
as measured by you, captain of the ship. You therefore
arrange to have your engines always exert a force on the
ship of F=mg where m is the mass of the
ship. So you will always see your ship having the desired
acceleration. But, as I have emphasized in many earlier
answers, acceleration you measure is not the same as
acceleration someone on earth measures. In Newtonian
physics, everyone measures the same acceleration. This is
really a glorified
twin paradox problem and I am not going to calculate how
long the round trip will be for you (but I will calculate
how long it takes in earth time). What I can tell you is that you
will take longer than 4 years to return to earth and the
time elapsed on earth will be longer than your time. Your
desire to accelerate "to
the speed of light" is impossible, as you will see, so
forget that; with your scenario the fastest you will ever go
is about 86% of c .
What I want to focus on is what someone on
earth will measure regarding your motion. This is mostly
worked out in the earlier answers I have referred you to, in
particular v /c =(gt /c )/√[1+(gt /c )2 ]
and a /g =[1+(gt /c )2 ]-3/2 ;
these are plotted in the graph above with the red and blue
curves. Things to notice are that after 1 year you have only
acquired a speed of about 0.7c and your
acceleration has dropped to about 0.35g . What was
not derived earlier was your position as a function of time;
integrating the velocity equation, I find gx /c 2 =√[1+(gt /c )2 ]-1,
shown by the black curve. Things to notice are that it
starts out looking like a parbola as it would if you had a
constant acceleration of g , but eventually becomes
a straight line as you approach the speed of light which you
never reach. Reading off the graph, the time it takes you to
get halfway, 1 ly, is about 1.7 years (as measured from
earth); your speed will be about 0.86c and your acceleration
(again as measured from earth) will be about 0.13g .
This will be ¼ of your tota l trip, 6.8 years. The time you measure will be somewhere
between 4 and 6.8 years.
Incidentally, the axes
may be shown to be numerically equal to years and light
years if you approximate g ≈10 m/s2 .
ADDED COMMENT: I see that I have misread
the question. For some reason the questioner reverses his thrust at ½
ly out so he only goes to 1 ly before turning the ship back
to earth. From the graph you can see that the time to get to
this position is about 1.1 years and the speed there is
about 0.75c . Thus the total elapsed time on earth
before your return would be 4.4 years in this scenario.
Light would take 2 years to make this trip. Again, I have
not calculated the time on your clock but it would be
between 2 and 4.4 years.
QUESTION:
Why the projectile motion of a body in air is not three dimensional?
ANSWER:
In the real world the motion is three dimensional. In an
elementary physics course, the situation of the body having
no interaction with the air is first considered for
simplicity. In this case the only force on the object is its
own weight which is vertical and therefore the object moves
in a plane defined by the initial velocity and the vertical.
This is a good approximation for many everyday applications
of projectile motion. However, the object will interact with
the air. If the air is still and the object is a point mass,
it will experience a force opposite the direction of its
velocity and therefore also move in a plane; the path will
not be a parabola. If there is a wind whose velocity does
not lie in the plane defined by the initial velocity and
vertical, the projectile will move out of the plane —true
three-dimensional motion. If the object experiences a
greater air force on one side or the other, for example for
a spinning ball, the projectile will curve out of the
original plane.
QUESTION:
For a book pushed horizontally against a vertical wall, we know that the friction force is equal to the weight of the book. We also know that the friction force is equal to the normal force multiplied by the coefficient of friction. So, technically speaking, the harder you push against the book, the greater the normal force. Therefore, the friction should get bigger the harder the you push, but we know that isn't true since friction is equal to the weight of the book, which doesn't change when you press the book harder to the wall. Thus the only way to appease the equation: (mu)(normal force) = (weight of book), with an increase in normal force (caused by an increase in applied force to the book), that would mean the (mu) or coefficient of friction has to change. So my question is, why does the coefficient of friction change when we apply more force to the book on the wall? Its still the same two surfaces!
ANSWER:
You should have stopped after the first sentence which is
correct! You misunderstand static friction. Although it is
true that f= μ k N
for kinetic friction, for static friction the equation
f= μ s N
is not true. The correct formula is an inequality rather
than an equality:
f ≤ μ s N.
For one single force you may write an equation, f max =μ s N
which is the largest frictional force you can
get for a given N . If you do not push your book
with a force equal to or larger than N=mg /μ s
it will fall to the floor. (The Q&A right
below yours is closely related to your question.)
QUESTION:
How two objects of the same material with different masses when placed on a sloped surface the force of gravity overcomes the force of friction at the same angle for both objects, this would bring the question why would they have the same angle if one object has more inertia than the other.
ANSWER:
An object on an inclined plane which makes an angle
θ to the horizontal is at rest and in
equilibrium. There are three forces acting on it, the
friction f , the normal force N , and the
weight W=mg . Then, using Newton's first law, f-W sin θ =0
and N-W cosθ =0. Solving,
f=W sin θ and N=W cosθ.
If the block is just about to start moving f=μN
where μ is the coefficient of static
friction, so μ= (W sin θ /W cosθ )=tanθ .
As you can see, the angle is independent of the weight; this
is because both N and f are proportional to
W , so
W cancels out when you calculate their ratio.
QUESTION:
In what distance will a car skid to a stop on a dry concrete road if its brakes are locked when it is moving at 89 km/h?
ANSWER:
The coefficient of kinetic friction for rubber on dry
concrete is μ ≈0.7. The speed
of the car is v=89 km/hr=24.7 m/s. The change in kinetic
energy must equal the work done, (K 2 -K 1 )=-μ mgd =(0-½mv 2 );
the mass m cancels out, so -½x24.72 =-0.7x9.8xd
and therefore d =44.5 m.
QUESTION:
can length contraction of the crew of a spaceship reach the point where it affects the biological processes? I am not talking about time dilation effects. Is thinking changed? Can one be squeezed down to the point of injury? At very near the speed of light could the density of the spaceship be so great that it becomes a black hole? What about charge density in an electron? Can fundamental constants like Planck's constant be affected?
ANSWER:
You misunderstand length contraction. In the frame of
reference of the spaceship there is no length contraction.
Lengths on the spaceship as measured by someone at rest are
shorter, but everyone on the spaceship sees everything just
the same as if it were at rest.
QUESTION:
We have been talking in science class about air pressure and vacuums,and how a straw even in perfect vacuum will only suck water up to ~10m, my question is why does the diameter of the straw not effect the height to which the water is pulled as a greater diameter would mean more mass.
ANSWER:
The mass m of the water in the tube is the density
of water (ρ =103
kg/m3 ) times the volume of water (V=Ah );
therefore the weight of the water is mg =ρgAh ≈104 Ah
(taking g ≈10 m/s2 ). The pressure at
the bottom of the tube is atmospheric pressure, P bottom ≈105
N/m2 and at the top the pressure is zero;
therefore there is a force F up on the tube which
is F =(P bottom -P top )A ≈105 A
N. But F is holding up the weight, so F=mg or 105 A= 104 Ah
or h ≈10 m. A cancels out!
Q&A OF THE
WEEK, 4/14/2018
QUESTION:
hi, so, there is a fairly recent
video going around the internet of nasa ISS astronaut Randy Bresnik spinning a fidget spinner, in space, in a quite low gravity environment and then apparently grabbing hold of the spinner then video cuts and we, presumably some short time later, see the entire body of the astronaut holding the spinner spinning fairly rapidly in space.
Perhaps it is a quite elementary question, but, I wonder if that video might have been faked, wondering if the what must be a relatively small amount of energy in the spinner could cause the entire body of mass of astronaut plus the spinner to spin in the fashion observed in the video. That is to say: wouldn't the energy from the spinner, say, be absorbed by the astronauts body or the muscles in his arm, or some such, upon grabbing the spinner; or, if there was movement, wouldn't it be far far less than what is demonstrated in the video?
ANSWER:
You are right, I think the astronauts are messing with you
here! You have looked at it from the perspective of energy
conservation; however, energy would not be conserved here
and energy would actually be lost, not gained as it appears.
So, your reasoning was sound —where did the
energy come from? What is conserved is the angular momentum.
If the moments of inertia are I toy and
I man and the original angular velocity
of the toy is ω 1 , then the
initial angular momentum is L 1 =I toy ω 1
and the final angular momentum is L 2 =(I toy +Iman ) ω 2
where ω 2 is the angular velocity
of the man+toy. Conserving angular momentum and solving for
ω 2 , ω 2 =[I toy /(I toy +Iman )]ω 1 <<ω 1 .
Now, I actually found the moment of inertia of a fidget
spinner,
I toy ≈7x10-5 kg·m2
and I estimate
I man ≈70 kg·m2 .
This means that ω 2 =ω 1 /1,000,000!
The astronauts have angular velocity of about 1 revolution
per second and you know perfectly well that the fidget
spinner did not have a speed of a million revolutions per
second.
Finally, if you are interested, you can show that energy is
not conserved. The expression for kinetic energy is E =½Iω 2
so E 1 =½I toy ω 1 2
and E 2 =½[I toy /(I toy +Iman )]ω 1 2 ≠E 1 .
QUESTION:
I have an idea to help enhance mankind's interplanetary manifest destiny.
The idea hinges on pragmatics and so I want to know if it is worth considering further. Without giving away too much of the idea, and without more ado, here is my question.
Is the escape velocity the same at sea level as it is atop a mountain? The only equations I can find show escape surface velocity. As an added bonus question: If my initial velocity is extremely large but I have no propulsion, how would this scenario affect escape velocity?
ANSWER:
First of all, let's be sure we know what escape velocity
from earth is: it is the minimum speed an object must have
at a distance R from the center of the earth to
totally escape (to infinity) the gravitational field of the
object; the expression is v escape =√(2GM /R )
(which assumes that the mass of the escaping object is very
small compared to the mass of the earth, M ).
That is the initial speed with no additional propulsion.
Obviously you could escape any gravity by simply pushing
with a force greater than the force of gravity you
experience; if you had a means of propulsion which kept you
moving at 1 mph, you could completely escape the earth given
enough time. Therefore your "bonus question" essentially has
no meaning. Your first question is whether the escape
velocity atop a mountain is different from sea level; the
answer is yes because R is bigger atop the
mountain, but since the height of even the highest mountain
is tiny compared to the radius of the earth, the difference
is neglegible.
QUESTION:
Why do raindrops fall down at a pronounced angle with the vertical when seen from the window of a speeding train? Is this angle necessarily the same as that of the path of a water drop sliding down the outside surface of the window?
ANSWER:
For the same reason that stationary objects outside the
train appear to be moving backwards with the same speed as
the speed of the train. For example, if the drops are
falling vertically relative to the ground with velocity
v , the negative of the velocity
(horizontal) of the train u must
be added to v ; the velocity
w seen by an observer in the train
will be this vector sum.
This has nothing to do
with how drops adhering to the window move. If the train
were still a drop would drip straight down the window with
some speed which would be much smaller than the speed of a
falling rain drop. If the train is moving the drop would see
a wind of speed u which would push it backwards with some
speed considerably less than the speed of the train. Again,
the vector sum of the two velocities would be seen as the
drop velocity by an observer in the train.
QUESTION:
Why is it when you sit on a swing and swing really goes smooth but you get to a certain height and it gets bumpey
ANSWER:
It is pretty complicated to discuss in detail. It has to do
with the "pumping" the swinger performs. Look at the little
animation above. Notice that the chains do not stay in a
straight line. If someone were pushing you and you sat
perfectly straight, I believe that the "bumpey (sic )"
motion would not happen until you were swinging above the
bar. When pumping, you eventually reach a point where the
chain between your hands and the seat goes slack which you
can see in the photograph of the swinging girl if you look
carefully (see my yellow line). If the girl is at the very
top of her path, she is at rest and there is no force from
the chain on the swing itself. So when she starts to fall
back she will be in a sort of free fall until the chain
becomes taught; at that instant there will be a jerk.
DISCLAIMER:
I was unable to find any discussion of this anywhere and I
have invented this answer using what I find to be reasonable
arguments. It might not be the right answer!
QUESTION:
So, you have a train that is not moving and inside the train you have a drone that is hovering. No one is controlling the drone it is just hovering in one place. If the train begins to move, would the drone move with the train or would it run into the back wall of the train?
ANSWER:
As viewed by an observer outside the train, for the drone to
accelerate with the train it would have to experience a
force in the direction of that acceleration. But there is no
such force so the drone would stand still; viewed from
inside the train, the drone would appear to accelerate
toward the back wall of the train.
QUESTION:
With the recent discovery of "seeing" gravitational waves emitted by two merging neutron stars, how does one "see" gravitational waves.
ANSWER:
There is a good description of the detectors
here .
What is particularly exciting is that light from the merging
neutron stars could be seen; earlier observations, of
merging black holes could not. Also, the abundance of heavy
elements like gold is much larger than could be understood
using standard models of stellar evolution; it had been
hypothesized some years ago that perhaps the excess could be
produced in neutron star collisions, and the current
observation seems, at first glance of the spectroscopy of
the light, to support this hypothesis.
QUESTION:
What would a chart of an 8g impact look like for an 8g impact with a 100 ms
duration?
I can send a jpg of what I am told fits the requirement.
But I seriously doubt that it does fit the requirement. But then again I am
barely understanding the test. I see spikes to 20-30g.
I am having a hard time finding anyone that can answer this question.
(I asked for more information.)
FOLLOWUP QUESTION:
These are the charts provide by the AF to me when they tested a pallet that we built.
The requirement is:
Ultimate load. When uniformly loaded to 10,000 pounds, the load being restrained to the pallet by chains, the pallet installed between restraining rails locked to the rails by 2 locks through each rail and engaging 2 lock notches on each side of the pallet, and resting on 4 rows of conveyor as specified (see 3.4.5.1), the loaded pallet shall withstand a dynamic load of 3 times the force of gravity (g's) for a period of 0.1 second. The pallet shall be serviceable after undergoing the test. In addition, the pallet shall withstand a dynamic load of 8 g's for a period not less than 0.1 second. The pallet need not be serviceable after undergoing such a load; however, the pallet shall remain in one piece.
These are the result of those tests.
These charts just do not look right to me in their conclusions.
I am not a math major, but I do understand some stuff and this does not look correct. ie. "Area under the curve." or correct averaging.
If you can set me straight or put me on another path it would be greatly appreciated.
ANSWER:
So, I must admit that I do not understand all the details of
the requirements (locks, chains, notches, etc .)
What I can do, though, is estimate the area under the curve
which seems to be one of your main concerns. I drew in a
rough fit (green) to the data (red) and calculated the area
under the green curves (keeping in mind that the area of the
triangular segment below the axis is negative). As you can
see, the area I got as a rough estimate is 0.37 compared to
the actual area of 0.35. The average would simply be the
area/time=3.5. My guess is that your pallets did not fulfil
the requirements since the precipitous drop before the 0.1 s
had passed would seem to indicate a collapse of the pallet.
Both tests show this behavior, with the 8g test having the
"collapse" occur earlier as would be expected. However,
since I do not understand the details of the test well
enough, I would not take my guess as gospel.
QUESTION:
How would i explain bus or a truck(high CG)flip over, when driving in a curve with high speed, from a inertial reference frame? If centrifugal force is fictitious and bound to non-inertial reference frame, what torque causes truck to flip over observed from an inertial ref. frame?
ANSWER:
I have attached figure from the
earlier answer
where I did essentially this problem in the noninertial
frame; this saves me having to draw the whole picture again.
For your problem, the vector labelled C
is zero. Part of what makes your problem harder
than in the accelerating frame is that you must sum torques
about the center of mass (green x). For equilibrium, the sum
of torques must be zero; summing torques gives 0=H (f 1 +f 2 )+LN 1 -LN 2 .
(Translational equations are f 1 +f 2 =mv 2 /R
and N 1 +N 1 -W=0.)
Now, when the truck is about to tip over the left wheel is
about to leave the ground so N 1 =f 1 =0,
f 2 =mv 2 /R ,
and N 1 =W ; therefore Hmv 2 /R-LW= 0.
So, if v > √[LWR /(Hm )]
the truck will flip over.
QUESTION:
If you jumped vertically upwards, strictly speaking and according to Newton's 3rd Law, what would the Earth do?
ANSWER:
The earth would recoil but with a velocity much less than
you do. Suppose that you have a mass m and initial
speed v and the earth has a mass M and
initial speed V ; then conservation of linear
momentum (essentially Newton's 3rd law) says
mv+MV =0 or V =-(m /M )v ;
the recoil velocity of the earth is unmeasurably smaller
than your velocity.
QUESTION:
Suppose I am in space, in a 100 meter barrel strapped to one end. The barrel and I have mass 100 kg (I'm pretty light). I throw a 100 kg ball down the center of the barrel towards the other end, accelerating it to 1m/s velocity. Presumably, it takes the ball 100 seconds to reach the other end and it sticks because it is covered in velcro. I presume the barrel started in motion in space when I threw the ball from the reaction from the force I applied to the ball and it stopped when the ball hit the other wall. Could I keep moving the barrel by throwing more balls? How is this possible without violating Newtons laws? Surely this is not a case of propellantless thrust?
ANSWER:
These 100 kg balls just materialize from nothing, do they?
So you must have a supply of them which means that the total
mass of the entire barrel and its contents is much bigger
than 100 kg which means you go much less far with each
throw. Eventually you will run out of balls, but you will
have gone some distance. What propelled the barrel? You did.
FOLLOWUP QUESTION:
Thank you so much for you previous answer. My question about throwing balls at the back of a barrel in space was inspired by what I had read about some experts criticizing the "EM Drive" for violating Newton's Laws. Basically the writers quote experts as saying that you can't have forward thrust without throwing mass out the back " no such thing as propellantless thrust". I suppose these experts are simplifying their response for the lay press because qualifying their answer would take up to much column space. In retrospect, I should have known that some net movement was possible as I believe NASA uses large gyroscopes to adjust the pointing of some space telescopes.
This did get me to thinking though. Suppose I attach a laser to one end of the barrel and fire a single photon towards the other end. Presumably, momentum is imparted to the wall attached to the laser and the barrel moves through space as the photon moves to the opposite wall where it is absorbed. Now I wonder why I can't keep firing photons and moving the barrel. Is the hitch in my "propellantless thrust" scheme come from the absorption process? Is the heat generated through absorption dissipated out of the barrel preferentially so as to counteract my momentum drive?
ANSWER:
The
situation is similar to your first question since, as you
apparently know, photons have energy and momentum. But, to
operate your laser you have to supply energy somehow.
Suppose that you use a fusion reactor to generate that
energy. Then as you shoot more and more photons, the whole
ship gets less and less massive. But, energy has to be
conserved (mass is a form of energy, mc 2 )
and when the photons get absorbed, the heat generated will
"retrieve" the lost mass. Eventually you will run out of
fuel for your reactor and you will be right back to being at
rest. (I am assuming that the rules of the game forbid
letting the heat at the back radiate into space.)
QUESTION:
Can you calculate the negative g when a 38sq metr vehicle hits sea level atmosphere at 5,000kph?
ANSWER:
I presume that you want to know the acceleration of the
vehicle due to the air drag. There is an approximate
expression (only valid for SI units) for the drag for an
area A and speed v , F= - ¼Av 2 .
The problem is that I do not really know how accurate this
is at such a high speed as 5000 km/hr≈1400 m/s. So,
view this as a very rough calculation. F ≈-2x107
N. Now, to get the acceleration you need to know the mass
m (in kg). Using Newton's second law, F=ma ,
a ≈2x107 /m m/s2 .
To express this in g s, divide by 9.8 m/s2 .
For example, if the mass of the vehicle is 10,000 kg, a ≈2000
m/s2 ≈200 g s.
FOLLOWUP QUESTION:
What would be the approximate negative g on a rocket having a 7sqr metre frontal area when exiting from an evacuated tube doing 5,000kph at sea level?
This is a further question related to impact of air on a vehicle.
ANSWER:
The only thing you changed is the area A . Since the
drag force is proportional to A, all estimates given above
need only be multiplied by 7/38=0.18.
QUESTION:
My question is using the flight time equation of (1/2)x g(flight time/2)^2 or the more simplified (g x (flight time)^2)/8 i have the answer and know it is m but i was just wondering what the origins of the equation is, such as what is it called or what is the rule.
Or if it is derived and what from. this is just for myself to have a deeper understanding of what i have done and worked out. for me the the equations was (1/2) x 9.81(0.0557/2)^2=0.38m or 38cm. i know how to use the equation just want to know where it comes from.
ANSWER:
The equations of motion for the vertical component of
projectile motion are v=v 0 -gt
and y=y 0 +v 0 t - ½gt 2 ;
note that this is only for the vertical component of the
motion, the horizontal motion does not interest us for your
question. Here v is (the vertical component of) the
speed at time t , v 0 is (the
vertical component of) the speed at time t =0, y
is the altitude at time t , and y 0
is the altitude at time t =0 (which I will choose to
be 0). You are interested in the height to which the
projectile rises, and at that position v =0;
therefore v 0 =gt and so y=h =(gt )t- ½gt 2 =½gt 2 .
But my time here is only half the "flight time" of the
projectile, so h =½g (t flight /2)2 .
You do not need to memorize "the flight time equation".
Everything you need to know is contained in the equations of
motion which you should memorize.
QUESTION:
A Newton's Cradle is some times used to demonstrate the Law of Conservation of Momentum but, I noticed anomaly. Specifically, whenever the steel balls collide, I hear a clicking sound and that requires energy. This tells me some of the kinetic energy of a moving ball transforms into thermal and accoustic. How do physicists explain that momentum is conserved when a ball leaving a collision is moving slightly slower? If there is less kinetic energy but no change in the total energy, it seems logical to think a certain quantity of motion has vanished after any collision. Both momentum and kinetic energy use the same variables. I also understand that when I pull one ball back, after a collision one ball emerges. If two balls are pulled back and released, two balls pop out.
VIDEO
ANSWER:
You are right, energy is not conserved in the collisions.
And, you can tell that it is not conserved because the
machine eventually stops. But momentum is always conserved
in an isolated system (no external forces on the colliding
bodies). I commend you for thinking about this which seems
paradoxical. To illustrate, let's choose the simplest
situation, the collision of two balls of equal mass m ,
one at rest the other with speed v , in one
dimension. As you know, if the collision is perfectly
elastic the first ball ends up at rest, the second moving
with speed v , so the momentum is conserved because it is
mv before and after the collision. Next you say that if
the second ball emerges with speed u=v-δ that
momentum has been lost. But you have assumed that the first
ball is at rest, but it cannot be if momentum is conserved:
mv=mu'+m (v-δ ) and so the first ball
has a speed u'= δ after the collision.
In the
video I have inserted above, look closely at the first
demo, with one ball striking four and one popping out; you
will clearly see that the next to last ball is not at rest
after the collision(s).
QUESTION:
If I take two solenoids with dimensions of 6 inches in length, and 2 inches in radius, each producing .5 Tesla and I combined the opposite poles so they attract each other, will the combined solenoids be a 1 Tesla solenoid?
ANSWER:
No. The argument goes like this: Suppose you have an
infinitely long solenoid; it has a perfectly uniform field
0.5 T aligned with the axis of the solenoid throughout its
whole volume. Now cut out two 6" sections of that solenoid;
each will still have a nearly uniform field 0.5 T near its
center but the field will become weaker as you approach the
ends. Now, put those two together. It is just the same as if
you had cut out a single 12" section to start with which
would have an approximately uniform field of 0.5 T except
near its ends.
QUESTION:
As I understand it, a helium balloon can float upward because of the difference in pressure between the helium in the balloon and the atmosphere. Suppose the balloon had a strong hard surface and the inside of the balloon was a partial vacuum, Would the balloon float upward or at least weigh less? In this case there would also be a difference in pressures like helium.
ANSWER:
Your understanding is incorrect. The reason anything floats
up in the air is that the atmospheric pressure up on the
bottom of the balloon is greater than the atmospheric
pressure down on the top resulting in a net upward force
F . If F>W where W is the weight of
the balloon plus its contents, there is a net force up
causing the balloon to accelerate upwards; this force is
called the buoyant force and also explains why things float
in water. The reason you use helium is that it is lighter
than air. Then the answer to vacuum question is clear:
taking away the helium but keeping the balloon the same size
would make it lighter and therefore the net upward force
would be larger.
QUESTION:
What would be the difference between a bowling ball size meteorite hitting the ground at an average meteor speed compared to a meteor that has been propelled past lightspeed? I'm just wondering how much more damage that would do and if we would even see it coming. Sorry just a random thought.
ANSWER:
First, it is impossible for anything to be "propelled
past lightspeed"; no material object can go faster than (or
as fast as) the speed of light. I will take the meteor mass
to be 300 kg and its "average speed" to be 5x104
m/s. Then the energy would be E = ½mv 2 =4x1011
J. For the super fast meteor, let the speed be 99% the speed
of light. Then the energy would be E=mc 2 / √(1-.992 )=2x1020
J. For comparison, the energy of the Nagasaki atomic bomb
was about 1014 J.
QUESTION:
If I threw a ball straight up into the air and it stayed there for 6hrs would it drop back to excactly the same spot?
ANSWER:
Any object thrown vertically will not fall back exactly to
where it started. To understand why, see a
recent answer . Your question
has a slightly different twist: when this type of problem is
calculated it is usually assumed that g , the
acceleration due to gravity, is constant; if your ball stays
in the air for six hours, that will not be the case.
Nevertheless, the ball would always have a Coriolis force on
it so it would be deflected westward by some amount. If you
had said something like the ball goes up 1000 m, you could
have done a pretty good calculation since 1000 m is very
small compared to the radius of the earth and it would be a
reasonable approximation to say that g =9.8 m/s2
the whole time (which would be about 28 s). It can be shown
that, for a latitude of λ , on the way up the
Coriolis deflection is [(4ω /3) √(8h 3 /g )]cosλ
west and on the way down it is
[(ω /3) √(8h 3 /g )]cosλ
east, so the net deflection is
x=ω √(8h 3 /g )cosλ
west; the angular velocity of the earth is
ω= 7.27x10-5 s-1 , so
x =2.1 m west at the equator (λ= 0).
Finally we should note that at the poles (cosλ =0)
there is no deflection due to the earth's rotation, but
since the earth revolves around the sun you are still in a
frame where there would be a Coriolis force but it would be
much smaller; it would be smaller yet because the angular
velocity of the motion around the sun is almost parallel
(about 230 away) to the vertical at the poles.
The deflection for the example above (h =1000
m)would be about 2 mm compared to 2 m; the direction would
be opposite the direction the earth is moving in its orbit.
All of the above
ignores air drag.
QUESTION:
Is the graviitational force on Earth the same everywhere or is the force different near the south or North Pole?
ANSWER:
If the earth were a perfect sphere with a spherically
symmetric mass distribution, the gravitational force would
be everywhere the same. Since it is not, there are small
variations as you move around the surface. Even if it were,
it would appear to vary as you moved from the poles
to the equator because of the earth's rotation. A scale
would read your weight (gravitational force on you)
correctly at the poles but would, because of the centrifugal
force (a "fictitious" force), read slightly less at the
equator.
QUESTION:
I can get a neon lamp to ignite (light up) at less than ignition voltage two ways. One is at a voltage a little lower than ignition voltage to shine a UV lamp on the neon bulb which causes it
to light. This can be explained by the photoelectric effect.
The other way, in the same situation as above, is to generate a spark near the neon lamp. One way is to use a piezo electric barbecue igniter which generates about 15KV. This produces the same effect as the UV light - the neon lamp comes on at a lower voltage than its ignition voltage. There is also a YouTube video of a fluorescent that will no longer come on starting when a spark is generated near it. I know a spark produces RF radiation but it is said to not have enough energy to produce a photo electric effect. I have be unable to find any explanation of what is happening here.
ANSWER:
Well, you can be sure that the spark does not generate only
RF because you can see it! Seems to me that if visible light
is being produced by the spark, there is probably also UV
radiation being produced.
QUESTION:
If time is relative does that mean space would be too/ or to put it another way is space actually fixed or can it be and has it been streatched or bent like time in the famous high altitude clock experiments??
ANSWER:
Yes, space is also relative to frame of reference. The most
obvious example is length contraction where lengths along
the direction of relative velocity are shortened by the
factor √(1-(v /c )2 ) where v is the
velocity and c is the speed of light. The most
elegant way to think of this is to not think of space and
time as being two things, rather think of space-time.
QUESTION:
Why does a satellite shot straight up from the equator deflect to the west?
ANSWER:
There are two ways to look at this.
If you view it from outside the
earth, the satellite will continue moving directly away
from the center of the earth.
But, viewing the earth
from above the north pole, the earth rotates
counterclockwise, west to east.
So the earth is actually rotating under it which gives
it the appearance of deflecting to the west.
The second is a little fancier and harder to understand.
If you view Newton's laws from a rotating coordinate
system (the rotating earth with you on it) you find that
they are wrong; these "laws" of physics only work in
inertial frames of reference. However you can force
Newton's laws to be correct if you invent just the right
fictitious forces. I will not go into all the complexity
here, but one of the fictitious forces is called the
Coriolis force and can be written as F =-2m ω xv
. Since the vector ω
points along the earth's axis and out
through the north pole and the velocity vector
v points radially outward, the
negative of their cross product points west. Hence, it
will appear that the satellite is pushed west when
viewed from the ground.
QUESTION:
I am a safety coordinator in a warehouse operation. I am attempting to impress the need for safety with my co-workers. To that end, I am trying to answer the following:
A 10,636 lb. forklift (4825 kg) traveling at a speed of 8 mph (13 kph) strikes a fixed object (metal pole). How much force is transferred during this collision?
.
Secondly, same forklift, same traveling speed strikes a 150 lbs. (68 kgs) person. How much force is transferred to the person in this collision?
ANSWER:
There is no accurate way to calculate the forces. They depend on the details of the collisions.
In particular, how long do the actual collisions last? Also, how do the forklift and the person move after the collision has occurred (assuming the metal pole stays stationary)?
I could make some rough estimates to get an idea:
For the first problem, let's say that the forklift stops
dead and that it plus the pole deform by 1 cm so that
the distance traveled during the collision time is d ≈1
cm. Since these are very rough calculations, I will let
the mass of the forklift be m f ≈5000
kg and the initial speed be v =8 mph≈3.6
m/s. If the forklift stops uniformly, it will stop in a
time t =2d /v =0.0056 s. The
force F experienced (by both the pole and the
forklift) will be F=m f v /t ≈3.2x106
N=720,000 lb.
For the man-forklift collision, assume the forklift
keeps right on moving with the same speed but with the
man stuck to the front. Suppose that the man's body
compresses 3 cm during the collision, so the time of
collision will be t=0.06/3.6=0.017 s. The force now is
F=m m v /t =68x3.6/0.017=1.44x104
N=3200 lb.
QUESTION:
do the proton and the neutron have exactly the same mass?
how do masses of the proton and neutron compared to the mass of the electron?
w
which particles make the greatest contribution to the mass of an atom?
which particles make the greatest contribution to the chemical properties of an atom?
ANSWER:
I usually do not answer multiple questions, but these are pretty
much one question about properties of atoms.
The neutron is about 0.14% heavier than the proton.
The electron is about 1837 times lighter than a proton.
All stable atoms but 1 H have neutrons as
having to largest fraction of the weight. All stable
nuclei except hydrogen have more or an equal number of
neutrons than protons.
The electrons, which orbit the nucleus comprised of
protons and neutrons, determine the chemical properties
of the atom
QUESTION:
CAN A STRUCK GOLF BALL SLICE, IF HIT IN A VACCUM, LIKE THE MOON ?
ANSWER:
Because a slice is curving due to a spinning ball moving
through air, it will not occur in a vacuum. For a more
detailed discussion of golf on the moon, see an
earlier answer .
QUESTION:
After searching through so many questions on here relating to the speed of light (each one being fobbed off by saying 'it just can't get faster') my question is why ?
If a craft was able to reach light speed and had a torch pointing forwards, the light emitted from that torch will be travelling at twice light speed (craft speed (of the source of light) and the actual light projected from the source) ? Don't say it just can't.
ANSWER:
Well, all I can say is that you must not have done a very
good search of my site because both your questions have been
answered multiple times. The first thing you should always
do in such a situation is go to the site's
FAQ page if there is one—there
is one on AskThePhysicist.com! For the question regarding
why the speed of light is the highest possible, see
this link . Your
question/statement that the speed of light would be the
speed of light plus the speed of the source is simply wrong.
To understand why, see
this link .
QUESTION:
In your book From Newton to Einstein , page 2-15, you show the resulting solution to variable gravity effect on increasing mass.
Is there a web site where the step by step solution (rather than the end solution) can be found?
ANSWER:
In the
original Q&A there is a
link to a more
detailed derivation although I do not think it will make
this simpler for you. Rewrite the first equation as
(g /c )dt =√(1-β 2 )·d[β/ √(1-β 2 )]=dβ /(1-β 2 ).
There was a little tricky differential calculus here to get
the the last step:
d[β/ √(1-β 2 )]=(1-β 2 )-1/2 d β +β (-½)(-2β )(1-β 2 )-3/2 dβ= dβ /(1-β 2 )3/2 .
If, like me, your integration skills are rusty, I suggest
the Mathematica on-line integral
calculator which gets you to the solution for gt /c ;
don't forget that the difference of logs is the log of the
ratio. Then, to get the final answer, exponentiate 2gt /c
to get rid of the natural log and algebraically solve for
β . Of course, the starting point is recalling
m=m 0 / √(1-β 2 ).
QUESTION:
I am interested in the temporal phase relationship of electric field
excitation and magnetic field excitation for a circularly polarized electromagnetic wave.
I was taught that linearly polarized waves had temporal fields in sync, while circularly polarized waves had an orthogonally delayed temporal phase difference.
An Electrical Engineer with 50 odd years in antenna design tells me that this is a common misunderstanding of circularly polarized waves - it is his opinion is that ultimately ALL EMWs have temporally synchronised pahase relationships, even circularly polarized EMW!
ANSWER:
I believe your friend is correct. An electromagnetic wave,
regardless of its polarization has a magnetic field which at
every point and time is proportional to the electric field.
Therefore they are in phase. Quoting the article in
Wikepedia on circular polarization, "Since this is an electromagnetic wave each electric field vector has a corresponding, but not illustrated, magnetic field vector that is at a right angle to the electric field vector and proportional in magnitude to it. As a result, the magnetic field vectors would trace out a second helix if displayed."
The electric field, which has a constant magnitude, is
illustrated in the animation; the helix traced out by the
magnetic field would be π /2 out of phase
with the electric field which may be the source of
confusion.
QUESTION:
Another question relating to gravity is what does 9.8 meters per second squared actually mean or at least the "squared" part of it? When I square 9.8 I get 96.04 then when I square the resulting answer the number escalates to over 9,223 and falling objects clearly don't reach 9,223 m/s in just 2 seconds!
ANSWER:
Oh my, this is so fundamental to understanding physics. One
of the first things you learn in an introductory physics
class is kinematics, the specification of position, rate of
change of position (velocity), and rate of change of
velocity (acceleration). Position is specified by a length,
so many meters (m) from somewhere. If the position is
changing at some constant rate, called velocity, is the
change in position divided by the elapsed time (m/s). If the
velocity is changing at some constant rate, called uniform
acceleration, is the change in velocity divided by the
elapsed time ((m/s)/s). So, if a car goes from 0 to 60 in 6
seconds, its acceleration is (60 mi/hr)/6 s)=10 mi/hr/s. If
you drop a stone and measure its speed after it has fallen
one second, you will find that the velocity has speed up to
9.8 m/s; therefore its acceleration is (9.8 m/s)/(1 s)=9.8
m/s/s=9.8 m/s2 . Students usually find the s2
as strange —what in the world is a square
second? So, m/s2 is just shorthand for m/s/s.
That makes sense, right: 1/4/4=1/42 =1/16.
QUESTION:
How does lightning conductor works?
ANSWER:
See an
earlier answer .
QUESTION:
If a person ran around in a circle at the speed of light, would he cause something like a cyclone?
ANSWER:
No material object can travel the speed of light or faster.
But let's imagine someone who could run a million miles per
hour (way smaller than the speed of light). In order to
cause "something like a cyclone", she would have to be
running in air. But way before she even got to top speed she
would burn up due to the air friction.
QUESTION:
what is the terminal velocity of a soccer ball sized piece of hail?
ANSWER:
I don't think there is hail that large! But, the calculation
is straightforward. I usually estimate the air drag of
something of cross section A having a speed v
to be ¼Av 2 =0.038v 2 .
When this is equal to the weight of the object, mg =(4πR 3/ 3) ρg =402
N, the object will have the terminal velocity; so v =√(402/0.038)=103
m/s=230 mph. I have used R =0.22 m, ρ= 920
kg/m3 , and g =9.8 m/s2 .
QUESTION:
If you were traveling at a speed of 60mph, what would happen if you ran into a 180mph wall of wind.
ANSWER:
Assuming that you did not change the accelerator setting,
the speed of the air hitting your car would change from 60
mph to 240 mph. Since the drag force is proportional to the
square of the speed, the drag force on the car would become
(240/60)2 =16 times larger. This would be like
brakes and probably eventually stop the car. Depending on
the details of the car, it would possibly eventually reverse
the direction of the car.
QUESTION:
I need to know when a pingpong ball is under 10' of water and when ball is released how much work is the ball capable?
ANSWER:
This is a peculiar question. To find out the work you can
get out of the ball you need to calculate the work you have
to do to get it there. Imagine pushing the ball down very
slowly so that you can neglect the drag forces; also neglect
the work you need to do to initially submerge it since that
will certainly be neglegible compared to the work the rest
of the way down. The data for the ball are a mass of m =2.7x10-3
kg and a radius of R =0.02 m; the volume is V =4πR 3/ 3=3.35x10-5
m3 . The forces are its weight down mg =9.8x2.7x10-3 =0.0265 N
and the buoyant force B up which is the weight of
the displaced water (the density of water is 1000 kg/m3 ),
B=ρgV =1000x9.8x3.35x10-5 =0.328
N; the net force on the submerged ball is therefore F =0.328-0.0265=0.301
N up. So, since s =10 ft=3.05 m, the work done to move
place it down there is W =Fs =0.301x3.05=0.918
J=2.55x10-7 kW ·hr=0.677 ft·lb.
Keep in mind that if simply released the ball will quickly
reach terminal velocity and move up with a constant speed,
most of the work being against the frictional drag force.
QUESTION:
A mathematician while he was a kid was punished by teacher to add 1 to 100. But he gave the answer in less than 10 minutes? How is it possible with out modern devices in 1700 NC
ANSWER:
It is actually pretty simple: 1+99=100, 2+98=100, …
49+51=100, so that is 4900. But we still have 50 and 100, so
the answer is 5050. (This is not physics, though!)
QUESTION:
Recently in my university, we had to do an experiment on beta spectroscopy. They gave us a sample of radioactive strontium-90 and told us that it decays beta particles at energies of 0.546MeV and 2.274 MeV and below. After finishing the experiment and submitting the report, the lab instructors told me that i had understood the concept wrongly. I had thought that at the energies of 0.546MeV and 2.274 MeV i would find a high number of electrons emitted. They told me that this was not the case and that at these energies you would expect to find no electrons emitted. They told me that electrons were not emitted at this energies because the neutons would absorb all the energy and leave the electrons in the sample thus no electrons would be detected. However, my understanding is that at these supposed max energies shouldn't the eletrons be emitted and leave the atom behind, allowing us to detect it? Why does the electron not leave the atom when it has high energies? Also during the experiment if there is supposed to be no electrons detected why did i detect a lot of electrons at these energies that is orders of magnitudes higher than that of the background radiation?
ANSWER:
Let's first talk about what happens in β -
decay: a nucleus with too many neutrons to be stable changes
a neutron to a proton (which stays in the nucleus), an
electron, and a neutrino. The energy released by this decay
is therefore shared between the electron and the neutrino
(assuming that the nucleus, being enormously heavier than
the other two particles, will have almost no recoil energy.
The electron, as you demonstrate in your lab assignment, is
pretty easy to observe. The neutrino, however, is extremely
difficult
to detect—the sun produces copious amounts of them and
nearly all pass completely through the earth without
interacting at all. When β - decay
was first discovered, it was a huge mystery because the
electrons, the only thing observed, were not emitted with a
single energy but with a broad spectrum of energies. A
typical electron spectrum is shown in the graph to the left;
in that graph you see a maximum near 0.1 MeV electron energy
but, in this example, the total energy should be about 1.15
MeV. There seemed to be only two explanations: either energy
is not conserved or else there is a third particle which was
not observed and carries off some of the energy. Everyone
believed the second explanation and the existence of
neutrinos was totally accepted by all physicists. They were
so hard to observe that it was 26 years after Wolfgang Pauli
proposed them (1930) and they were observed by Cowan and
Reines (1956).
In your experiment,
there were two decays going on simultaneously: 90 Sr
decaying to 90 Y and 90 Y decaying to
90 Zr. Both have a maximum but they are far
smaller than the total energies of the decays. Nearly
nothing after the first sentence starting with "They told me…"
makes little or no sense but that is probably because you
did not understand what they were trying to tell you.
QUESTION:
The centre of mass of a uniform ring lies at its geometrical centre i.e. outside the body but as we generally define centre of mass that if we apply a force at that unique point the whole body will move in a same way of whole of the mass is assumed to be concentrated there. So my question is how can we apply a force to a point not on body and still see the force's effect??
ANSWER:
If the force can be represented as a field, put the ring in
a uniform field. For example, near the surface of the earth
there is a nearly uniform gravitational force. If you drop
the ring it will not rotate regardless of how you orient it
at the time you drop it. The effect is exactly the same as
if all the weight were acting at the center. Another way
would be to put a very thin membrane across the ring whose
mass was negligibly small compared to the mass of the ring;
then apply a force at the center of the ring.
QUESTION:
We know that electric field lines do not intersect because they shows two direction but it is a vector quantity so we can find the resultant of the two direction but this not happen.
Why?
ANSWER:
You may observe the electric field at any point in space and
map the field. You will never find that that field crosses
itself. Of course, if you have more than one source of field
and you look at each separately, those fields will cross
each other just about everywhere. However, the net field is
the vector sum of all the fields everywhere. The electric
field obeys superposition.
QUESTION:
We know that if a body rotates about an axis that is not the axis of symmetry then the angular momentum about a point on the axis does not point along the axis. If we rotate such body about such axis at a constant angular speed then a contradiction arises: since angular acceleration is zero, the torque about that axis has to be zero but since the angular mometum vector is changing (since the axis is not the axis of symmetry) a net torque is required. Where am I getting wrong? Please help.
ANSWER:
Your question is a little ambiguous since you do not clearly
specify which axis you are talking about after the first
sentence of your question; if you just say axis, I do not
know if you mean the symmetry axis or the rotation axis. In
the laboratory frame, though, the angular momentum points
along the rotation axis and does not change. As you state,
there are no torques on the system about the rotation axis
so the angular momentum is not expected to change. But, you
are probably looking at the problem from the body frame and
see that the angular momentum is changing in that frame; but
the body frame is not an inertial frame and therefore
Newton's laws are not applicable (in particular, torque is
not necessarily equal to the rate of change of angular
momentum). That is probably what you are getting wrong.
QUESTION:
If I take my foot off the gas pedal on a flat road will my car eventually stop or do I have to hit the breaks? I tried to test it myself but I felt unsafe towards the end each time.
ANSWER:
That
depends on the car. Some cars, when in gear, will move
forward when idling unless brakes are applied. Certainly a
car with manual transmission will not stop unless it is in
neutral but will probably eventually stall if in a high gear
at sufficiently low speeds; if it stalls, it will certainly
stop soon after.
QUESTION:
can a body have a charge of 1.8x10^-19 C?
ANSWER:
The electric charge on an object is due to the excess or
deficiency of electrons. The charge of an electron is 1.6x10-19
C, so the net charge must be an integral multiple of this.
So the answer to your question is no.
QUESTION:
What is the velocity of the electron when it orbits around nucleus?
I mean the distance taken by electron on the perimeter of the orbit divided by time not its angular speed
ANSWER:
See
this video for a derivation. For a hydrogen atom in its
ground state, v =2.16x106 m/s.
QUESTION:
How many Suns would it take, laid side by side, to reach a star 9.3 light-years away?
ANSWER:
The diameter of the sun is about 865,000 miles which is
about 1.47x10-7 ly. Therefore 9.3 ly is about
9.3/1.47x10-7 =6.33x107 sun diameters
(63.3 million).
QUESTION:
If the space inside an atom is totally empty, therefore a vacuum, why doesn't the atom collapse?
ANSWER:
If
the space inside the solar system is totally empty,
therefore a vacuum, why doesn't the solar system collapse?
Because there is a force, gravity, pointing from the object
to the center of the sun which keeps all the moving objects
in the solar system moving in elliptical orbits. The same is
true of the Bohr model of the atom except the force is the
electrostatic force rather than gravity. You should be
aware, however, that the inside of an atom is not a vacuum.
The electrons are not really in simple orbits as the Bohr
model would have it, but they have wave functions
(distributions of the probabilities of their being at any
place in space) which extend all the way into the nucleus of
the atom.
QUESTION:
I've been thinking about this one, and cannot find a good way to reason it out. if you are in an elevator that is going down and you jump in there while its going down would your head hit the elevator's ceiling??
ANSWER:
If the elevator is moving with constant speed, it is exactly
as if it were standing still —if you give
yourself an adequately large velocity you will hit the
ceiling. If d is the distance from your head to the
ceiling at the instant that your feet leave the floor, then
you will hit the ceiling if the speed v you launch
with is greater than √(2gd ) where g
is the acceleration due to gravity. If the elevator has an
acceleration a , the critical speed will be √(2(g-a )d ).
For example, if a=g you are in free fall and even
the tiniest velocity will cause you to hit the ceiling
(assuming that the elevator does not get to the ground
before you get to the ceiling).
QUESTION:
I understand that the motion of a light source doesn't add to or subtract from the speed, or change the direction, of the light that it emits. So, if I was a passenger on a spaceship, and I shone a flashlight from one side of the ship to the other, perpendicular to the direction of travel, the light beam wouldn’t strike the wall exactly where the flashlight was pointed, but rather a little towards the rear, as the opposite wall would have moved forward some small distance in the time it took the photons to cross the ship. And if the ship was traveling at, say, half the speed of light, the light beam would leave the flashlight at a noticeable angle. Is this correct?
ANSWER:
If the spaceship were moving with constant velocity, the
light beam would go straight across the ship. As viewed from
outside, the light would have a component of its velocity
along the direction of motion equal to the speed of the
ship, so it would still hit exactly opposite of your
position which also moves with speed v). The speed of the
light would still be c. If the width of the ship is W, you
would see the light take a time W /c but
the outside observer would see it take a time (W /c )/ √[1-(v /c )2 ].
If the spaceship were accelerating you would see the light
hit somewhere backward (forward) of where you aimed it
depending if you were speeding up (slowing down).
FOLLOWUP QUESTION:
Your answer confirmed what I thought was the case for three-dimensional objects propelled mechanically through space. For example, an arrow shot from a bow across the spaceship would hit the bullseye or miss, according to whether the ship's velocity was constant or accelerating/decelerating.
However, I thought electromagnetic radiation, such as light, was a different animal. What led to my original question was reading that the speed of light is a constant which can't be exceeded, so I assumed it couldn't take on additional velocity from the motion of its frame of reference. When you say "the light would have a component of its velocity along the direction of motion equal to the speed of the ship" it sounds like you're saying the light is leaving the flashlight at speed c, and then the ship's speed of, say, 10 km/sec is being added to make the effective speed c + 10 km/sec (viewed from outside) which I thought was impossible.
My mental image of light radiating is of energy being "conducted" (analogous to electricity conducted by a copper wire) at a constant speed through an intrinsically motionless medium (space), not of a physical object being propelled.
ANSWER:
First a minor point. The arrow, speed u across the
ship which moves with speed v , will have a speed u'= √(u 2 +v 2 ),
not u+v as you suggest. However, as you correctly
surmise, this cannot be true for light since, in your
example, you could not have the light with speed √(c 2 +102 )
as seen by an outside observer. The speed must still be
c . So, if the component along the direction of the ship
is cx =v , you must have cy 2 +cx 2 =c 2 =cy 2 +v 2
or cy =c √[1-(v /c )2 ].
Regarding what you would see in the ship, the principle of
relativity states that the laws of physics are the same in
all inertial frames of reference; if your ship is at rest,
we could agree that anything aimed straight acoss will go
straight across. In other words, there is no such thing as
absolute rest —any inertial frame with constant
velocity relative to another inertial frame would have the
same laws of physics.
QUESTION:
How did the eclipse of the sun move from east to west across the earth.
ANSWER:
The shadow the moon casts on the earth (which is the
eclipse) moves west to east, not east to west. A clear
explanation was provided by
NASA : "Because the Moon moves to the east in its orbit at about 3,400 km/hour. Earth rotates to the east at 1,670 km/hr at the equator, so the lunar shadow moves to the east at 3,400-1,670 = 1,730 km/hr near the equator. You cannot keep up with the shadow of the eclipse unless you traveled at Mach 1.5."
QUESTION:
I teach middle school science, however I've spent more time advancing my understanding in several of the other science disciplines I teach so my ability to work through this problem is above my current skill set. However I would really like to be able to walk my students through this scenario, in part because I'm not good with subtlety. I would like to know what other variables I need to measure/know in order to calculate the force a hypothetical student's head would experience at the moment it hit the floor after they tipped their chair back too far (despite numerous warnings not to).
I imagine I'll need the Mass of the hypothetical student + the mass of the chair. The Time from when the hypothetical student's center of gravity passes over the point of rotation for the chair, the Height of the hypothetical student's head is above the floor. With Gravity being constant, I "should" have all the necessary information to calculate this (no chance at all will I let my students try to measure the force in real life) but I still have the niggling sense that I'm missing some variable.
ANSWER:
Let's first do the simplest estimate: imagine dropping the
head from about h =1 m above the floor. The speed
the head would hit the floor could be found from energy
conservation, ½mv 2 =mgh
or v =√(2gh )=√(2x9.8x1)=4.4
m/s. Now, you either need to know the distance the head
stops in or the time it takes to stop. There is not much
give in either the head or the floor, so let's just guess
that the distance it takes to stop is 3 mm. If you do the
kinematics, the acceleration of something moving 4.4 m/s and
stopping in 3 mm is about 3000 m/s2 , about 300
gs! If you take the mass of the head to be about 4.5 kg, the
force is about F=ma =13,500 N=3000 lb. The time over
which this force acts is very short, about 4.4/3000=0.0015
s.
To be fancier, you
would have to do the rotational problem. The student plus
the chair have a certain moment of inertia I and
when they rotate about the rear chair legs they acquire a
rotational velocity ω when the center of mass
has fallen a distance h . In that case ½Iω 2 =mgh
and so ω =√(2mgh /I );
now you can get the speed the head hits the ground by
writing v=Lω where L is the distance
of the head from the rear legs of the chair. But to
calculate the moment of inertia of the student/chair would
be very complicated and, in the end, the speed of the head
would not be all that different from the simple calculation
above. And you still have to make approximations over how
far it would travel to stop. Just use the simple head
dropping calculation to convince the students that the order
of magnitude of the force would be a few thousand pounds.
QUESTION:
A swing is suspended by nylon ropes and connected to a limb that is 30 feet in the air. The problem is that the kids cannot build any momentum in order to swing. They pull and kick their legs but the swing will not swing. Is there a way to fix this swing?
ANSWER:
30 ft is a very long pendulum. The period T of a
pendulum (the time it takes for one swing back to where it
started) is approximately T ≈2π √(L /g )
where L is the length and g =32 ft/s2
is the acceleration due to gravity. In your case, L =30
ft, T ≈6 s. Now, if you watch a kid swing a much
shorter swing, you will see that they "pump" once per cycle;
this is called a driven oscillator and, driving with the
same frequency as the natural frequency of the swing is
called resonance and each pump will increase the amplitude.
No doubt the kids, being used to a much shorter swing, are
pumping with a period much shorter than 6 s, far off
resonance, therefore not having the effect of increasing the
amplitude. I suggest that you start them with a good push
and tell them to pump each time they reach the bottom of the
arc and moving forward.
QUESTION:
When a man going from pointA to pointB which is at 1km and return via same path according to physics the work done is nothing but man still feel tired why?
ANSWER:
First, what force moves the man along the path? It is the frictional
force between the ground and his feet. Since friction is not
a conservative force, the work done over a closed path is
not zero. But walking is more complicated than that ,
way too complicated to discuss here. But, it is pretty easy
to understand why we get tired—any time the muscles
exert a force they are doing work whether or not they are
actually moving something (see
earlier
answers ).
QUESTION:
With respect to special relativity, is it correct (or not) to say that time dilation and length contraction are "real" because Nature has them in place to protect the upper speed limit "c"? Is there a better way to say this?
ANSWER:
First of all, what does it mean for something to be "real"?
I would argue that, for example, length contraction is real
because experimental measurements confirm its reality.
Second, I find anthropomorphizing "Nature" to be fatuous;
"Nature" does not "place" or "protect". Finally, you have it
exactly backwards: time dilation and length contraction are
the result of the fact that the speed of light is a
universal constant, not vice versa . I would also
point out that these would also be true if the speed of
light were different from what it is; as illustrated by
George Gamow's book
Mr.
Thompkins in Wonderland , they would be much more
evident if the speed of light were very small.
QUESTION:
I am working on a science fiction book and have a bombardment of a planet happening. I would like to get an idea of the force of impact of 2 kinetic kill vehicles
1 is a 10 pound Depleted Uranium ball.
2 is a 100 pound Depleted Uranium dart.
They are traveling at 1/10th light speed.
They impact an Earth like planet.
I only need a ballpark value. If either or both are some how destroyed interacting with the atmosphere or cause some other effect, that would be good to know too.
ANSWER:
I am not sure what the material being depleted uranium has
to do with anything. Also, "force of impact" cannot be
calculated unless you know the details of the collision, in
particular how long the collision lasted. You could estimate
the kinetic energy classically for your projectiles because
the speed is much less than the speed of light. 1 lb is
about 4.5 kg, so K ≈½mv 2 =½x4.5x(3x107 )2 =2x1015
J=2000 TJ (terajoules); the Hiroshima bomb had an energy of
about 63 TJ. If the collision lasted 10 s, this would
correspond to a power of 200 TW (terawatts). To give you a
feeling for the magnitude of this power, the total output of
all power sources on earth is about 15 TW. The 100 lb
projectiles would have 10 times the energy and power as the
10 lb projectiles. So those things would have quite a punch.
Here is the problem that most sci-fi writers never think
about, though. Whoever is firing these projectiles has to
give them this energy—where are you going to get 200
TW in the middle of empty space?
Now, the second part of your question. These things
have a speed (3x104 km/s) which is much faster
than the fastest meteor (72 km/s) and you know what happens
to them —they burn up and break up. The recent
(2013)
Chelyabinsk meteor
exploded at an altitude of about 20 mi and most of its
energy (about 1500 TJ) was absorbed by the atmosphere. It
had a much smaller speed than your projectiles (about 20
km/s compared to about 30,000 km/s) but a much larger mass
(about 107 kg compared to 4.5 kg), so the
energies were quite comparable (1500 TJ compared to 2000
TJ). So I would guess that your projectiles would not do
much damage to the objects on the surface of the planet.
QUESTION:
i'm traveling at the speed of sound and a gunshot is fired at the exact moment I am passing the gun, what is the resulting sound that I hear and for how long?
ANSWER:
The figure shows the plane at three times:
just after the gun has been shot;
at the time when the sound reaches
where the plane had been at time 1;
at a time twice as long as 2.
Also shown are the corresponding spherical wave fronts of
the sound from the shot. As you can see, the wave fronts
never catch up with the plane. You will never hear the gun.
QUESTION:
I am a nurse at a long term care facility. My back hurts every time I get finished pushing a medication cart for the 8 hour shift. My question is...If the medication cart weighs 220 pounds when assembled, how much weight am I pushing given the fact it is on wheels?
ANSWER:
You may assume that the wheels almost remove the frictional force of moving forward; in other words, it takes very little force to keep it moving once it is up to speed. The times you need to exert a significant force on the cart would be when it speeds up or slows down. The more quickly you bring it up to speed or bring it to rest, the larger force you need to exert. So plan ahead and speed it up or slow it down gradually. Here is an example: if you sped the cart up to a speed of about 6 ft/s in 1 s, you would need to exert a force of about 40 lb, whereas if you took 2 s, the needed force would be about 20 lb.
Also, when you turn a corner, go slowly since it takes a
force to turn the cart also and the faster you take the
corner, the greater the required force.
QUESTION:
I have a small (15' diameter) swimming pool.
I have a round leaf netk, about 17' in diameter, which I suspend over the pool as follows:
I took 5 10' lenghts of 1" PVC electrical conduit, and joined them end-end to form a hoop/circle ca. 16' in diameter.
The round leaf net has a drawstring, so I placed the 17' diameter leaf net on the ground, then placed the 16' diameter on top of the net.
Then I folded the excess leaf net up above the conduit hoop and tightned the drawstring.
So far so good -- net below hoop, edges wrap around hoop, drawstring holds the net on the hoop.
I suspend this hoop-supported net from a single point in the middle of the circle formed by the hoop/net.
From this central point, I have 10 "spokes" of cord (parachute cord) going to 10 points along the hoop.
The pieces of cord forming these "spokes" were measured carefully to all be the same length.
Here's my question: When I suspend this hoop/net from this central point and the 10 lengths of cord (spokes), the hoop/net does not want to stay in a plane.
Instead, 2 opposite sides (e.g. at 12 and 6 on a clock face) lift
up, and the other opposite sides (e.g. at 3 and 9 in the clock face) drop down.
I know in German, when a bycicle wheel gets stressed too much and deforms, this is referred to as an "eight" -- I suppose because from the edge it may resemble an eight.
I suspect there is something similar going on with my hoop/net, but don't really understand enough to know for sure.
As a followup question, I would be grateful for any thoughts as to how I might get this hoop/net to remain in a plane. Many people suggest just tightening up (shortening) some of the "spokes" but I have tried this and it does not help.
ANSWER:
The surface defined by your deformed loop is called a saddle
point. Because the pvc is pretty flexible (you were able to
easily bend it into a hoop), unless the weight is
distributed very symmetrically, it is quite possible for
this kind of warping to take place. To minimize this uneven
distribution of weight, your spokes should be connected to
the points where you have used straight through connectors
to connect the pvc pipes and the points opposite as shown in
blue in my drawing. But I suspect that there will still be
an asymmetric distribution of mass and the circle will
deform again. If so, then you will need to add crossbars as
shown in red; this should keep the hoop pretty resistant to
deformation. You will probably only need 3 spokes now and if
it does not hang so the plane of the hoop is horizontal, you
can just adjust the lengths. It would also be good to have a
cord coming straight up from the center, maybe another piece
of pvc to which the spokes could be attached or just another
cord. You could get some idea of the balance by just hanging
it from the center.
QUESTION:
Even though radio waves can't raise electrons to higher energy levels due to their extremely low energies do they still interact with orbiting electrons in some way? Just curious, how exactly do radio waves and microwaves interact with orbiting electrons within atoms when their energies are far too low to excite electrons to higher energy levels?
ANSWER:
You know that a radio wave will not travel unaffected
through a large mountain, so something is interacting with
it. The electromagnetic wave is electric and magnetic
fields, and electric and magnetic fields interact with
electric charges. The wave sees mainly electrons. In a
conductor, the conduction electrons are essentially
free-floating and respond to the fields approximately like a
free electron would. In a nonconductor, there is still an
interaction with the crystal as a whole, but again via the
atomic electrons. These interactions result in the
properties of refraction and attenuation of the incident
wave. The details of how you model these interactions are
beyond the purposes of this site.
QUESTION:
I was fishing and the water was rough. Waves crashing all over. Then I look over and see a perfect about 20M circle of calm water while the whole lake is thrashing about. It lasted for about 5mins. The water was about 20feet deep and there was not large rock anything different where the circle appeared. The calm circle did not appear to be like a vortex or whatever of water. It was calm and not rotating. Can you explain the physics behind this or at least give me a guess of what you think caused this. (It almost looked like an object that was not visible to the naked eye caused it but I know thats not true)
ANSWER:
I was just about to reply that I have no idea but just
googled calm water in a storm. It turns out that
there is an old sailor's trick to calm water in choppy
conditions: just pour a little oil on the surface. There
seems also to be
physics understanding of this phenomenon. For a good
overview, see the discussion on
Physics Stack Exchange . Perhaps there was some oil
in your calm area.
QUESTION:
If a bullet of mass m moving at v strikes a stationary rod of mass
M at its center and passes through exiting with u , there is simple conservation of momentum if the rod is free to move/slide:
m (v-u )=MU . What happens if the bullet strikes and passes through the rod at its end (same
v and u ), causing the rod to move forward while at the same time start to spin?
ANSWER:
Your question is essentially the same as an
earlier question except that in
that question the collision was stipulated to be elastic. In
your case, there is no conservation of energy equation and
so there are only two equations —conservation of
linear momentum and angular momentum. But, there are only
two unknowns, U and ω , because you
stipulate u to be known. (Also, d=L /2 for
your question.)
ADDED THOUGHTS:
I thought it might be interesting to look at the energy
change for these collisions. It is straightforward algebra
to show that U=m (v-u )/M and ω= 6U /L .
The energy before the collision is E 1 =½mv 2 .
Referring to the earlier answer, the energy after the
collision is ½mu 2 +½MU 2 +½I ω 2 .
For the simple case of hitting the center (ω= 0)
I find E 2 =½m (u 2 +(m /M )(v-u )2 ),
and for the case of hitting the end I find E 2 ' =½m (u 2 +4(m /M )(v-u )2 ) .
Since E 2 ' >E 2 ,
less energy will be lost in the case where the collision
happens off center (assuming u and v are
the same in each case). For example, if m=M /4 and
u =½v , I find ΔE =-(11/ 32)mv 2
and ΔE' =-¼mv 2 . In
both cases, energy is lost in the collision.
QUESTION:
If the farther out in space we look, we are looking back through time how is it we do not see ourselves?
ANSWER:
You are looking at how things which are far away looked when they
were at an earlier time. But none of those things are at the
position where you were in the past so you would not see
yourself.
QUESTION:
How could I measure the viscosity of pizza sauce (and other materials)
using "at home" equipment? I want to determine the viscosity of a sauce,
then take the pizza sauce and place it on a turntable whose speed can be
controlled and see what speed is required to make the sauce flow from the
center to the edge.
Then, I want to alter the sauce and make it more and/or less watery
(changing its viscosity) and measure that new sauces viscosity.
Then, I'll
take the new sauce and re-measure the turntable speed necessary to make the
new sauce flow from the center to the edge.
Last, I want to replicate the tests enough times so I can create an equation
that would allow me know what turntable speed would be necessary to
correctly flow the sauce based upon the viscosity of the substance.
ANSWER:
Why not just experiment with sauces until you find the right thickness to
achieve what you want? Measuring the viscosity (not an easy task) is just an
unnecessary step in the process.
FOLLOWUP QUESTION:
The reason is that I want to be able to alter the sauce, test the viscosity, then know how much to alter the speed of the rotating table consistently.
Knowing, for example, a 1% increase in viscosity requires a 5% increase in rotation speed allows me to continuously alter the sauces and know with certainty the speed the table must rotate.
ANSWER:
This must be a science fair project or something because it
will certainly not be of any help in making pizzas in the
real world. In a pizza you want to spread the sauce
uniformly over the whole area, right? What causes the sauce
to move out on the rotating turntable? There is a
(fictitious) force F , the centrifugal force, which
pushes the sauce out, F=mv 2 /R
for a mass m with speed v when at a
distance R from the center. But, the speed depends
on the distance from the center, v=R ω
where ω is the angular velocity; so F=mRω 2
and an ounce of sauce experiences a bigger force as it
moves out. In other words the sauce will tend to all be
pushed out the the rim of the pizza regardless of its
viscosity. If the viscosity of the sauce too large, the
centrifugal force might be too small to move the sauce at
all, so there would be the tendency for the sauce to stay in
the center. In any case, I cannot imagine that it is
possible to use rotation to get a uniform spread of sauce.
If you still want to
pursue this, I found the description of a straightforward
experiment to measure viscosity μ . You get a
tall cylindrical container and fill to a depth d
with the fluid (density ρ f ). Drop a
sphere (density ρ s radius R )
into the fluid and measure the time t it takes to
reach the bottom; then the velocity of the falling sphere
was v=d /t . The viscosity is then μ= (4R 2 g (
ρ s -ρ f ))/(9v ).
It will be a little tricky since the sauce is not
transparent. Also, it is important that the sauce be
homogeneous, no chuncks in it.
QUESTION:
Lately I've been dealing with the Work, Force and Energy thing. I can't deny the fact that understanding some of the equations included in most of the textbooks has been one hell of a challenge to me. I'm currently trying the understand something here: we know that the work done (W) is equal to the change of kinetic energy. Is it also the same when it comes to potential energy? Does it amount to the done work as well? I never see the work of the gravity force included in the equations. I think I know the answer but I just want to make sure. There's something more bugging though--when we write the conservation of energy equations for a certain setting, do we include the work there or is it already included? For example, if there's a body on the top of an inclined plane and we take friction into account, should the equation be "potential energy at the top + kinetic energy at the top = potential energy at the bottom (==0) + kinetic energy at the bottom + the work done by the friction"? Getting an answer would mean a lot to me as an engineer-to-be. :)
ANSWER:
This question verges on a violation of a "concise,
well-focused" question as required by site groundrules. I
will do a couple of examples to try to clarify work-energy
for you. The "guiding principle" which is always true is
that the the total work W total done by
all forces on an object of mass m is equal to
the change in kinetic energy, ΔK =½mv 2 2 -½mv 1 2 .
The picture is a mass m on an incline θ
being pushed by a constant force F up the incline
and moving a distance s ; for simplicity, I choose
m
to be at rest when you start pushing. Other forces on m
are its own weight W=mg , vertically down, and a
possible frictional force f pointing down the
plane. For the time being I will assume f =0. Only
the component of W along the plane Ws =-mg sinθ
will do work. The net work w (sorry if it is confusing to
have big W and little w ) is w=Fs-Ws s=Fs-mgs sinθ= ΔK= ½mv2
and so v =√[2s (F -mg sinθ )/m ].
Rather than derive the
gravitational potential energy, U=mgy , I will
assume that you already know that. I will now do the problem
over but using potential energy. w=Fs=E 2 -E 1 =(K 2 -K 1 )+(U 2 -U 1 )=½mv2 +mgh= ½mv2 +mgs sinθ=Fs.
Solving this, you find exactly the same answer: v =√[2s (F -mg sinθ )/m ].
So here is how I look at it: potential energy is a very
clever bookkeeping device to keep track of the work done by
a force which is always present like gravity. It just makes
life a lot easier to not always have to calculate the work
done by some force that you know is always there. So, here
is the so-called work-energy theorem: the change in total
energy, kinetic energy plus any potential energy you have
included, is equal to the work done by all external
forces, E 2 -E 1 =W ext ;
here an external force is any force for which you have not
introduced a potential energy function. I like to rearrange
the work-energy theorem as E 2 =E 1 +W ext —what
you end up is what you started with plus what you added (or
subtracted if W ext <0).
Finally, let's include the frictional force, f=μWN =μmg cosθ.
(μ
is the coefficient of kinetic friction.) The work which the friction does is negative because it
is opposite the direction of s , w f =-μmgs cosθ.
Therefore, W ext =Fs -μmgs cosθ=½mv2 +mgs sinθ ;
solving, v =√[2s (F -mg (sinθ+μ cosθ ))/m ].
You might wonder why we did not introduce a potential energy
function for f . The reason is that there are two kinds of
forces in nature, conservative forces and nonconservative
forces and the latter kind cannot have a meaningful
potential energy function; friction is a nonconservative
force. But this answer has rambled on long enough and that
is a topic for another day!
ADDED NOTE:
I see that I did not answer your question ("…if
there's a body on the top of an inclined plane and we take
friction into account, should the equation be "potential
energy at the top + kinetic energy at the top = potential
energy at the bottom (==0) + kinetic energy at the bottom +
the work done by the friction"?" ) explicitly.
You have it wrong. It should be that the total energy at the
bottom equals the total energy at the top plus the work done
by friction; don't forget that, as in my example going up
the plane, the work done by the friction is negative. Some
books like to write it your way replacing the friction part
by the work done against
the friction ; I actually do not like that one bit.
QUESTION:
Why does dust move behind fast moving cars?
ANSWER:
Because there is a pocket of turbulent air
behind the car which moves with
the vehicle.
QUESTION:
If you were on the moon and used an electric motor - would the armature spark as it does here in an atmosphere like ours?
ANSWER:
It is not possible for a visible spark to form in a vacuum,
so the answer is no.
QUESTION:
As a physicist do you think it's theoretically possible for energetic photons of x-rays and gamma rays (keV-MeV) to be converted to visible light photons (1.77-3.1 eV) with the compton scattering effect despite the HUGE energy difference?
ANSWER:
It is pretty easy to figure this out. The change in
wavelength in compton scattering is λ'-λ =(h /mc )(1-cosθ )
where h is Planck's constant, m is the
mass of an electron, c is the speed of light, and
θ is the angle of the scattered photon; (h /mc )=2.4x10-12
m=2.4x10-3 nm and is called the Compton
wavelength of the electron. The largest shift is for the
largest angle, θ =1800 where cos1800 =-1
so the largest possible shift is (Δλ )max =4.8x10-3
nm. Visible light has wavelengths around 1000 nm, soft
x-rays (the closest to visible light) around 1 nm: so that
would require (Δλ )max ≈1000
nm>>4.8x10-3 nm. So the answer to your question
is no.
QUESTION:
You can't pressurize a liquid, correct? So why is it when you turn your hose off at the faucet bib, the water still is under pressure when you squeeze the sprayer trigger? It still shoots our with force.
ANSWER:
Certainly you can pressurize a liquid. Most liquids are almost imcompressible, so increasing pressure does not significantly decrease volume.
FOLLOWUP QUESTION:
BUT, the pressure is from a giant water tank, correct. So , when you shut off the faucet, you've isolated the water tank. Therefore, the pressure should be gone.
ANSWER:
Why do you think that isolating the water makes the pressure
go away? The water deep in your giant tank has to support
the weight of all the water above it, so the pressure gets
bigger as you go deeper. And the pressure at the top is not
zero because atmospheric pressure is pushing down on the
surface. I suggest you put on a bathing suit and swim down
to the bottom of the tank and then decide whether there is
pressure in the water down there.
QUESTION:
I am writing a novel and am trying to understand how my interstellar spacecraft will behave. It is going to Iota Persei. 34.38 ly away. I was thinking it would travel at .6c (somewhat arbitrary but...). If I accelerated the space craft at a consistant 9.8m/s, it would take ~212.44 days at a distance of ~.1744 ly. Presumably, it would take about the same time and distance to slow the craft as it approached Iota Persei, roughly speaking.
While I've no idea of my craft's mass, it would be large, like 40,000 people large, and be propelled by an anti-matter drive. Would the energy output of the antimatter drive need to increase due to the increased mass as speed increased? Is it feasible to suggest that an antimatter drive would be able to produce enough energy to accomplish the above scenario?
ANSWER:
I have answered variations on this question several times in the past.
The most useful for you to read and understand compares
acceleration of an object as measured from both a rest frame
and from the frame of the object; I recommend you read both
this and all the links in
that answer . [The derivations of
the equations below can be found in the earlier answers.]
From the perspective of your space ship the velocity v
as a function of time t is v =(a 0 t )/√[1+(a 0 t /c )2 ] where
a 0 is the acceleration as measured by the ship (g in your case). In order to achieve this acceleration, you must exert a force
F=ma 0 where m is the mass of the ship.
The velocity is plotted in red in the graph; reading from
the graph, the time when v /c =0.6 is when a 0 t /c ≈0.8=9.8t /3x108 . Solving, t =2.45x107 s=0.78
yr=284 days. The position as a function of t is x =(mc 2 /F )(√[1+(Ft /(mc ))2 ]-1)=(c 2 /g )(√[1+(gt /c )2 ]-1);
for gt /c =0.8, x =2.58x1015
m=0.273 ly. At this point you turn off your engines and
coast at v /c =0.6. The distance you need to
go to get halfway to the star is 16.9 ly and it will take
you 16.9/0.6=28.2 years. The second half of the journey will
take the same time, so the time for the whole trip is T =2(28.2+0.78)=58
years.
Your answers (212
days, 0.17 ly) are different from mine (284 days, 0.273 ly)
because you have assumed that the acceleration, viewed from
the earth, is the same as the acceleration (9.8 m/s2 ) seen from the ship. The
black curve in the graph shows the ratio of the acceleration
seen from the earth compared to the acceleration seen from
the ship; reading from the graph, at 0.6c the ratio
is about 0.5, 4.9 m/s2 . Be sure to read the
discussions of acceleration in the
earlier answers if you want to understand this issue
with acceleration in special relativity.
Since there is no such
thing as an antimatter drive engine, I can make only a rough
assessment of how feasible this is. The force you need to
apply during the 0.78 year accelerations is F=mg. What is m?
The space station has a mass of about 400,000 kg and you
have 40,000 passengers. Let's say each passenger needs one
space station of mass to support his/her needs, so the
required force would be 1.6x109 x9.8=1.57x1010
N. The energy you have to supply to the ship to v /c =0.6
I figure to be about 36x1024 J and the amount of
mass converted with 100% efficiency into energy would be
about 4x108 kg and you would need that much again
to stop it. So your ship of mass 1.6x109 kg would
have to carry 8x108 kg of fuel, one third of the total
weight! Obviously, I have not included this mass change in
my estimates of time. And, of course, there is the issue of
how you are going to store 4x108 kg of
antimatter. The whole scenario certainly does not look
feasible to me!
Finally, note that all
the distances and times are as measured by the earth bound
observer. In other words, the passengers will not be 58
years older when they arrive at their destination. Because
of length contraction, they will have a shorter distance to
travel. Ignoring the accelerating periods, I can estimate
the time of the trip by just assuming they travel 0.6c the
whole trip. In that case, T' ≈T √(1-.62 )=58x0.8=46.4
yr.
QUESTION:
If energy cannot be destroyed or made, only transferred from one form to another, how does the level of matter and energy in the universe stay at a constant, if black holes can consume both matter and radiation in huge quantities?
ANSWER:
If a black hole consumes an amount of energy E , its mass
increases by E /c 2 . If it consumes an amount
of mass M , its mass increases by M .
QUESTION:
I have 1,000 kilowatt hours of energy. Could you help me understand how much weight I would need to lift an object up 100 feet in the air to use that 1,000 kWh of energy up completely?
This is not homework. I have tried researching online, but every answer I have seen ends up being different than the last. Trying to understand for a meeting I have with some friends at work.
ANSWER:
I will work in SI units because a Watt is a Joule/second (and because
scientists prefer SI units): 100 ft=30.5 m. The energy to lift a mass
M to a height h =30.5 m is E=Mgh =299M
where g =9.8 m/s2 is the acceleration due to gravity;
the answer will have units of Joules if M is in kg. Now the
energy available is 103 kW ⋅hr(3600 s/hr)(1000 W/1
kW)=3.6x109 J. So, 299M =3.6x109 so M =1.204x107
kg=2.65x107 lb.
QUESTION:
If a fly is in a car that is travelling, say, 50 mph... and the fly is not resting in the car (i.e. he is flying, not attached to any surface), does that mean he has to fly at 50 mph as well? Or would he be pressed to the back window of the car?
ANSWER:
The fly flies relative to the air in the car. But the air in the car is
at rest relative to the car. Therefore the fly flies exactly the same as
she would if the car were at rest.
QUESTION:
How is this possible. My brother while playing baseball hit the ball in such a way that when it broke the glass window in the living room it left a perfect circle. What are the chances of that happening?
ANSWER:
Glass is manufactured at very high temperatures. So, when it cools, if
it does not cool uniformly local areas of stress can be set up in the
glass. Mainly for this reason, the way glass will break is
unpredictable. You say a "perfect circle" so I assume that there were no
cracks coming off the hole and that it looked more like the picture
above of the measuring cup than the picture of a "less than perfect"
hole. In any case, it is possible but highly improbable that the ball
would take out such a localized hole.
QUESTION:
If an asteroid was in space but not moving, and you were within reach of it, and you pushed on the asteroid to get to the spaceship, would you lose force because the asteroid isn't moving and you were acting upon the asteroid? (The asteroid wasn't pushing against you) Wouldn't the asteroid go faster than you?
ANSWER:
You have misunderstood this problem on many levels. First, there is
really no such thing as moving or not moving in an absolute sense. If
you are on some other asteroid and see this one moving with a speed of
500 mph it is not at rest; but if you get in a space ship and go 500 mph
to just keep up with the asteroid, it is at rest. If you are in a frame
where the asteroid is at rest, its lack of motion has nothing to do with
how it would react to a force you might exert on it. And, Newton's third
law says that if you exert a force on the asteroid, it always
exerts an equal and opposite force on you. And, whether you or the
asteroid goes faster after the push depends only on your relative
masses. An asteroid is most likely much more massive than you and
therefore you will be moving faster after the push. For example, if the
asteroid is 1000 times more massive than yours, its speed after the push
will be 1000 times smaller than yours.
QUESTION:
What will be the work done by a person who is moving forward and carrying the bucket in his hand?
ANSWER:
The person does zero work on the bucket
assuming that the bucket moves horizontally with constant speed.
However, the person does do work; see an
earlier answer.
QUESTION:
If you could please explain the experiments that supposedly confirmed quantum entanglement and
"spooky action at a distance" I would appreciate it.
The experiments I read about all involved a pair of entangled particles, that are then moved
"far apart". Since they are entangled, one has an "up" spin and the other a
"down" spin. However, we don't know which is which until they are separated and one is observed.
The it is found that by observing one particle to have, let's say, the "up" spin, miraculously the other particle
"far away"has the down spin, with the information between them being transmitted instantaneously even though they are far apart.
What I don't get is, how is this different than having two cards; and ace and a king. Both face down. You don't
know which is which until you observe them. You place them
"far apart". Then you flip one over, and see it is the ace. Instantaneously, the other card becomes the king.
This does not seem like "spooky action at a distance". You observed one of two possible particle states, and therefore, the other particle must have the other state. Obviously, I am missing something, but can never find the explanation.
ANSWER:
If entanglement were as you currently understand it, one up and one
down, this would not be entanglement at all and there would be nothing
mysterious about the second one being, instantaneously, the opposite of
the first once you had revealed it. But that is not how it works because
quantum mechanics, which is the operative physics in the realm of
particles, describes the state of a particle. Let us first start by
looking at a single particle which has two possible states which I will
denote as |+> for up and |-> for down. A particle does not have to be
one or the other, it can be a mixture of the two, for example 25% |+>
and 75% |->; as long as the two percentages add up to 100%, this is a
possible state. Now, when you observe the particle by measuring whether
it is up or down, you will find it in one or the other (three times more
likely to find it in |->) and now the measurement has put it into a
state which is purely up or down; this is called "collapsing the wave
function". In a typical entanglement experiment the two particles are
initially in a state 50% |+> and 50% |->, half up and half down and
therefore the total spin of the two must be zero. When you observe one
to be up, the other is instantaneously observed to be down no matter how
far apart the two are at the time of observation —that is
the spookiness! The trick is to devise an experiment which clearly
demonstrates that this is what is happening, not what you described as
one being up and the other down from the beginning. It is pretty
technical and tricky to understand this, but Roger Pennrose in his book
The
Emperor's New Mind has a pretty good explanation.
QUESTION:
If I were to coil 500' of 1/2" OD rope in a single layer, how large
would the circle be?
ANSWER:
No homework.
FOLLOWUP QUESTION:
I am a 49 yo woman making a rug. Even my kids are too old for that kind of homework.
ANSWER:
If you lay the rope out straight, the total area will be 500x12x ½=3000
in2 . If you coil it up, the area will be the same and the
area of a circle is πR 2 . Therefore the radius of
your rug would be R =√(3000/π )=30.9 in.
QUESTION:
Frankly I wasn't sure if this was a crank question or deeply profound, I'll let you be the judge.
I've been an electronics hobbyist all my 50 years, and I've used resistors, capacitors, and less often inductors. I started to wonder how many different types of passive electronic components were possible. Were there more than just these? I searched for and found something called a memristor which apparently IS a brand new kind of component that behaves differently than any of those. Wikipedia has a
diagram .
I'm curious, there are components on all the outside edges, what about the diagonals, what do these represent? They have different equations so they MUST behave differently, what ARE these components?
ANSWER:
As in many situations where you are trying to count something, it becomes problematic how to define what you are counting. What about diodes? Are Zener diodes different from diodes in your count? You should really think of this kind of question as qualitative and not quantitative; the answer is not of any importance.
Your questions about the device itself would be better directed to an
electrical engineer. The diagram you refer to is not a circuit, it is
merely a representation of how these four devices relate to each other
and to the quantities voltage, current, charge, and flux. The outer
edges show how devices manipulate the quantities, e.g . changing
the current through a resistor changes the voltage across it (dv=R di ).
The diagonal lines indicate relations between the corner quantities,
e.g . current is the motion of charges (dq=i dt ).
QUESTION:
What happens to the atmosphere inside a cupping vessel when a flame is introduced and causes a partial vacuum (negative pressure) - which allows the therapeutic vessel to adhere to the skin surface? What are the physics that explain this happening?
ANSWER:
Cupping vessels have been in use for thousands of years. Ancient Greek
and Roman physicians used them to assist in
blood letting.
Chinese medicine uses them to
treat a
variety of maladies; cupping therapy is generally considered
pseudoscience by modern medicine. The idea is to provide suction on the
surface of the skin and is achieved by first heating the cup and air
inside and then placing it on the skin. As the air inside cools, the
pressure decreases. The physics of this pressure decrease can be
understood by examining the ideal gas equation which relates pressure
P , temperature T , volume V , and amount of gas
N : PV=NRT where R is a constant which depends
on the units you use. So, as you can see, keeping the volume and amount
of gas constant, if the temperature decreases the pressure must
decrease. The fact that P ∝T is sometimes
called
Gay-Lussac's law .
A similar thing happens when canning food in glass jars. The
canning is done with the contents very hot and a lid which
is slightly domed is affixed. As the contents cool, the
pressure decreases causing the dome to pop inward toward the
contents, signaling that a good seal has been achieved.
QUESTION:
I am a hot air balloon pilot.
I am trying to develop a mathematical formula, for calculating where my Scoring baggy will land, when I participate in a Ballooning event.
I am given a location in a Pilots briefing, as to where the Scoring X's are located. I attempt to fly to that particular location, drop my Scoring Baggy on the X, and earn points depending on how close I am to the center of the X.
(Each Leg of the X is approximately 100' to 300' long, depending on the Ballooning event.)
The Scoring Baggy (6 ounces) has a constant weight.
My Balloon's Speed, as I approach the Target, is a variable. the Scoring Baggy will share that speed once I release it, Correct ?
And, the height I
release the Scoring Baggy from, at the time I release it, is also a variable, correct ?
My question is, is there a Mathematical formula that will calculate, how many feet from where I release the Scoring Baggy, it will land ? And how long it will take ?
ANSWER:
This is not a simple question. Although it would be simple if air drag were neglected, I suspect that it is not negligible for the bag weighing only 6 oz. I will do the calculation without air drag here.
I will not include the details, just the final results. The time t
in seconds it takes for the bag to hit the ground is t = √(2h /g )=¼√h
where h is the height in feet from which you drop it and
g =32 ft/s2 is the acceleration due to gravity. For
example if you drop it from h =144 ft, t =3 s. The
distance x in feet it will travel horizontally in this time is
x=vt where vx is the horizontal speed of the balloon in ft/s when
you drop it; so if vx = 20 ft/s (about 13.6 mph) and you drop it
from 144 ft, x =60 ft. The equation for x can be written
as x =¼vx √h which is handy if you
do not care about the time.
Note that the weight of the bag does not come into this at
all.
Warning:
this is pretty mathematical and probably not a computation
you would want to do in the heat of a competition! For my
own interest, I want to estimate how much error is
introduced by neglecting air drag. It is much more
complicated if you include air drag. For this case, I need
to do the calculation in SI units rather than English units.
The reason I need to use SI units is that I will estimate
the air drag force as F d ≈¼(vy 2 /A )
where vy is the vertical velocity of the
bag and A is the area it presents to the onrushing
air; this estimate is correct only for SI units because it
has things like the density of the air at sea level built
into it. Now, it is my understanding that the speed of a hot
air balloon moving horizontally is the same as the speed of
the wind; in other words, from the perspective of a person
riding in the balloon, he is in perfectly still air. This
greatly simplifies the problem because the bag will drop
straight down as seen from the balloon, i.e. it
should strike the ground directly below the balloon. So, the
bag sees two forces, its own weight mg down and air
drag up; Newton's second law becomes may =m (dvy /dt )=-mg +¼(vy 2 /A ).
This is a first-order differential equation has a solution
vy =-[√(g /c )]tanh([√(gc )]t )
where c=A /(4m ). This solution is also a
differential equation since vy =dy /dt
where y is the distance above the ground; solving
this differential equation, y =h -(1/c )ln(cosh([√(gc )]t ).
A graph of this function compared to the case above for
dropping from 144 ft (note that 144 ft=44 m) is shown. (I
approximated the area of the bag to be 0.01 m2 ≈16
in2 =4x4 inches.) The time for the bag to hit the
ground is now 3.33 s rather than 3 s, approximately 10%
longer meaning that you should drop it when you are 66 ft
from the target rather than 60 ft. If you are lower the
correction is smaller, if you are higher the correction is
larger. Given the circumstances under which you must act, I
would expect the inclusion of air drag to be unnecessary
unless you are at a very high altitude and that you should
just drop it when you are about x =¼vx √h
from the target.
ADDED COMMENT:
It occurs to me that I have assumed that the wind speed and
direction are the same at all altitudes. This will not be
true in the real world and I am told that taking advantage
of this is how hot air balloons can get some control over
direction of travel. Obviously, trying to do a calculation
including this would be impossible other than for a
particular set of wind velocities as a function of altitude.
QUESTION:
The ideal gas law says that pv=nrt. If I have a balloon filled with an
inert gas and put heat into the balloon while holding the volume constant
the pressure will increase on the left side of the equation and the
temperature will increase on the right side of the equation. If I remove the
heat source and allow the balloon to expand the volume will increase and due
to the gas laws the pressure will decrease by the inverse of the volume
keeping the value for pv constant. However, on the right side of the
equation with a constant number of molecules the temperature will decrease.
How can pv remain equal to nrt with the temperature decreasing and pv
remaining a constant value?
ANSWER:
What makes you think that PV will remain constant? This is
called an adiabatic expansion, a process where no heat enters or leaves
the system. What remains constant is PV γ
where γ is a constant which depends on the gas. For
example, for a monotonic gas γ= 5/3 and for a diatomic gas
γ= 7/5. Once you know what the new P and V
are you can get the new T : T=PV /NR .
QUESTION:
Work done by ship's engine = KE of ship + Work done to overcome frictional forces. Work done by ship's engine - work done to overcome frictional forces = KE of ship Eventually when the ship travels at constant speed, and all work done by engine is used to overcome frictional forces, then mathematically,
Work done by engine - work done to overcome frictional forces = 0
But KE of the ship is not zero.
So where is the source of the ship's KE coming from?
ANSWER:
While the ship is accelerating, the engine is both overcoming drag and accelerating the ship. The drag is dependent on the speed, gets larger as the speed gets larger. Eventually, the drag will become equal
to the force the engine applies so the net force will be zero so the ship will move at constant speed. But I do not understand your question since the work done by engine was clearly adding kinetic energy to the ship during the acceleration time. Your error was to assume that the work to overcome friction was always the same which is clearly not the case.
QUESTION:
If the Sun is comprised of largely unignited fuel, and enough so that it can last for billions of years, how can it appear to be a fiery ball that is entirely aflame, even to the core? Why is the Sun not a hot, dark, ball?
ANSWER:
It is a basic physics fact that the amount of radiation from an object
with temperature T is proportional to T 4 ;
also, the wavelength λ of the most intense radiation is
inversely proportional to T . So, it is not possible for an
object to be both hot and dark.
QUESTION:
I just wanted to know if a ball that is thrown downward would have an acceleration of 9.8m/s2 or it would depend upon how much force the ball is thrown with.
Is the acceleration of a stone thrown upward the same as that of a stone
thrown downward?
ANSWER:
The acceleration of any object depends, according to Newton's second
law, only on the sum of all forces acting on it. Ignoring air drag, an
object going either upward or downward has only one force on it, its own
weight, so its acceleration is g =9.8 m/s2 downward;
this results in the object speeding up if moving downward and slowing
down if moving upward but both have the same downward acceleration of
magnitude g . During the time you are throwing it down (up)
there is a larger (smaller) acceleration because of the force your hand
is applying, but that disappears the instant the object leaves your
hand. If you take air drag into account, there is an additional force
which always points in the direction opposite the velocity.
QUESTION:
Is inertia a form of energy? If not then why does the blades of a fan move even after the supply of energy is stopped because energy cannot be created nor be destroyed?
ANSWER:
When a fan is spinning at full speed, the only reason it needs power
from the motor is that friction is constantly taking energy away —friction
in the motor and bearings and air drag. With no friction, once you got
up to speed you could turn the motor off. In the real world when you
turn the motor off the fan slowly stops as friction takes its kinetic
energy away and turns it into heat; always a "balance" as you expect.
QUESTION:
If light was trapped in a dome of mirrors and the light source was cut off by another mirror and there were no holes to have the light leak out would the light go on forever.
ANSWER:
Not in the real world. There is no such thing as a perfect mirror. See
an earlier answer.
QUESTION:
I want to move water from lower man made pond to a higher man made pond.I was thinking about a submerged cement funnel. Funnel would be truck dock size . Straight walls of 8 to 10 foot,before steep angle sides,funneling down to about a 1foot dia. pipe.Pipe making a u-turn, not a true 180 , but sending water upward because of weight of the water in cement funnel.water should exit pipe at another man made pond at higher elevation.Higher pond would drain over a water wheel,to make electricity,back down to lower pond ,so as to have a closed water loop. Is this possible?
ANSWER:
I don't really get what your proposed set up is, but I do not have to.
The only way you will get water to the upper pond is to do work on it and
you are expecting it to flow of its own accord. You are, essentially,
attempting to get something (electricity) for nothing.
QUESTION:
I understand that adding energy to an object increases the motion of its molecules, and that the movement of molecules creates heat. But what I don't understand is WHY the movement of molecules creates heat. Why does an increase (or decrease) in molecular motion change temperature?
COMMENT:
First of all, you need to learn the vocabulary used in thermodynamics —see
the faq page . You will then see
that your question should have been written as:
I understand that adding energy to an object increases the
kinetic energy of its molecules, and that the
kinetic energy of molecules determines the
temperature . But what I don't understand is WHY the
kinetic energy of molecules determines temperature . Why does an increase (or decrease) in molecular
kinetic energy change temperature?
ANSWER:
The simplest answer is rather arcane: Absolute temperature
is defined to be proportional to the average
kinetic energy per molecule. In what sense, then, can we
understand why changing the average kinentic energy of the
molecules causes you to feel different. It is easiest to
talk about an ideal gas for which T =2<KE >/(3k )
where <KE > is the average kinetic energy per
molecule and k=1.38x10-23 J/K is Boltzmann's
constant. (Most everyday gases are pretty well described as
ideal gases.) Molecules are continually striking your body
and transferring momentum as they bounce off. This causes
the molecules in your skin to gain energy, i.e. get
hotter. Now, your skin is hotter than the interior part of
your body so heat starts flowing, causing the inside part of
your body to become hotter. Meanwhile, your body is doing
what it does to keep your body temperature at 96.80 F.
As the temperature of the air gets hotter, your body has
more and more trouble cancelling out the flow of heat from
the air and eventually fails and you get heat stroke or at
least start to feel sick.
QUESTION:
So while I was a little kid due to numerous headaches I had, I was scanned in an MRI machine. I was feeling a little anxious when the machine was put on and my mom came to me to ease my anxiety. She had her wallet with her and pretty much all her cards went dead. What exactly causes magnetism to destroy payment/membership cards?
ANSWER:
The
magnetic strip is just like magnetic recording tape. There is a layer of
very fine particles which are magnetizable. Data is written on the tape
by using an electromagnet called the recording head; when the magnet is
turned on the particles become magnetized. So the data is written in
stripes in a code, sort of like the UBS labels used to scan products at
the cash register. In a magnetic strip, the card moves by a tiny coil in
which a current is caused to flow when the magnetic stripe goes past it.
Since magnetic fields are used to create the magnetized particles,
magnetic fields can be used to destroy them. Even a relatively weak
field, if present for a long enough time, can mess up the data on a
magnetic strip. An MRI machine has a huge field and it would easily
demagnetize the strip.
QUESTION:
If you spun a mirror-smooth metal ball at just about the maximum possible
RPM... would the angles of light reflection change any due to the speed (as
opposed to from the distortion of shape from centrifugal forces)? If so, would it be a visible difference, or something you'd detect with a
precision instrument?
ANSWER:
There would be an observable effect but not due changes in direction of
reflected rays. Wavelengths of light reflected from parts of the sphere
moving toward (away) from the observer because of the rotation would be
shifted to shorter (longer) wavelengths; this is called a blue (red)
shift. This effect would be very small for speeds which would be
achievable.
QUESTION:
If a fishbowl (full of water and a fish) was propelled forward (any direction really) at 2g.
Would the fish feel the effects of the 2g acceleration in the water in the same way that a person feels this effect in air and therefore cause the fish to be pushed against the side of the bowl if it did not swim to remain in the centre of the body of water or would the fish be held in stasis in the body of water (Water neutralising the effect of the acceleration)?
ANSWER:
I have answered variations of this question before. You should read an
earlier answer to see the complications and how
you can understand your question. In that answer I addressed two
possibilities applicable to your fish —if the fish has a
density greater than that of water, it will move backward until it hits
the back side of the bowl and if it has a smaller density it will move
forward until it hits the front side of the bowl. But your question is
different because the fish has the same density as water.
Therefore it will remain in the center of the bowl if it started there.
But the fish is accelerating, so he has to feel a net force; the water
behind him will exert a force which is larger than the water in front of
him does. So, the effect of the acceleration is not "neutralised", he
feels it. It is analogous to your sitting in an accelerating car and the
back of the seat exerts a forward force on you even though you remain
seated in the seat.
QUESTION:
As I'm sure you know, LIGO has detected 3 black hole mergers in the last few months. This means that there have been and likely are a huge number of black holes in the universe. In parallel, the math says that 95% of the mass of the universe is not visible to us. Could it be that there are millions or billions of black holes floating around a few light-years from the nearest thing and that they would be virtually invisible - we could only detect them if they happened to line up with further distant light sources such that we might detect gravitational lensing. Could they account for the 95%? I know you don't do astrophysics but thought that the answer might be so simple that you might be happy to address it.
ANSWER:
Keep in mind that I have no real expertise in cosmology. Two things, I think, will shoot down your idea. The 95% number you quote is like 20% dark matter and 75% dark energy. The dark energy component cannot be thought of as
"mass-like" because it makes itself known in the accelerating expansion of the universe, so it would appear to be some kind of repulsive force. The dark matter which everyone is trying to observe cannot be in black holes because to cause the things it is thought to cause (like the anomalous rotation of spiral galaxies) it needs to be spread out over huge volumes of space which, of course, black holes are not. My take on dark matter (absolutely not mainstream) is that perhaps
dark matter is the luminiferous æther of the 21st century, i.e . it is not some invisible
"stuff" but rather its purported effects are indicative that we do not really understand gravity as well as we think we do. Certainly general relativity is an incomplete theory since no one has successfully quantized it. You may know, but dark energy, at least the evidence for it, has an interesting history. When Einstein formulated general relativity, the expansion of the universe was not known and the universe was thought to be static; but with just gravity this is not possible—it will expand forever or expand until it collapses, depending on the initial conditions. Einstein therefore empirically inserted something he called the cosmolgical constant. Later when Hubble discovered that the universe is expanding, Einstein removed the cosmological constant and dubbed it his
"biggest blunder"; now it is coming back into play, but still just empirically.
There are doubtless millions or billions of black holes as you speculate, because all stars greater than a few solar masses end up that way. It is known that nearly all galaxies have a supermassive black hole at their centers. I would guess these came from early-universe stars coalescing. And early-universe stars were huge, thousands of times more massive than the sun because only hydrogen was available to make early stars. Still, I have learned that the size of the universe is just about impossible to comprehend and at its relatively young age still, I would guess these remnants of earlier stars are still a pretty small fraction of the mass of the entire universe.
Now, we need to make an estimate of the average force the steel ball
exerts on the panel when it is stopping. The force is the linear
momentum mv of the ball divided by the time the collision
lasts; I will assume that any hard ball will stop in about the same
time, so what matters is the momentum. It is easy to show that the speed
of the steel ball when it hits is v =4.5 m/s so mv =4.5
kg·m/s; so we need to find the size of a hail stone with a
momentum of 4.5 kg·m/s. But, we know the speed and mass from
above, so 4.5=(4.2x103 R 3 )√ (4.1x104 R )=√ (7.2x1011 R 7 );
solving, R =0.031 m, m =0.13 kg, v t =36
m/s. So my best estimate would say that golf-ball sized hail would not
break your panel but hail larger than a golf ball by 50% or more would.
Keep in mind that all these calculations are estimates, not precise
calculations.
ANSWER:
Calculations of air drag are always an approximation. And the equations you are trying to use are certainly not going to be valid under such extreme situations—huge speed and tiny density. Furthermore, when these protons collide with the ship, they will very likely penetrate into the metal unlike the conditions for which equations like you are using are applicable where the gas molecules just bounce off the object. This will cause radiation damage to the ship's hull. Furthermore, at such high speeds interaction with photons will become important, in particular the cosmic microwave background, causing additional drag.
Your relativistic drag equation (which I do not where it came from)
cannot be dimensionally correct.)
QUESTION:
I am trying to figure out the actual force on a RV or Tinyhouse when traveling against a head wind. From what I recall it is not as simple as taking the vehicle speed plus head wind. For example, lets assume you are towing a tiny house at 60 mph against a head wind of 40 mph - one would think the total wind speed/force on the tiny house to be 100 mph.
However, I recall reading that the wind force increases as the speeds of both the trailer (tiny house in this case) and the head wind increase. E.g. 60 mph + 40 mph = 105 mph force but 60 mph + 50 mph head wind could have a force of 120+ mph, not 110.
I could not find info online for this. Is this true and if so is there a formula to work this out?
In the end I am trying to figure out if tiny houses should be built for hurricane force winds. If in fact, the above is correct and towing a tiny house in a head wind can be likened to a tiny house sustaining hurricane winds.
ANSWER:
Calculating air drag forces is an approximate exercise at best. For the
speeds you are talking about, the approximation that the force is
proportional to the square of the speed of the air is probably accurate
enough for your purposes, F ∝v 2 .
There is no such thing as "mph force". There is no difference, as far as
air drag is concerned, between having a ground speed (GS) of 60 mph and
a head wind (HW) of 40 mph; and being at rest with a HW of 100 mph; and
having a GS of 100 mph in still air. I think what you are getting at is
that the force does not increase linearly with air speed; so if the
speed increases from 100 mph to 110 mph (an increase by a factor of
1.1), the force increases by a factor of (110/100)2 =1.21.
That said, I can now give you a way to estimate the force (very
approximately) on the tiny house. Let A be the area which the
house presents to the wind; then F≈ ¼Av 2 ,
which only works for SI units (meters, kilograms, seconds). So, for
example, if v =100 mph=44.7 m/s and A =(4 m)2 =16
m2 , F ≈¼x44.72 x16≈8000
N≈1800 lb. This would correspond to a pressure of about 0.07 PSI.
(A complicating factor is the presence of the towing vehicle. To some
degree, the tiny house would be shielded from the oncoming wind by the
vehicle. I see no way to estimate this effect because it would be
dependent on the vehicle.)
QUESTION:
What is the weight of impact (kgs) when a 0.5kg handsaw falls 11 floors at a speed on impact of 57mph?
ANSWER:
There is no such thing as "weight of impact". If you mean what is the
force which the saw exerts on whatever it lands on, you need to know the
time it takes it to stop, t . In that case, the average force
F during that time, it is
given by F =mv /t . We
need to convert mph to m/s, 57 mph=25.5 m/s. For example, if t =0.1
s, F =0.5x25.5/0.1=127.5 N;
the mass of a 127.5 weight is 127.5 N/9.8 m/s2 =13 kg.
QUESTION:
Please explain me that why if a thin layer of water is spilled on a rough surface like plastered floor and we place our finger in it then why water move away from the point of contact of our finger on that surface and it appear to be dried around.
ANSWER:
This
is probably akin to the similar phenomenon of a foot pressing down on
wet sand and the area close to the foot is visibly dried. I found an
explanation on
Physics Forums which seems to be correct:
"The phenomenon being described is called 'Dilatancy' and was discovered by Reynolds about 100 years ago. It works only when you have well compacted sand that contains just enough water to cover all the individual grains. When you stand on the sand you create a stress / force which causes the sand to move. In order for the sand to move / flow individual grains have to be able to move past one another. Imagine a bunch of oranges stacked as you might see them at a grocers. The first layer has them all tightly arranged and then the second layer sits down into the gaps between the oranges on the first and third layer. Now imagine trying to move one of the oranges in the second layer. In order to move it the oranges on the first and third layer mut move down and up respectively to enable the orange to move. Effectively the volume of the pile of oranges or grains of sand increases with bigger gaps in between. So when you put your foot down on the sand it shoves sand out the way but in doing so the volume in between grains has to increase temporarily to allow the grains to move relative to one another. Consequently all the fluid at the surface is sucked by surface tension into the extra gaps made by the rearrangement of the sand. Since there is no longer any fluid at the surface the grains of sand are now dry."
If you go to the original Physics Forums question, ignore all the
early answers which are wrong.
QUESTION:
In magnetism, how can the magnetic field be used to trap charges inside a magnetic bottle? as this requires deceleration of the moving charge at either ends of the bottle and changing its direction of movement, this will need a work done by the magnetic force although the force will always be perpendicular to the velocity vector of the moving charge from Biot-Savart Law.
Please, if there is an image for clarification of directions of magnetic force and velocity vectors for more explanation.
ANSWER:
In the diagram, note that the forces on the charge are always toward the
center of the bottle. A full explanation can be found at
Physics Stack Exchange .
QUESTION:
If the law of conservation of mass states that matter can't be created or destroyed, then how is it possible in the deep future, after black holes die etc., the universe can be left with literal nothingness?
ANSWER:
There is no such thing as the law of conservation of mass. Mass
can be created or destroyed. In chemistry, conservation of mass is assumed in chemical reactions because the mass changes are so small as to be almost unobservable.
QUESTION:
Some people like to think about what would happen if the universe's constants were changed (see fine-tuning argument for the existence of God). But what if the laws of nature were themselves altered instead? What if, instead of E = mc^2, we had E = mc^3 or E = mc^4? Or what if the law of conservation of mass-energy or the equations governing electromagnetism were altered? Or what if instead of F = ma, we had F = m/a or F = 2ma?
ANSWER:
Your first example, changing the power to which c is raised in
the famous equation E=mc 2 , is impossible because for
any power other than 2 the equation is not dimensionally correct —e.g .,
mc 3 does not have the units of energy; it would be
like saying "the speed of my car is 55 pounds/foot". Your second example
has two errors. F=m /a could be written as a=m /F
which would mean that the harder you push on something, the less it
would speed up, in violation of what happens. F =2ma would be
perfectly ok but would imply that you have defined what you mean by
force differently. Newton's second law is actually that the acceleration
is proportional to the applied force and inversely proportional to the
mass, a∝F/m or a=kF/m , where
k
is a proportionality constant. Assuming you have already defined what
mass (kg), length (m), and time (s) are, your choice of k
determines what you mean by force. The standard choice is k =1
which means that the unit of force (which we call 1 Newton) is that
force which causes a 1 kg object to have an acceleration of 1 m/s2 .
If you were to choose k =½ (your F= 2ma ), one
unit of force would be that force which caused a 1 kg object to have an
acceleration of ½ m/s2 .
You need to keep in mind that laws of physics are simply expressions of
how the universe works. For example, Coulomb's law simply states
that the force between two charges is inversely proportional to the
square of the distance between them, F∝ 1/r 2
because this is what we find doing the most accurate experiments that we
can. But, we can not really be sure that the "true" law is not F∝ 1/r 2.000000001
until we are able to perform an experiment which rules it out.
QUESTION:
I have two magnets, North poles facing each other (repulsive) Magnet A moves in the positive X direction, Magnet B moves in the negative X direction so that total momentum of system is zero.
The magnets come to a stop do to the repulsion of the same N poles. When they come to a stop, I "pin" them in place so they cant move. Total momentum was zero to begin with, both magnets stopped, total momentum is still zero. The kinetic energy of both magnets rushing towards each other, now stopped, the energy is now in the field between the magnets, if I was to weigh this system, with a sensitive enough scale, I would find the total mass of the system to be: Magnet A + Magnet B + Field so far so good?
Ok, I "unpin" the magnets, they fly apart with equal but opposite momentum, their kinetic energy coming from the energy stored in the field as mass. Is it wrong to say that the energy in the field is transferred directly to the magnets? or, is it more correct to say that "virtual photons" mediated the transfer of energy from the field to the magnets?
ANSWER:
This is a very difficult question even though it looks simple. First, I
think it is a mistake to say that the field has mass. The field has an
energy density U=B 2 /(2 μ 0 )+E 2 (ε 0 /2);
yes, there is an electric field because the magnetic field is changing
in your example. As the two magnets approach each other the fields
change and therefore the energy content of the fields changes also. To
avoid the electrodynamics implied by your question (time varying fields)
and the resulting radiation (carrying energy away) which would occur, I
think we can get to the crux of your question by starting the two
magnets at rest and bringing them together by doing a certain amount of
work W and having them end at rest. If you measure the mass of
the whole system before moving the magnets to be M , its mass
after moving will be M+W /c 2 . Again,
thinking of the field as having mass is not the right way to think about
it, you need to just think about the mass of the system. For example, if
a nucleus has N neutrons and Z protons, its mass is less than Nm n +Zm p ;
you would not want to say that the field holding the nucleus together
had negative mass, would you? Your second question, I think you can see,
is not simple either. Because the magnets are moving, there will be an
induced electric field. Because the magnets are accelerated, there will
be electromagnetic radiation carrying energy out of the system. I think
it is best to be thinking always about the whole system and not where
the energy "resides".
QUESTION:
I need to calculate the effort to hold up ONE end of an 80 pound beam to a 40 degree angle. What is the formula?
ANSWER:
I am not sure what you mean by "…the effort to hold up…" I
will assume you mean the force F (see figure)
you need to exert to hold the beam at rest. In general, it depends on
where the center of gravity of the beam is, how you exert the force, and
how long the beam is. The smallest force you would need to exert is a
force straight up (this statement is
incorrect, see below) , so I will assume that is the case. If you analyze the
equilibrium problem for the beam in the figure, you find that F=Wd /L .
Note that it does not depend on the angle at all. For your case, if the
beam is uniform, i.e. d=L /2, then F=W /2=40 lb.
FOLLOWUP QUESTION:
Re: latest answer. The force required to hold up the end of the beam must involve a cosine of the angle.
ANSWER:
Details: Sum of vertical forces: ∑F y =0=F+N-W ;
sum of torques about point touching the ground: ∑τ =0=Wd cosθ -FL cosθ=Wd-FL.
Solutions: F=Wd /L and N=W (1-(d /L )).
This results from choosing to have F be vertical. I could have
chosen to have F perpendicular to the beam in which case the
answer would depend on θ. (I now see that my
statement in the original answer that a vertical force would be the smallest is
wrong, although my answer for a vertical F was correct and
independent of θ .) The new torque equation would be ∑τ =0=Wd cosθ -FL
so F =Wd cosθ /L and the 80
lb uniform beam at 400 would require a force of F =½(80)(0.77)=30.6
lb. It would require no force to hold the beam vertical since cos900 =0.
QUESTION:
If gravity has the same effect as acceleration (according to the theory of relativity ) gravity curves light, does acceleration also cause a curve ?
And if it why do light particles move in a straight line ?
ANSWER:
The operative principle here is the equivalence principle: there is no
experiment you can do to distinguish between being in a uniform
gravitational field with associated acceleration g and
having an acceleration g in zero gravitational field. Suppose
that you are in an accelerating elevator in empty space which has a
small hole in the side. Someone shines a beam of light into the hole.
That beam will follow a parabolic path as seen by you inside your
elevator. Therefore, light will also be bent by a gravitational field.
There are two answers to your last question. First, if you watch the
photons from your Euclidian frame of reference, the photons do not
follow a straight line in that space. On the other hand, what mass does
is warp the space around it so a photon will follow the shortest path
between two points which you would call a straight line in that space
which is, itself, curved.
QUESTION:
So, I am learning about the basics of waves in class and I was bored so I started messing around with some equations.
λ=h/p p=mv, in the case of light, p=mc, c=λf E=hf c/f = λ c/f = h/p c/f = h/mc h=E/f c/f = E/mcf c=E/mc
E=mc^2
Is this a correct derivation of E=mc2 ??
ANSWER:
Well, "messing around" with equations you do not really understand
seldom leads to good results! First, E=mc 2 does not
apply to light (photons) because light has no mass and you would
therefore you would conclude that light carries no energy which would be
nonsense; for more detail, see the
faq page . Your
major error, though, is right at the start writing p=mv which
cannot be true for a photon since it has momentum but does not have
mass. In fact, this is not even true for particles with mass since, in
relativity, the momentum is given by p=mv / √[1-(v 2 /c 2 )].
Incidentally, the energy of a photon is E=hf and the momentum
is p=h /c .
QUESTION:
a light photon moving at the speed of light, can it have spin? and if so can the spin be added to its speed giving it a faster than light speed breaking the laws of physics? I have always wondered this but never seem to find out if they have spin....
ANSWER:
Every photon has a spin of 1; this means that it has an intrinsic spin
angular momentum of L = √[1(1+1)] ℏ.
So, I am guessing that you are visualizing the photon as a little
spinning ball and think that you can conclude (see my figure) that the
"equator" on the near side of the ball is moving forward with a speed of
c+v . However, spin in quantum mechanics cannot be visualized using
such a simple classical model, even though we often do think of spin
this way to get a qualitative feel for spin. For example, if
you visualize an electron as a spinning uniform sphere with a reasonable
radius, you find that the surface must have a speed greater than the
speed of light.
QUESTION:
Say I fill an airtight barrel with water and have a valve at the bottom and a feeder hose at the top.
If this barrel is uphill and I have the feeder hose down lower say in a pond will the draining of the barrel through the lower valve create enough vacuum to pull the water uphill creating a siphon?
ANSWER:
First of all, I would call what you are proposing a pump, not a siphon.
You are trying to "suck" water uphill using a vacuum. The first thing
that comes to mind is that there will be a limit on how high the hill is
above the water level below. Even if you have a perfect vacuum, the
highest you can lift water this way is 10.3 m=33.9 ft. But you start off
with a hose full of air, so you will never get a vacuum, so you will be
limited further in the height to which you can pull the water from
below. For example, if the volume of the air in the hose were 1/10 of
the volume of the barrel, you could only lift the water 9.3 m. Or, if
the volume of the air in the hose were equal to the volume of the
barrel, you could only lift the water 5.1 m. So there is no simple
answer to your question, but this is probably not a very workable way to
lift water.
QUESTION:
If a person were in a closed container filled with water and the container was accelerated at high speeds, would the person in the container feel the g-forces the same as if they were not in the container?
ANSWER:
You would move backward until you hit the back wall and then the back
wall would exert a force forward on you. If there were no water, the
back wall would exert a force F 1 =ma
on you where m is your mass. If there were water, the
water would exert a force F 2 toward the back on you
and the wall would exert a force F 3 forward on you.
So now, F 3 -F 2 =ma so the
force on you from the wall would be bigger (F 2 +ma )
than if there were no water. Plus the water would be trying to
crush you.
QUESTION
ABOUT THIS ANSWER:
You recently answered a question regarding the effect of acceleration on a person in a closed container of water. You suggested the result would be movement to the back of the container and an increase in the force experienced by the person.
Buoyancy is dependent on relative densities, so a person will float with the same percentage immersed regardless of the local gravity/acceleration. This implies that the victim would, at least at moderate levels of acceleration, be forced to the front of the container.
Initially I thought that if the container was not full, it would be quite a comfortable experience since the accelerating force would be evenly distributed. However, humans are not of uniform density, so the persons chest with its air-filled lungs would be forced to the front and his bony, less buoyant extremities would be dragged the the back. Unfortunately, the questioner filled the container completely so the person would be pressed uncomfortably against the front wall.
At higher acceleration the body would be compressed sufficiently that he would become denser than the water, only then would he move to the back of the container to be further crushed by the water column.
ANSWER:
You are right, the motion depends on the density of the astronaut
relative to the density of the water. If the ship is in empty space (no
gravity) and not accelerating, there would be no buoyant force in any
direction and the astronaut would float either at rest or at constant
velocity until he hit something. The equivalence principle says that
there is no experiment you can do to distinguish between being in a
uniform gravitational field with associated acceleration g and
having an acceleration g in zero gravitational field. If the
ship had an acceleration a forward it would be the same as being in a
gravitational field pointing backward in the ship. Therefore, there
would be a buoyant force which would cause objects with smaller density
than water to move forward ("float") and objects with larger density
than water to move backward ("sink"); you correctly point that out and
in my original answer I was assuming an astronaut whose overall density
is larger (quite possible if he were wearing a heavy space suit, for
example). In the back wall case, my original answer was correct. In the
front wall case, the water would be pushing you forward and the wall
backward, so F 2 -F 3 =ma
or F 2 =F 3 +ma ; now the
water pushes on you with a force greater than the wall pushes back.
QUESTION:
Most physicist say that an antimatter engine is impossible because there is no way to store the antimatter but if you were able to get raw positrons and electrons and store them in seperate electrically charged tanks (each with the same charge as the particle they are holding). would you be able to sucessfully store the matter and antimatter and decide when to open it and close it. So basically is the atraction between matter and antimatter stronger than the electroweak force?
ANSWER:
If you have a hollow conducting tank and charge it up with electrical
charge, the field inside is zero, so your plan to store charge inside
will definitely not work; the only force felt by the charges inside will
be the forces between those charges which will have the effect of
pushing them all out to the tank. All the positrons in the positron tank
would annihilate with electrons in the tank; all the electrons in the
electron tank would end up on the outer surface of the tank. And, by the
way, the only force between an electron and a positron is electrostatic.
QUESTION:
In the part of electromotive force, when we connect a wire to the terminals of the source of EMF like for example a battery, the potential difference between the two terminals create an electric field inside the conductor.
Haw fast this field been established, is it simultaneous just at the time of closing the circuit or it takes time even if it is extremely small amount of time?
ANSWER:
In a vacuum, an electric field propogates at the speed of light. In the wire
it will be a bit slower, but still close to light speed. The electric
field causes conduction electrons to move, hence creating the current.
QUESTION:
I have been studying atoms and strong and the electroweak force for about a week and i came across something that caught my attention. When a radioactive isotope undergoes beta decay one of its neutrons ejects an electron and an antineutrino and leaves behind a proton. my question is if it leaves behind a proton and jettisions an electron is there any chance that the nucleus with one extra proton than electrons in orbit around the nucleus could catch the loose electron?
ANSWER:
Why not just ask if you can combine an electron and a proton to make a
neutron? The answer is yes, and it is called inverse beta decay .
If a proton absorbs an electron, an electron neutrino will be ejected:
p + +e - →n 0 +ν e .
This most commonly happens when an atomic electron is captured into the
nucleus, a process called electron capture. This process also results
in the emission of an x-ray because the hole in the K-shell is filled by
a higher-orbital electron. It is also the main way
neutron
stars are formed.
Q&A OF THE WEEK, 3/19-25/2017
QUESTION:
Having a bit of a debate about whether this tennis ball would've landed in with a tennis player and we have a $100 bet on it. The ball machine fed the ball from the other side of the court at the baseline the player that hit the ball is a top ranked junior player...
the ball hit the ball machine edge 5 inches off the ground at the top of the wheel base and the player claims that it would've landed on the line if it had not hit the ball machine of which the picture demonstrates the point of impact is 5 inches above ground at the back edge of the line and there are no external elements such as wind as we are playing indoor.
the ball was traveling at approximately 30 mph at time of impact. We have attached an image for reference. We appreciate any clarity you could provide :-)
[Note that the angle relative to the horizontal is specified to be 600 -700
in the photograph attached by the questioner.]
ANSWER:
My first reaction was to say that, of course, it would not hit the line.
That was because, as physicists often do, I was thinking of the ball as
a point and ignoring its size. You can see from the figure that there
could easily be a combination of h and v 0
where the ball would strike the line had the obstruction not been there.
As best as I could tell, some part of the ball must touch the line so if
we calculate where the bottom-most point of the ball strikes the ground
(y =0) the ball will be in if x >0 in my coordinate
system. My guess is that if we simply assumed that the bottom point went
in a straight line in the direction of its initial velocity we would get
the right answer; but the ball is actually a projectile and moves in a
parabolic path so, since this is a $100 bet, I better do it right! The
equations of motion are
x (t )=x 0 +v 0x t
y (t )=y 0 +v 0y t- ½gt 2
where t is the time it takes to hit the ground and g =9.8
m/s2 is the acceleration due to gravity. Being a scientist, I
prefer to work in SI units, so I will do that. OK, let's summarize
everything we know. I will assume θ =700 since
that gives the best chance of hitting.
x 0 =R =2.7"=0.0686 m
y 0 =h-R =5"-2.7"=2.3"=0.0584 m
v 0x =-v 0 cosθ=- 30cos700
mph=-4.583 m/s
v 0y =-v 0 sinθ=- 12.59
m/s
y (t )=0.
So now the task is to put these into the equations above, solve the
y equation for t and put that value of t into the
x equation to find x . I find that t =0.00463 s
and x =0.047 m=1.9". Because x is positive, the ball
will hit the line. Going through the same procedure for θ =600 ,
I find t =0.00502 s and x =1.4", again hitting the line.
When the bet is settled, don't forget to
reward The
Physicist !
ADDED
THOUGHT:
The curvature of the parabolic path is, as I had speculated, miniscule.
For θ =700 above I found x =0.0474
m and if you just assume the ball went in a straight line to the ground
you find that x =0.0473 m.
FOLLOWUP QUESTION:
For clarity sake I am sending you two more pictures from the exact set up of which we have not moved.
Previously you only were sent the Sideview so I have included below sent a top view showing that the ball machine is actually out and the court view from the approximate angle that the ball was struck showing the approximate ballpark at the ball was hit from approximately contact was made 3 feet off of the ground.
I still can't wrap my head around if an apparatus is actually out and a ball strikes it from 5 inches above the court going in the opposite direction that it can still be in unless air resistance is involved of which there are no air elements. Just want to make sure that you still think the ball Woodland in from more data provided before I pay $100?
ANSWER:
The top view is helpful in verifying what I had assumed in the original
answer —the surface which is hit is aligned with the outer
edge of the line. The best way that I can convince you that it is
possible that my first answer is correct is to show two figures, one
showing a trajectory of the ball which lands it in bounds and one out:
Each figure shows the ball at the instant of impact with the machine and
the instant of impact with the floor had the machine not been there. The
dashed red line shows the trajectory of the center of the ball and the
solid red line shows the trajectory of the bottom of the ball. The
diameter of a tennis ball is 5.4". The ball with the steeper trajectory
(which would include your 600 -700 trajectory) is
clearly in bounds by standard tennis rules.
FOLLOWUP QUESTION:
We did not know how to define the arc so we just said 60 70 as an ignorant guesstimate but we are ok with the actual real representation of the arc that we sent you in the last image...we just want to understand based on the ACTUAL real flight path arc that the ball really took when struck and its possibility of landing on the line of which the image with the actual art provided is a more accurate visual representation... and we are not sure of how to define the angle of approach based on that visual.
Our original explanation of the ball angle degree of approach to the baseline could have been lost in translation somewhat we are not certain... that's why we contacted you and that's why I sent a VISUAL representation because we really aren't sure of how to define that...we reckon the more information we provide you the more accurately u can clarify our understanding.
In saying that.... what approximate degree is the arc approaching the baseline from the image we provided this morning... assuming the ball was struck at about 3 feet off the ground traveling approximately 3 4 feet over the net? The distance from the net to the baseline is 39 feet and the player was approx 3 feet behind the baseline at time of contact so that would be approx 42 feet from the net at the time the contact was made. Does this change whether or not the ball lands on the line or is it irrelevant?
ANSWER:
This Q&A is turning into quite a tome! With the information you sent, I
can calculate a pretty good estimate of the trajectory of the ball
ignoring air drag. It turns out that your guess of 600 -700
for the trajectory angle was way off. The algebra is tedious, so I will
just give the final results. To check that I made no algebra errors, I
plotted the trajectory, shown in the figure. I have worked in meters.
The ball is hit at x =0 from a height of 1 m, passes 1 m above
the 1 m high net at x =13 m, and then hits the machine at x =25
m just above the ground (y =0 m). You can see that my result
describes the path you specified quite well. Do not be deceived by the
picture, though, because the scales of the two axes are very different,
only 2.5 m for vertical motion compared to horizontal motion of 25 m, a
factor of 10. The inset shows the trajectory as it would look to the
eye. As you can see, the angle is much smaller than you estimated. The
analytical solution is that θ =15.60 and t =1.1 s; your estimate of the initial speed was pretty
good, 23.5 m/s=52.6 mph but the final speed (although it is not
important) is 23.9 m/s=53.5 mph not 30 mph.
Now I am compelled to recalculate with the best possible numbers whether
the ball hits in bounds or not. However, given all that I learned above,
I can make it brief: there will be a critical angle
θ c =tan-1 (y 0 /x 0 )=tan-1 (2.3/2.7)=40.40 ;
any angle smaller than θ c will be out of
bounds. For 15.60 , x =2.7-(2.3/tan15.6)=-5.5", 5.5
inches out of bounds.
Finally, just for completeness, I would like to estimate the effect of
air drag. Using the approximation in an
earlier answer I find that t =1.13
s (0.03 s longer) and v =22.1 m/s (1.8 m/s slower). This would
correspond to the angle being a bit bigger, about 170 , but not nearly
enough to cause the ball to drop in bounds.
Q&A OF THE WEEK, 3/12-18/2017
QUESTION:
How much lateral force is needed to damage bearings in the hub
motors of a skateboard when carving? So...if you roll in a straight
line, on a skateboard, you exert a radial load on the eight bearings
contained in the four wheels. But skating is more fun when you ride in
wavy lines - carving! So the bearings start getting a lateral or axial
load. How "hard" would the carve have to be (let's assume a rider of 100kg) to
break the weakest of the bearings? The
rotor is supported by two bearings, one that has an radial maximum force of 3.5
kN and the other of 7 kN. So the maximum axial forces would half those.
(The questioner and I had several
exchanges. The bearings are cylindrical and he was only guessing that
the axial force was half the radial force based on data for similar
bearings. I have edited his several emails to get the gist of things in
the question above.)
ANSWER:
The way I see the problem is shown to the right. The forces on the
skater plus skateboard are his weight mg vertically down, the
normal forces on the inner (N 2 ) and outer (N 1 )
wheels, and the corresponding frictional forces f 1
and f 2 . Whatever the rated axial (along the wheel
axis) maximum force is, that is what we want to use as the to find the
limiting conditions for the "carve"; the determining factors will be the
mass m of the skater plus board, the speed v he is
going, and the radius R of the path. For the lean, d
and h are the distances, respectively, of the center of mass
horizontally and vertically from the front wheels; note tanθ =d /h .
The wheel base is s . The normal forces and frictional forces
shown each represent the forces on two wheels. Note that the inner
wheels carry the most force.
The easiest way to do this problem, since it is an accelerating system,
is to introduce a fititious centrifugal force C =mv 2 /R
pointing outward. Newton's equations are N 1 +N 2 -mg =0
(vertical forces), f 1 +f 2 -C =0
(horizontal forces), and N 1 s+mgd-Ch =0
(torque about inner wheels). Now, from the torque equation, there will
be a maximum speed you can go for a given m and R
before the outer wheels leave the ground. At this time N 1 =0=(Ch-mgd )/s
or v 2 /(gR )=d /h =tanθ.
Also, f 1 =0, so f 2 =C=mv 2 /R .
Now, the inner two wheels each are experiencing the axial force of F =½mv 2 /R .
Just to do an example, let v =10 mph=4.47 m/s, R =5 m,
and m =100 kg; then F =0.2 kN. If your guess that F max ≈1.75
kN is correct, you should be ok. For this example, θ =tan-1 [v 2 /(gR )]=220 . If you execute the turn with
a smaller lean angle, all four wheels will share part of the load. To do
the general solution where both wheels have N ≠0 would
not be two difficult but would be quite a bit messier algebraically and
probably not all that useful.
FOLLOWUP QUESTION:
Thanks for the explanation on your website. It wasn't really what I was looking for because it doesn't really give the answer something layman can understand.
Also, you compare your estimated lateral force of 1.96 kN
(0.2 kN, see below) to 1.75 kN, although they would be the breaking limit for only one bearing.
You assumed that just the 2 inner wheels receive the load, so isn't that a total of 4 bearings... shouldn't the breaking limit be 4*1.75?
ANSWER:
I am glad you asked this question because it got me looking more
carefully at what I had done late last night and I found an extraneous
factor of g had crept into the final stage of my calculation, (" …so f 2 =C=mg v 2 /R …")
so my final answer was too big by a factor of 9.8 meaning that the
lateral force per wheel is F= 0.2 kN; this has been corrected in the
original answer. So you should have no problem after all. I was in the
process of writing an email trying to "verbalize" my answer somewhat to
make it more accessible when I discovered this. Here is what I wrote:
You asked me "How ‘hard’ would the carve have to be (let's assume a rider of 100kg) to break the weakest of the bearings?" That is what I gave you. I assumed that the weaker of two bearings in a wheel can break even if the stronger does not.
(I assume they are coaxial, one inside the other.) Sorry if the explanation was too technical, but that is as basic as I can get to convey the details. A few comments to try to clarify:
What I call
C , the centrifugal force, determines how "hard" the carve is.
C=mv 2 /R . For the example I did, C =100x4.472 /5=400 N.
When carving, the harder you carve the greater the load will be carried by the inner wheels on each axel. Eventually, the outer wheels will just lift off the ground which necessarily results in the inner wheels taking all the load, both lateral and radial.
Since you asked me for how to calculate the maximum lateral force
any wheel would experience for a given m , v , and
R , that is what I gave you.
I do not
understand your last question but I do know that if two wheels
experience a force of 0.4 N then each experiences a force of 0.2 N
(assuming they equally share the load).
ADDED
THOUGHT: I guess I have not really fully answered your question
"How 'hard' would the carve have to
be…to break the weakest of the bearings?" I suggest that the
appropriate equation would be 1.75x103 =½mv 2 /R.
Here are a couple of examples:
What is
the fastest a 100 kg rider could go in a curve of radius 10 m? v =√(2x10x1.75x103 /100)=18.7
m/s=67 km/hr=42 mph.
What is
the tightest curve a 100 kg rider could turn at 30 mph=48 km/hr=13.4
m/s? R =½x13.42 x100/1.75x103 =5.1
m.
These, of
course, assume 1.75 kN is the strength of the weakest bering.
QUESTION:
In a black hole what becomes of the system's angular momentum?
ANSWER:
Black holes have angular momentum. Any object which has angular
momentum, will add its angular momentum to the black hole's when it is
captured, conserving angular momentum.
QUESTION:
If the earth is spinning at 1040mph to the EAST, why do trips from LA to NY, take the same amount of time in either direction, give or take 30min?
If the plane is traveling at 500mph, wouldn't flight times be significantly different from LA to NY vs NY to LA?
ANSWER:
The atmosphere rotates with the earth, to first approximation. The
airplane flies relative to the air and therefore takes the same time in
either direction because it is flying in still air. In reality, at the
altitudes where commercial airliners fly, there is a strong air current
called the jet stream which moves, relative to the ground, in a west to
east direction. Therefore the trip from NY to LA is usually longer.
QUESTION:
Since a perfect black body would absorb all electromagnetic radiation would it mean that it would also have a perceived temperature of absolute zero and wouldn't it also mean that eventually the temperature of whatever the material the black body itself is made up of would eventually reach the planck temp since it's always absorbing radiation and never releasing it?
ANSWER:
A black body is also a radiator. If it is in a radiation field it will
absorb all radiation striking it and, as it absorbs this energy, it will
increase in temperature. As it gets hotter it will increase its own
radiation. Eventually it will come into thermal equilibrium with its
environment, absorbing and radiating at the same rates.
QUESTION:
Good Day ! Thank you for being there and dedicating the time to answer our questions. I have many... Can I start with the "Inverse Square Law" as it pertains to light. E = I/r2 , Using 100 as "S", S/4pi2 = I ( intensity at surface of sphere ) as the source strength, the farthest we would be able to "see" would not even get us to PC. it is 4.2 light years away, 5,878,499,817 x 4.2 = 24,689,699,231.40 miles... Assuming 100% at "S". Reaching the surface of the earth, using a nominal, 8,000 mile diameter, that works out to be about 1 (one) photon for every 1,205. square miles.... And, that is purported to be our closest star. How can this be ?
ANSWER:
I generally do not try to find errors in questioners' calculations, I
just do the calculation myself. The sun is a pretty average star and its
photon
rate is about Φ ≈1045 photons per
second. Using R =4.2 ly=4x1016 m, I =Φ /(4πR 2 )= 1045 /( 64π x1032 )≈ 5x1010
photons/s/m2 . That would be the photon intensity 4.2 ly from
a sun-like star.
QUESTION:
If you would like to send a space probe to an asteroid that is 7 AU away, how many years would the journey take using the minimum energy direct trajectory?
ANSWER:
You seem to think that energy must be expended to keep it moving. In
fact, once you give it a velocity greater than the escape velocity, it
will coast the whole way. The minimum velocity you must give it is just
slightly less than the escape velocity, but for the purposes of this
answer, let's just say that we give it the escape velocity which is
about 104 m/s. I find that the speed at r =7 AU would
be about 28 m/s and the time to get there would be about 1.5x1012
s≈48,000 years. So the energy required would be that amount needed
to give your probe the escape velocity from earth's surface. Keep in
mind that this estimate ignores everything except the earth. It would be
a better question to ask, for example, how much energy would be needed
for the probe to arrive in 10 years.
QUESTION:
I'm hoping this is not considered off the wall but our moon does not have an atmosphere. And our moon and earth are spinning (quite fast) and also our solar system is spinning while traveling through space. so my question would be how those men weren't blown clear off the moon when they landed on the moon?
ANSWER:
Where did you get the idea that the moon is "spinning quite fast"? The
moon spins once on its axis approximately every 28 days so that it
always keeps the same side pointed toward the earth. The earth, of
course, rotates once every 24 hours. You can easily calculate the
centrifugal force on something on the equator of the moon or earth, that
force which I presume you are assuming "would blow [us] clear off". On
earth that force is less than ½% or your weight; on the
moon that force is 2.5x10-16 % of your moon weight! So, you
see, in no way do you have to worry about being "blown clear off"!
QUESTION:
I am a Middle school science teacher and we do an unit on cell phones as part of our NGSS "waves" unit.
The performance task is to build a device that blocks a cell phone signal. The kids quickly figure out (from the unit lessons and the internet) that aluminum foil is the best solution.
My Question(s): What exactly is happening with the aluminum foil? everything I read says the waves are being absorbed, are they creating a Faraday cage, or just creating a barrier that blocks the waves?
I have had students create "Faraday Cages" (with copper wire, following internet plans) and it did not work. What exactly is a Faraday Cage and how does it work?
My teaching partner noticed a correlation between when the phone is touching the box, and when it is insulated from the box (with a cell phone case). Is there something to this?
This is the second year of this project and I am in awe at the opportunities for learning for myself and the kids, thanks for your time.
ANSWER:
Do your students know what an electromagnetic wave is composed of? There
are oscillating electric and magnetic fields as shown in the figure. The
important thing is that there are electric fields and electric fields
cannot penetrate into a hollow conductor (the Faraday cage). To
understand how the Faraday cage works, look at the animation. When an
electric field is applied the electrons experience a force opposite the
field and migrate to one side of the cage while the other side has a net
positive charge because of the missing electrons. Amazingly, the
electrons arrange themselves in just the right way that their electric
field is exactly opposite what the external electric field inside would
be, giving a net field of zero inside. The waves are not so much
absorbed as they are cancelled out. A Faraday cage does not have
to be completely closed if you want to keep radio waves out as long as
the size of the holes is very small compared to the wavelength of the
radiation; it could be made of chicken wire, for example, as long as the
wavelength is much greater than a couple of inches. From what I can find
out the frequencies are in the not too far from f =1 GHz=109
s-1 ; since the wavelength of a wave is the speed divided by
the frequency, λ=c /f =3x108 /109 =0.3
m. So, I would have thought that a cage you made would have gaps much
less than 30 cm. Were all the wires in good contact with all others?
Often copper wires have a varnish-like coating on them to serve as
insulation. I don't know what you mean by "correlation", so I cannot
answer that part of your question. (By the way, the aluminum foil is
a Farady box if it completely surrounds the phone.)
QUESTION:
How much heat would it take to heat 1 gallon of water to 600 deg F in a pressurized system, from 70 deg F to 600 F in 1 hour. Not counting the ss vessel.
Also since the water is not allowed to change states are the calculations just the Sensible heat cals or are there special calculations needed.
This is part of a R&D Application.
ANSWER:
For my approximation to be fairly accurate, the water must remain liquid
at a constant volume. I will work in SI units so 700 F=210 C
and 6000 F=3150 C; I will convert back to Imperial
units for the final answer. I looked up
data for the specific heat of water which turns out to have a
significant temperature dependence as shown in the figure (black). I did
a quadratic fit (green) to these data and integrated over the
temperature range to get E =1356 kJ/kg. The mass of a gallon of
water is about 3.8 kg so the total heat is Q =1356x3.8=5.2x103
kJ=1.44 kW⋅hr=1240 kilocalories. Keep in mind that the pressure
will be very large at 6000 F, about 1800 psi.
QUESTION:
I have been reading a lot lately about the prospects of nuclear fusion reactors; especially regarding electrical power plants. My question is this: if the hot plasma from the reaction is shielded from the equipment to protect it from the heat by a magnetic bottle, how then do you access the heat to make electrical power via steam for turbine generators or direct conversion from heat to electricity.
ANSWER:
The purpose of the magnetic bottle is to keep the hot plasma isolated
from the physical containment; just touching the containment vessel
would present two problems —it would cause instabilities in
the plasma and it would damage the vessel. But the plasma is hot and
anything hot will radiate heat energy; in other words, the magnet bottle
contains the plasma, not the heat. This radiant heat would rapidly heat
up the vessel which would heat up some coolant mechanism (imagine having
water tubes coiled around the outside of the vessel) which would carry
away the heat to drive the turbines.
QUESTION:
We could induce artificial gravity through centripetal acceleration. For example a ring-like structure in a spaceship could rotate about 1.34 rpm if the radius to the centre is 500 meters. This will give 1 g at the edges of the ring.
However we can also induce artificial gravity in the spaceship through its propulsive power and hence a constant acceleration at 1 g of the spaceship is required.
But what if the spaceship is accelerated at more than 1 g in order to achieve 75% the speed of light, even though the spaceship consists of the 500m radius ring-like structure that rotates at 1.34 rpm. What type of artificial gravity will the occupants feel? Will the excessive acceleration cancel out the centripetal effects in the ring? Is there an equation or formula that combine both linear acceleration of an object while the objects is also rotating?
ANSWER:
You seem to think that you need an acceleration greater than
g to get to 0.75c , but any acceleration will do. But,
since you seem interested in a greater than g acceleration, I
will choose a 0 =1.5g. So now a person of
mass m in the ship sees two fictitious forces, mg
which is radially out and 1.5mg which is
toward the rear of the ship. A person in the ship would experience a net
force of about 1.8mg pointing out and back. This would not be a
comfortable situation. If you are just going to accelerate constantly, I
would recommend not messing with the rotation at all, set your
acceleration to g , and make all the "floors" in the ship
perpendicular to the acceleration. If you are interested in how long it
would take to reach 0.75c with a 0 =g ,
you can read off the graph (which I took from an
earlier answer ) that gt /c =1.8,
so t =5.5x107
s=1.7 yr.
QUESTION:
A worker was pushing a pallet forklift and when he put the metal against the metal at the bottom of a glass door - the glass shattered to pieces. He just barely touched the metal on the bottom of the door. What could have happened to make it shatter like that?
ANSWER:
Glass sometimes breaks under circumstances where it does not seem that
enough force has been applied. As you probably know, glass is formed in
very high temperatures and allowed to cool. Sometimes the cooling does
not occur uniformly over the whole volume of the glass and the finally
cooled object can have places where there are very large internal
stresses. Just a small force at such a location can then cause the glass
to break. I cannot verify that this was the case for your situation
because it is a little hard to imagine a forklift having "just barely
touched" anything!
QUESTION:
Is it true that the electric energy of one electron that is moved through a potential difference of 1 volt is called electron volt?
ANSWER:
You are on the right track, but your terminology is a little shaky (it
is not clear what "electric energy" means). There are two ways you might
want to define the electron volt (eV). First, if an electron at rest is
allowed to accelerate across a potential difference of 1 V, it acquires
a kinetic energy of 1 eV. Second, if you push an electron across a
potential difference of 1 V (opposite the direction it wants to go), you
will do 1 eV of work. 1 eV=1.6x10-19 J. You need to realize
that if the potential difference is greater than a few hundred volts,
the kinetic energy will not be exactly ½mv 2
because of relativistic effects.
QUESTION:
why are sparks more likely to occur between two charged particles closer together rather than far.
ANSWER:
For air to become a conductor, there must be a sufficiently strong
electric field to ionize the air molecules. There must therefore be a
potential difference (voltage) between the two electrodes. The air has a
dielectric breakdown strength of about 30 kV/cm which means that 30,000
V are needed for a gap of 1 cm but only 3000 V is needed for a gap of
1mm.
QUESTION:
If I drove my car home with the boot lid open, why would the air resistance be higher than usual?
ANSWER:
It probably would be higher, but not necessarily. If it were higher, it
would be due to the fact that the area presented to the onrushing air
was larger and the drag is proportional to the area. On the other hand,
aerodynamics can be very nonintuitive. The spoiler on some cars is
designed to break up the smooth flow of air over the car which actually
results in lower drag at high speeds. The dimples on golf balls and the
hairs on tennis balls have the same purpose, to break up smooth air
flow.
Here is an anectdote which illustrates that your intuition is not always right regarding drag. Some years ago somebody called in to
Car Talk on NPR and asked about these nets you can buy to replace the tailgate in a pickup truck to reduce air drag. Makes sense, right? The tailgate is like a wall in the wind and to get rid of it will reduce drag and increase your mileage. Click and Clack said that they thought these things were a great idea for reducing drag and increasing fuel efficiency. During the intervening week before the next show an engineer from GM called in and told them that removing the tailgate in fact greatly increases the overall drag on the truck. The reason is that the tailgate traps a bubble of air which rides along with the truck and the headwind slips over it. There was a lot of crow-eating that week at Car Talk Plaza!
QUESTION:
Does temperature affect a magnet's magnetism?
ANSWER:
Magnetism is a vast field and the temperature dependence depends on the
material. I will just address a simplified description of a simple
ferromagnet, a common permanent magnet. The basic way that these work is
that electrons interact with their neighbors in nearby atoms such that
their magnetic moments align with each other giving the bulk material a
net magnetization. The most important temperature dependence is that,
for any ferromagnetic material, there is a critical temperature called
the Curie temperature where the magnetization disappears. So, if you
want to destroy a permanent magnet, heat it up above the Curie
temperature; unless you cool it in an exteranal magnetic field, it will
not be a very good magnet when cooled. The behavior below the Curie
temperature is likely to be complicated, but there will be generally a
decrease in magnetization as it heats up.
QUESTION:
Photons don't have mass, but they have momentum. So this means that if a photon hit a mirror, for example, it pushes the mirror a little bit forward. Thus, the photon transferred momentum to the mirror. So this would mean that the photon lost a fraction of its speed or its mass decreased because p=m*v! But how could this be if photons are massless and only can travel at the speed of light?
ANSWER:
The linear momentum of a photon is not p=mv (since it could not
have any momentum if m =0), but rather p=hf /c
where h is Planck's constant, c is the speed of light,
and f is the frequency the corresponding light wave. In
everyday life, the light which reflects from a mirror is the same color
of light that went in; this means that the mirror did not recoil at all,
essentially has infinite mass. If you take into account the recoil of
the mirror, some of the photon's momentum would be transferred to the
mirror which would mean the photon would have to lose some momentum. But
h and c are both constants of nature, so f
would have to decrease; that would mean that the actual color of the
photon would be slightly shifted toward the red end of the spectrum. You
could never do this experiment, the shift is too tiny. But, if you
"reflect" a photon from an electron (shoot gamma rays or x-rays at a
solid which has many electrons in it) you can easily measure the change
in wavelength of the radiation; this is called
Compton
scattering and was one of the pivotal experiments in the development
of quantum physics.
QUESTION:
Is the terminal velocity of a matchstick falling from 1000 metres the same as a 3000lb car falling from the same height.
ANSWER:
The terminal velocity is the largest speed something will acquire if it
could fall forever. So it has nothing to do with how far it falls; a
feather may acquire 99.999% of its terminal velocity after falling one
inch but a bowling ball might have to fall a mile before it reached
99.999% of its terminal velocity. This problem you can do just using
your common sense (although I will do a rough estimate below). Something
as light as a matchstick will not fall far at all before it is moving
with nearly its terminal velocity; if you had a terminal velocity as low
as a match's, you could jump off the Empire State Building and not get
killed. The car would go much faster.
This may be all that you want, but for the interested I will roughly
calculate some numbers. The terminal velocity v of something
with mass m which presents an area A to the onrushing
air can be roughly approximated as v =2√(mg /A )
where g ≈10 m/s2 is the acceleration due to
gravity. The match I estimate to have m ≈0.1 grams=10-4
kg and area A ≈(5 cm)x(1 mm)=5x10-5 m2 ;
then v ≈9 m/s. The car I estimate to have m ≈3000
lb≈1400 kg and area A ≈(2 m)x(3 m)=6 m2 ;
then v ≈97 m/s.
QUESTION:
I was playing with my nephew and his toy cars and came to notice that when pushed, after a short distance, the cars begin to veer off course. Some simple "testing" determined this to be a (seemingly) random effect. This was not really new to me, but curious nephew eyes then began to ask me "why this is so". I assume it to be a mix of many effects arising due to the (lacking) production quality of the cars, but I didn't find a really satisfying answer. Perhaps you could give a "best guess" as to which effect is the main contributor?
ANSWER:
Suppose there is some small force which pushes the car left or right at
a rate of 0.4 ft /s/s and there is some larger force which causes
it to slow down at the rate of 3 ft/s/s; now push the car so it has an
initial speed 10 ft/s. The path followed by the car until it stops will
resemble the path shown in the figure. That is my best guess!
QUESTION:
In space like sci fi dogfights (gundam or macross) is it possible to accelerate from a stationary (from the pilots perspective like a ship) object straight forward (thinking in 4 axis) then if accelerate directly down from your original vector then accelerate again in a new vector does the orignal speed change or do only the amount of gravitational energy change? Also what would it do to the person inside the craft? If your already doing 500mph and you change directions like I said down at another 500mph then again at 500mph does it add up or is it like launching from a craft already doing 500mph where the energy felt going foward is 0 from their perspective? Like when a astronaut inside the ISS goes out for a space walk? Do they feel the pressures when they wear those jetpacks (sorry for childish name) and change directions? Again what type of math would I study to learn the answer to these types of questions? and hopefully solve them some day because space has space for everyone and I want people to one day go to the stars ALIVE!
ANSWER:
I
am afraid that your question is quite muddled, but I think it shows that
you do not really understand what acceleration is. Average acceleration
is defined to be the change in your velocity (the difference between the
final and initial velocities)
divided by the time to affect the change. If I understand your example
you are originally moving with speed v initial =500
mph in one direction and later are moving with speed v final =500
mph in a direction perpendicular to your original direction of travel;
it is important that you realize that velocity is a vector so that it
changes if the direction changes but the speed stays the same. The
difference between the two velocities is shown in the figure, Δv =v final -v initial .
So the average acceleration is a =Δv /Δt
where Δt is the time to make the maneuver. The average
force F you will experience is in the
direction of a and proportional to your mass
m , F =ma . For
example, suppose your weight is 160 lb (then your mass is m =160/32=5 lb⋅s2 /ft), Δv= 500√2=707
mph=1037 ft/s, and Δt= 1 s. The average force you will
feel is F =5x1037/1=5185 lb! You do not want to change your velocity too
quickly!
QUESTION:
I'm just curious: is there any geometric structure that could be built-up infinitely without collapsing under it's own gravity? A tetrahedral mesh, like diamond maybe?
ANSWER:
Let's refrain from talking about building up "infinitely" since
there is not an infinite amount of energy in the entire universe. The
gravitational field g of a point mass m
is g =-mG 1 r /r 2
where G is the universal gravitational constant, 1 r
is a unit vector pointing radially out and r is the distance
away from the point. To get the gravitational field for an object not a
point you need to divide it up into infinitesmal pieces, each having a
field dg =-dmG 1 r' /r' 2
where r' is the vector from dm to the place where you
wish to calculate the field; you then integrate over the entire object,
usually not a trivial exercise. This is one of the main reasons that
Newton had to invent the calculus, so that he could prove that he could
treat the sun and the planets (spheres) as point masses. I understand
that the difficulty of proving that the field of a spherically symmetric
mass distribution outside the object is identical to the field there if
all the mass were in a point at the center caused a delay of something
like 20 years in the publication of his theory of gravity. I will only
talk about spherically symmetric masses here because, the point mass
field being spherically symmetric, all large bodies will tend toward a
spherical shape. This is why the stars and planets are spheres; see an
earlier answer on
cylindrical masses. Calculation inside the object is trickier: a uniform
sphere of radius R and mass M has zero field at the
center which increases linearly until the surface where it has magnitude
g=MG /R 2 ; a hollow sphere of radius R
and mass M has zero field everywhere inside and then jumps
discontinuously to g=MG /R 2 at the surface.
Since we know that a star with a large enough mass will collapse to a
neutron star and/or a black hole, nothing will stop that from happening,
certainly no "mesh" of any kind. On the other hand, if you want to
create a hollow sphere with a thin outer shell, I believe that there
would be no limit to how large you could make it without its collapsing.
Suppose you have a hollow sphere of radius R 1 and
and mass M 1 and it does not collapse; the field
pushing in at the surface is g 1 =GM 1 /R 1 2 .
Now suppose you have a hollow sphere of radius R 2
and and mass M 2 =2M 1 ; it is easy
to show that if you keep the surface density of the shell σ=M /(4πR 2 )
constant then R 2 =(√2)R 1
and so g 2 =GM 2 /R 2 2 =2GM 1 /(2R 1 2 )=g 1 .
The field remains the same and so the field per unit area actually gets
smaller as the shell gets larger, making it even less prone to collapse.
QUESTION:
What's the physics of orbiting? Why don't satellites lose their velocity over time and fall straight to the earth's surface as they're orbiting (falling) around the planet?
ANSWER:
Orbital mechanics is just applications of Newton's laws of
motion: the motion is determined by all the forces on an object. Start
with the simplest assumptions: there are only to bodies and the mass of
one body is hugely greater than the other and the only force is gravity.
This is what is called the Kepler problem. See an
earlier answer for the several possibilities of orbits but the
important thing is that a stable orbit is the solution to Newton's
equations and it simply continues forever until some other force changes
it. Next you take into account the masses of both objects and find that
the solutions are essentially the same except that the two orbit around
their center of mass and the reduced mass μ=Mm /(M+m )
replaces the mass M in your equations. Now you can add other
non-ideal forces to the problem. For example, although earth satellites
are above most of the earth's atmosphere, they are not above all of it
and the air drag with the very thin atmosphere gradually takes energy
away from the satellite and its orbit eventually decays to where it hits
the ground. The farther out the satellite is, the slower this decay is.
Other things can cause the orbit to change also. For example, the moon
causes tides on the earth (in both the oceans and the solid earth) which
causes some of the energy lost by the earth to be gained by the moon so
it is gradually moving farther away (by like about 4 cm a year). And of
course any third body perturbs the nature of the orbit. For example, the
planet Neptune was discovered in 1846 because the observed orbit of
Uranus was not exactly what its Kepler orbit should have been because of
interaction with another body, Neptune; calculations predicted the
necessary orbit of the unknown planet and it was subsequently observed
where it was predicted to be. Imagine doing such a complicated
calculation long before computers.
QUESTION:
Would a stove-top pot heat liquid faster if the bottom surface was concave instead of flat? My theory is the increased surface area on the liquid in the pot would cause it to heat faster, and heat would travel 'up' the concave 'cone' area so it would not lose any heat (or proportianally not a lot) compared with if that area was flat and closer to the flame.
ANSWER:
Such a pot would definitely not be best for an electric range.
Here you want the element to be in contact with the metal pot bottom so
that conduction is the main way of getting heat into the pot; with your
pot convection would be the mechanism and result is smaller heat flow.
For a gas range, it is possible that some advantage could result as you
speculate, but I doubt it. The hottest point of a flame is in the
visible part of the flame that you see, and you want this to be close to
the pot.
QUESTION:
If traveling on an airplane from North Pole to Brazil, the pilot cannot fly on a straight line or he will miss his target; the pilot must actually fly on curved path to reach his desired destination. What is the reason for this?
ANSWER:
This is probably a homework question, forbidden here, but I am
going to answer it because of its ambiguity. The problem with this
question is that it does not define what is meant by a curved path. Of
course, since we live on the surface of a sphere, no path between any
two points on the surface of the sphere is a straight line in the three
dimensional space from which we might view that path. Only by digging a
tunnel between the two points is the path a straight line. But if you
travel through this straight tunnel and your path is observed from
outside the earth you follow a curved path because the earth is
rotating. How do we usually define a straight line? It is the shortest
path between two points. So if you observe things from our point of view
on earth and define a straight line on this two-dimensional surface to
be the shortest distance between two points, you can connect any two
points on earth by a straight line. If the pilot flies due south on the
longitude 43.20 W, he will end up in Rio de Janeiro. The
pilot does not have to keep steering his plane to account for the
earth's rotation (which is what is hinted at here, I think); he flies
relative to the air and the air rotates with the earth. If this is a
homework question, it is a pretty stupid one.
Q&A OF THE WEEK, 2/19-25/2017
QUESTION:
Where can I get a graph (or other information) about the increasing "relativistic resistance" to the acceleration of a particle (an electron, hopefully) as its velocity is increased to near-relativistic speeds? If such a graph is not available, then how can I calcuate this increasing force that resists a particle being accelerated when it is already traveling at some relatively high percentage of the speed of light, like maybe 70%?
ANSWER:
It would definitely behoove you to read an
earlier
answer first which has lots of details and discussion of
acceleration. There are two ways to approach this problem:
Suppose
the observer in the inertial frame is doing the pushing and wants to
know how hard to push the particle to achieve a particular
acceleration.
Resistance to acceleration is usually called inertial mass and the
inertial mass m of a particle with rest mass m 0
and speed v is m=m 0 / √[1-(v /c )2 ].
The first figure above plots
m /m 0 as a function of v /c .
So, to achieve an instanteous acceleration of a , a force of
F=ma =m 0 a /√[1-(v /c )2 ];
so for your example of v /c =0.7, you can read off
the graph that you would need to exert a force 1.4 times larger than
you would if the particle were moving slowly. This is probably what
you want if you are interested in electrons accelerating since you
would be accelerating them.
Suppose
the observer was on the particle and the particle was a rocket ship.
You adjust your engines so that the force F which they
exert on the ship causes a constant acceleration of a 0 =F /m
where m is the rest mass of the ship. What
acceleration a does another observer in an inertial frame
(on earth maybe) see when the rocket has a speed v ?
Starting with the velocity derived in the
earlier
answer , v =(a 0 t )/√[1+(a 0 t /c )2 ],
we can calculate the acceleration by differentiating with respect to
t , [dv /dt ]/a 0 =a /a 0 =(1+(a 0 t/c )2 )-3/2 .
Now, reading off the second graph, when v /c =0.7,
a =0.36a 0 ; the stationary observer will
only see 36% of the acceleration seen on the ship.
ADDED
NOTE:
It is important to note that the acceleration observed depends
on the inertial frame you are in. In way#2 above, two different inertial
frames, say with v /c =0.7 and 0.9, will observe the
ship having different accelerations. This is why acceleration, and
therefore also force, in special relativity do not play an important
role as they do in Newtonian physics where all inertial observers see
the same acceleration. This is discussed in the
earlier
answer .
Q&A OF THE WEEK
(2/12-18/2017)
QUESTION:
If I am moving 55 MPH East (or West) at the equator how much weight would I gain (or lose) due to the Eötvös Effect. Thank You in advance. I am 73 years old and too dumb to figure this out myself.
ANSWER:
First of all, weight is the force the earth exerts on you so you
never gain or lose weight when you are moving; you might want to say
"apparent weight" which is the force which would be measured by a scale
you were standing on. You experience two real forces, your weight
W down
and the normal force N (a scale, for example) up. One way to solve this
problem is to note that an object with mass m with speed v
moving in a circle of radius R has an acceleration a=v 2 /R
which points toward the center of the circle; then apply Newton's second
law, F=ma =mv 2 /R=W-N and solve for
N to get your apparent weight of W -mv 2 /R ,
smaller than your actual weight. This is the
"Eötvös effect".
But there is another way to approach the problem. Rather
than solving the problem from the outside the earth, we might want to
solve it here on the earth. But Newton's laws are not valid in an
accelerating reference frame (accelerating because it is rotating). You
can force Newton's second law to work, though, by inserting a fictitious
force which I will call E for
Eötvös but it is more
commonly known as the centrifugal force; E =mv 2 /R
pointing radially out. Newton's first law now applies, N+E-W =0,
so, again, N=W -mv 2 /R=W [1-v2 / (gR )]
where g =32 ft/s2 . In the figure above you have a velocity
v=v Earth +v man . If you are at
rest, v=v Earth =1040 mph=1525 ft/s and R =3959
mi=2.09x107 ft; so N=W (1-0.00348) and a scale will
read 0.348% smaller than your actual weight. If you move with a speed of
55 mph=81 ft/s in an east direction, v =1525+81=1606 ft/s and
N=W (1-0.00386), 0.386% smaller than your actual weight. If you
move with a speed of 55 mph=81 ft/s in a west direction, v =1525-81=1444
ft/s and N=W (1-0.00312), 0.312% smaller than your actual
weight.
FOLLOWUP QUESTION:
I made a donation, but the way I read your answer you have both directions being SMALLER, if I read it right. I know that West is an increase and East is a decrease, just thought you would like to know.
ANSWER:
Thanks for your support! Very generous, particularly because you
say that I am wrong! I must stand by my calculations, though. It is
certainly not unheard-of that I make an error, but this answer is right.
Since I define weight to be what a scale would read if the earth were
not rotating (or at north or south poles), you will see that the
apparent weight (what the scale reads) increases if you go west and
decreases if you go east, just the same as what you "know"! All apparent
weights are smaller than the actual weight; the only exception is if you
go west with speed of v Earth in which case the
actual and apparent weight will be the same. If you want to compare to
your apparent weight at rest, it is 0.386-0.348=0.038% lighter going
east, 0.348-0.312=0.036% heavier going west.
QUESTION:
How much "work" (physics definition) is actually accomplished in a gym workout?
I'm currently using F x D x reps = actual work done.
The upward lift ("D") x the amount of weight lifted ("F") x the number or repetitions... to get actual work done.
Am I in making some mistake, here?
Thanks, in advance, for your help.
ANSWER:
By "upward lift" I assume you mean the distance lifted. So,
lifting a weight F over a distance D you would do
W=FD units of work on the weight. For example, the weight of a 2 kg
mass is about 19.6 N and the work to lift it 1 m is 19.6 J. But, and
here is the catch, you use more energy than 19.6 J to lift that weight
because your body is not a simple machine like a lever or a pulley. To
understand why, see the faq page. In a
nutshell, the reason is that to just hold up a 2 kg mass, not move it up
at all, requires input of energy —you get tired trying to
hold up a weight at arm's length, right? And, what about lowering the
weight back down? The work done on the weight is negative which implies
that energy is being put back into you but know that it also takes
energy for you to lower the weight at a constant speed. A biological
system is considerably more complex than systems we talk about in
elementary physics classes. I think that it is of little use to try to
analyze a workout in terms of elementary physics.
QUESTION:
Speed of light again becomes 3x108 m/s when it emerges out in air from denser material without the loss of energy. Why?
ANSWER:
Just because it speeds up does not mean that it gains energy.
For light, the energy is determined by the frequency, not the speed.
When the light enters a dense medium its speed v decreases but
its frequency f stays the same. Since v = λf ,
where λ is the wavelength, the wavelength decreases.
Another way to look at it is to think of the light as a swarm of
photons. The energy of a photon is hf where h is
Planck's constant, so the energy of a photon depends only on frequency.
QUESTION:
If I'm driving and hit the gas and turn left would the angle
between the velocity vector and acceleration vector be less than, greater
than, or equal to 90 degrees. I would think it's greater.
ANSWER:
You would think wrong! The velocity vector
v points
straight ahead. The tangential acceleration
a t points
parallel to the velocity vector because you are speeding up. The
centripetal acceleration vector a c
points toward the center of the circle you are turning. As you can see
in the figure, the total acceleration vector
a makes an acute (less than 900 )
angle with v .
QUESTION:
If the earth is curved how is it you can get a laser to hit a target at same height at sea level more then 8 km away?
How is it that it's bent around the earth?
ANSWER:
First of all, light is not bent around the earth; it travels in
a perfectly straight line and therefore, because the earth is curved,
there is a maximum distance away for a target at the same altitude. What
that distance is depends on the altitude of the laser. You say that the
laser is exactly at sea level by which I presume you mean the surface of
the earth; at this altitude you could not hit any target also at sea
level. In the figure I have drawn the earth, radius R , a point
a distance h above the earth's surface (laser location), and
another point a distance h above the earth's surface (target
location). The distance between them is 2d . Focus your
attention on one of the triangles with hypotenuse (R+h ).
From the Pythagorean theorem, d =√[(R+h )2 -R 2 ]=√[2Rh +h 2 ];
if h<<R , d ≈√(2Rh ). For example, if
h =10 km, about the height a commercial jet flies, 2d ≈714 km is the most distant target at the same altitude which you could hit.
QUESTION:
if gravity can hold back all the seas and heavy objects to earth how can a fly or leafs move threw the air does gravity not have same force on everything I don't get how it can hold back everything but same time let small things move so easy ?
ANSWER:
For starters, the force of gravity (often called the weight) is
proportional to the mass of the object; the weight is ten times bigger
for a 10 kg object than for a 1 kg object. Second, Isaac Newton taught
us more than 300 years ago that to understand how an object moves (or
doesn't) you need to consider all forces on the object. For example, for
a leaf being blown upward, the force of the air up on the leaf is
greater than the force of gravity pulling down.
QUESTION:
I have an old fashion balance scale, center fulcrum and two dishes on either side of equal weight. If I place two weights on either side and the weights are nearly the same, the heavier side dips slightly, if the difference between the weights are large, the heavier side dips much more. I do not understand why this is so. Logic says that if there is any difference at all, the heavier side should continue to drop until it reaches a barrier to the fall no matter what the difference in the weight.
I asked a physics instructor and he did not have the answer either.
ANSWER:
The center of mass
⊗ of the scale
itself must be below the fulcrum (suspension point). Then, as shown
above, if the beam is off horizontal for the empty scale or equal
weights in each pan, there will be a restoring torque to force a balance
only for the horizontal beam.
FOLLOWUP QUESTION:
I don't think the answer given expained the phenomena described in the question. It only explained why when the weights are equal and there is a force on one side that it will bounce up again and continue to rock back and forth until it eventually evens out again. The problem I posed was a different issue, as to how the scale behaves when different weights are put on the heavier side.
ANSWER:
It does answer your question, but just not explicitly because I
did not include examples of unequal weights. So let me do that now.
Given the explanation in the original answer, I can model the scale as a
massless T with all the scale mass M located a
distance d below the pivot at the bottom of the T .
As shown in the figure, when one side is loaded with a mass m
the scale rotates to an angle θ with the
horizontal and reaches equalibrium. The sum of the torques about the
fulcrum is mgL cosθ -Mgd sinθ =0,
so θ =tan-1 [mL /(Md )]. As
m gets larger, θ gets larger. For small angles, θ ≈mL /(Md )
in radians.
QUESTION:
While i am reading Einstein book 'evolution of physics', i have encountered a very confusing reasoning process which i can not understand it.
The topic is about how we can deduce that the gravitational mass and inertial mass are equal just by knowing that the acceleration due to gravity for all objects at the same height is constant.
And here is the text i can not understand how he deduced that:
"Now the earth attracts
a stone with the force of gravity and knows nothing about its inertial mass. The
"calling" force of the earth depends on the gravitational mass. The "answering"
motion of the stone depends on the inertial mass. Since the "answering" motion is always the same —all bodies dropped from the same height fall in the same way—it
must be deduced that gravitational mass and inertial mass are equal.
More pedantically a physicist formulates the same conclusion: the
acceleration of a falling body increases in proportion to its
gravitational mass and decreases in proportion to its inertial mass.
Since all falling bodies have the same constant acceleration, the two
masses must be equal."
ANSWER:
Newton's universal law of gravity says that the force is
proportional to the gravitational mass of the object, F=k 1 m g
where k 1 is a constant. Newton's second law of
motion says that the acceleration is inversely proportional to the
inertial mass and directly proportional to the applied force, F=k 2 m i a ;
in SI units, k 2 =1.
Therefore, a =k 1 m g /m i .
(This is Einstein's statement "…the
acceleration of a falling body increases in proportion to its
gravitational mass and decreases in proportion to its inertial mass .")
Now, since it is an experimental fact that a is the same regardless of
the mass, m g /m i is a constant.
If we choose to measure both m g and m i
in kilograms, and since k 1 expresses the strength of
the gravitational field, m g /m i =1.
(For the field near the earth's surface, k 1 =M earth G /R earth
where G is the universal gravitational constant, M earth
is the gravitational mass of the earth, and R earth
is the radius of the earth.)
QUESTION:
well, i saw a theory that if you rotate the ISS, which weighs 450 tons at 10 rotations per second, it would generate its own gravity. would it be possible to spin something of proportion size at a proportional speed to generate artifical gravity like the ISS?
ANSWER:
You should read earlier answers regarding "artificial gravity"
in rotating space stations. The idea is that if you are in an
accelerating frame of reference you feel like there is a force on you;
for example, when you drive fast around a curve you feel like you are
being pulled toward the outside of the curve. It is not a "theory", it
is elementary physics. The mathematics you need is that your
acceleration if you are going in a circle of radius R with
speed v your acceleration is a=v 2 /R .
For a given R , if you choose v such that a=g =9.8
m/s2 where g is the acceleration due to gravity, you
will feel like you are at the surface of the earth. In your case, v
can be determined from the frequency 10 rotations/second: each rotation
has a distance of 2πR so v =20πR /1. This
would imply that the acceleration would be a =9.8=(20πR )2 /R =400π 2 R ;
solving, R =.0025 m=2.5 mm. This is obviously nonsense, so you
must have remembered the the frequency incorrectly. Looking at the
figure, the main cabins appear to have a diameter of about 5 m, R ≈2.5
m, so if they spun about their central axis the required speed would be
about v ≈√(9.8x2.5)=5 m/s and so the
frequency would be f =5/(5π )=0.32
rotations per second=19 revolutions/minute. But this would not work at
all for the ISS because an astronaut's head would feel almost no
"gravity" because it would be very close to the axis of rotation; if she
were to lay on the floor/wall/ceiling it would be close to what it would
be like on earth. The ISS is just too small.
QUESTION:
I've been told by many that the fastest thing is vacuumed light. since light travels at different wave lengths does some light travel than other. in other words does a ultraviolet rays travel the same linear speed from A to B the same as say an x-ray. If it does than would that mean we don't have a solid speed limit of light. if they do not do we just use the longest light wave to measure the max speed, OOORRRR do we throw light like a laser... but wouldn't that still have a wave of some form.
ANSWER:
Every-day language usually interprets "light" as that which we
see with our eyes. When a physicist says "the speed of light", she means
"the speed of electromagnetic radiation". All electromagnetic radiation
travels with the same speed in a vacuum.
QUESTION:
I made a statement to somebody that a plane hitting a building was the same as if the building hit the plane at exactly the same speed,the plane now stationary. The results would be the same. In other words, if a man with large hands slapped my hand at 50 mph, it would be same as me slapping his hand at 50 mph.....its interchangable.....the other person said, no, the mass of the building and hand would have different results...
ANSWER:
Either you or your friend could be right depending on what you
mean by "different results". Let me try to set up a simple example to
demonstrate why.
Imagine we have a 2 lb ball of putty moving
with a speed of 5 mph striking and sticking to a 18 lb bowling ball
at rest; the time it takes to collide is 0.1 s. After the collision,
the two move together with a speed of v 1 . To
find v 1 , use momentum conservation: 2x5=(18+2)v 1 ,
v 1 =0.5 mph.
Next, imagine we have a 18 lb bowling ball
moving with a speed of 5 mph striking and sticking to a 2 lb ball of
putty at rest; the time it takes to collide is 0.1 s. After the
collision, the two move together with a speed of v 2 .
To find v 2 , use momentum conservation:
18x5=(18+2)v 2 , v 2 =4.5 mph.
So, you see
that the two scenarios have different speeds after the colliision. But,
suppose that you were the putty ball. During the collision you feel a
force and the force is what is going to hurt you. Do you get hurt as
badly, not as badly, or equally as badly during the collision? What
determines the force you feel is the acceleration you experience during
the collision, how quickly your velocity changes, which is your final
velocity minus your initial velocity divided by the time of the
collision.
For the
putty ball moving initially, (v final -v initial )/t =(0.5-5)/0.1=-45
mph/s.
For the
bowling ball moving initially, (v final -v initial )/t =(0-4.5)/0.1=-45
mph/s.
You could go
through through the exact same process to find that the bowling ball
experienced exactly the same force regardless of who moved initially. A
physicist would say that you were right, but the ambiguity of your
statement means that the other guy could split hairs. As far as physics
is concerned, the only thing which matters is the relative
velocities of the two before the collision. If the putty ball were
moving 105 mph and the bowling ball were moving 100 mph in the same
direction, the result of the collision which matters (the force) would
be the same.
QUESTION:
The atmosphere is heavy. If the weight of a column of air above your desk is about the same weight as the bus you rode to school in, why doesn’t air pressure crush your desk?
ANSWER:
Because the atmospheric pressure also acts up under your desk.
QUESTION:
I have always wondered how much energy do you do with if you let a kettle at 1800 W be running for two minutes? What is the approximate cost for this?
this is not a homework question.. just a question i wonder =)
ANSWER:
A
Watt is one Joule per second, 1 W=1 J/s. Energy consumed by an 1800 W
kettle in 2 min is 1800x120=216,000 J. But, we are more used to
measuring electrical energy in kilowatt hours, (1 kW ·hr)(1000
W/1 kW)(3600 s/1 hr)=360,000 J. So the energy used by the kettle is
(216,000 J)/(360,000 J/kW·hr)=0.6 kW·hr. A kW·hr
costs on the order of 5¢-15¢, so the cost would be between 3¢
and 9¢.
QUESTION:
Why do unstable elements always give off alpha particles with 2 protons and 2 neutrons. Essentially a Helium nuclei. Why not a hydrogen nuclei or a heavier nucleus
ANSWER:
Alpha-decay is only prevalent in very heavy unstable elements. Most
unstable nuclei decay by beta decay, the ejection of an electron or
positron along with a neutrino. The reason that alpha-decay happens is
that the alpha particle is an extremely tightly bound particle and
therefore there is a fairly high probability that it will spontaneously
form inside a very heavy nucleus where there are a lot of neutrons and
protons to contribute. For a more extensive discussion, see an
earlier answer .
QUESTION:
Every day my wife reads the latest fake news about planet 9 and sits weeping in fear the whole time . As a scientist ,surely you can tell me one thing that just shuts this whole fiasco down . Please. Tell me that undeniable fact that will convince her that we are in fact safe from a collision or near miss from this nonexistent space oddity and it 's cohorts . It s affecting her health . And I love her . So it' i m feeling her pain as well .
ANSWER:
First of all, "Planet 9" is a serious astronomical topic. Minor
irregularities in the orbits of some of the distant planets suggest the
presence of another planet farther out.
Serious efforts are underway to try to observe it. But its
anticipated period is more than 10,000 years, so if it is far away now,
it is not likely to be a problem for us for far longer than the lives of
any of us. All reputable astronomers have declared that (if it actually
exists) it is absolutely no danger to earth. Google "planet 9" to get
lots of good information. But, even if there were a planet much closer,
like the "fake news" "planet x", there is an amazingly low likelihood of
its colliding with earth. Most lay folk like your wife have no
comprehension of the vastness of space; the probability of two
particular objects in the solar system colliding is, for all practical
purposes, zero. It is often posited that a "rogue planet" passing
through the asteroid belt would "shake loose" a "storm" of asteroids
toward the earth. I recently
answered a question
addressing this possibility which you might find useful.
QUESTION:
Can tension ever be negative?
ANSWER:
This
is an ambiguous question. If you mean can the magnitude of the tension
force exerted by a string be negative, the answer is no; a string can
only pull, it can never push. But, if you mean can the tension ever have
a component which is negative, the answer is yes; it simply depends on
how you have chosen your coordinate system. But, if you have drawn the
tension vector T such that the string is
pulling on something and you solve the problem and the magnitude T <0, you have made
a mistake somewher.
Q&A OF THE
WEEK (1/21-28/2017)
QUESTION:
My question is about the maximum tension experienced by a bow string. I'm
specifically concerned with a traditional or recurve bow NOT a compound bow
with pullies. I want to know the max tension compared to the draw weight so
I have an idea how strong to make my strings. So here's the scenario, what's
the maximum tension in the string for a recurve with a 70 lbs draw weight
and a physical weight of 25 oz? I'm assuming the maximum tension is when
it's at brace (not full draw), right after the arrow leaves. I think this
because not only does the string have to oppose the restoring force of the
bow limbs but it also has to stop the momentum of the limbs that isn't
transferred to the arrow.
ANSWER:
To compute the tension I would need to know the geometry of the bow. I can
tell you that the tension will be at the maximum draw for a simple bow, not
where the arrow leaves the string.
REPLY:
The bow is 64 inches long and the string is about 4-5 inches shorter than the bow. It Is braced at 6 inches and has tips that are 3 inches recurved behind the handle. Its draw length is 28 inches and has an elipitcal/circular tiller shape at full draw.
ANSWER:
(An incorrect answer was posted earlier. This is a reposting, correct
now, I hope!)
When researching the physics of archery I discovered that this can be a
very complicated problem requiring very sophisticated numerical
calculations on computers if you want precision descriptions of all the
details. You, however, require only a rough calculation for estimating
the strength of the string. I can do that and it is more appropriate for
the spirit of this site —to solve problems with simple physics
concepts. This problem requires facility with trigonometry,
understanding of Hooke's law, and application of Newton's first law. The
simple model I will use was one used before the advent of computers; the
bow is modeled as two straight rods (purple) the ends of which move on a
circle as the string (red) is drawn. With this simple model, most of the
details of your bow are not necessary. When the string is braced
(undrawn) there is a certain tension in the string and this tension will
increase as the bow is drawn. So, the maximum will be at the maximum
draw. The figure shows, roughly to scale, the situation. Using simple
trigonometry (law of cosines), I find β =59.60 .
The point where the draw weight W is being applied must be in
equilibrium, W -2T cosβ =0; solving, T =69.2
lb. I think that your concern about the string having to "stop the
momentum of the limbs" is misplaced because bows tend to be quite
elastic so that nearly all the energy imparted to the bow by drawing it
is imparted to the arrow and the limbs will end nearly at rest. Not so
if you draw and release without an arrow, though; what I have read is
that in that situation you are more likely to break your bow than the
string. I am working on a general solution which I will later add here
but thought I would post the part of the solution which answers your
question regarding the tension in the string.
GENERALIZED
SOLUTION:
To get a better understanding of this problem it is worthwhile to
find an analytical solution for the tension as a function of draw
distance. My research showed me that a traditional or recurve bow
behaves, to an excellent approximation, like a simple spring
(Hooke's law), the draw weight being proportional to the draw distance,
i.e . W≈kx where x is the distance the
string is drawn and k is the spring constant. In this case, since W =70 lb when x =28
in, k =2.5 lb/in. Using the law of cosines, cosβ =(L 2 +(x+d )2 -R 2 )/(2L (x+d )).
Again, the point where the force W is applied
is in equilibrium so W -2T cosβ =0 or T (x )=kx /(2cosβ ).
Now, note that in the limit where x → 0, β → 900
and cosβ → x /L . Therefore T (0)=kL /2.
Using your numbers, T (0)=37.5 lb and the angle and tension for
all points are plotted below. At full draw, β= 560
and T =64 lb. It was interesting to me that in order for the
calculated values to be correct at zero draw, very precise relative values of
R and L
had to be used because otherwise the expression for cosβ would not be 0 exactly when x =0. The value was
R =30.59411708 inches for L =30.
QUESTION:
If a charged particle oscillates, it produces a propagating electromagentic wave. What happens when the motion of the charged particle is not oscillatory, but Brownian? Is the emitted radiation much weaker?
ANSWER:
It is acceleration which causes radiation. An oscillating charge is always accelerating except at the instants it passes through its equilibrium position so continuously radiating. Brownian motion is a series of very brief accelerations followed by much longer periods of constant velocity and therefore
the radiation is a series of pulses. There is no way you can predict
which is weaker by only knowing the acceleration. It depends on the
magnitude of the charges involved, the magnitudes of the accelerations,
and the frequencies of the accelerations.
QUESTION:
My question is related to photons. We have coherent light IE laser emission which over distance spread out much more slowly. Our sun emits incoherent light, which is the same for all observant stars. My query is why do we still see the stars as pinpoints of light no matter if they are near or very distant.
ANSWER:
The reason all the stars look like pinpoints is that they are very far
away, not because they have tightly collimated beams like a laser; if
the sun were very far away it would look that way too. If the light you
see from a star were a tightly collimated beam, it would be pointed
directly at you and if you stepped to the side it would disappear; you
would see almost no stars at night because nearly all of them would be
pointing elsewhere.
QUESTION:
when i kick the ball ,i exert a force on it and it exert the same force on me on the opposite direction according to 3rd law of newton ,bet what is the effect of the ball on me .the effect of the force that i exert on the ball make it move ,but my leg do not move .
ANSWER:
Do you feel it when you kick the ball? Of course you do and what you are
feeling is the force the ball exerts on your foot. But your foot moves in
response to all the forces on it, not just that one. During the kick
your leg is exerting a force on your foot much larger than the ball's
force on you. Your foot will be moving a little bit more slowly after
the kick than if you had not kicked the ball.
QUESTION:
With the understanding that "gravity" is a fictitious force created or experienced by Earths acceleration what I don't understand is what is the source of this acceleration? How is it that the Earth is continuously accelerating us upwards to produce weight?
ANSWER:
Your understanding is wrong. Gravity is not a fictitious force caused by
acceleration. Maybe it would help you to read some of my earlier answers
regarding gravity and general relativity listed on the
faq page .
QUESTION:
This is odd, but My family has just moved into a huge house with little outdoor space. We live in a climate that is cold in the winter, and I want my children to get some exercise on a daily basis. We own a trampoline, and have space for it indoors on the Second floor of our house. The ceilings are 12 feet high, so there would be no problem with the kids hitting their heads on the ceiling. My question is whether or not the house would stand up to the force generated by the trampoline. The walls of the house are made of concrete (you can't nail into it.) I am assuming the floors are quite solid as well, as they must support the weight of the house. They are concrete as well.
My Youngest child is quite large (6 ft, 260 lbs)--he is only twelve. We need the activity.
ANSWER:
First, a disclaimer: I can give you an idea of how much force the floor
will experience. I cannot predict whether this will cause your floor to
fail because I have no information about your floor other than that it
might be concrete. I have watched some videos and it seems that the
jumper never goes as high as h =2 m and the trampoline never
goes down as far as s =1 m. So I will just do my calculations
with those to get an upper limit on what force might be expected. Your
son's mass is about m =120 kg. An object falling from h =2
m will hit the trampoline with a speed of about v = √(2gh )≈√(2x10x2)=6.3
m/s. I will treat the trampoline as a simple spring so that I can write ½mv 2 =½ks 2 -mgs
where k is the spring constant. Putting in m ,
v , and s and solving for k I find k =7200
N/m; since the force exerted by a spring is F=ks ,
the largest force the trampoline exerts on your son is about 7200 N=1600 lb;
Newton's third law tells you that this is also the force your son exerts
down on the trampoline. Therefore, the trampoline exerts a force down on
the floor of 1600+W where W is the weight of the
trampoline. This is a little more than the weight of a grand piano.Keep
in mind that this is the greatest force and just for an instant; the
average force over the collision time would be half this. This is a
little more than the weight of a grand piano.
QUESTION:
I recently watched with great interest a PBS program which described in layman's terms how Uranium 238 transforms into the different chained elements, to include U235. It also explained the basics of the chain reaction caused by splitting U235 using E=MC^2 as the basis for energy release. This is where I was a little unclear.
The split was described as one U325 nucleus splitting into two separate nuclei with some individual particles released (can't remember if they are protons or neutrons) Those particles then collide with other U235 atoms in proximity triggering subsequent splits and particle releases as part of a chain reaction.
My question is that the mass doesn't appear to be transforming into energy (E=MC^2). Rather it appears that it is simply splitting and being cast off, so what causes the energy release? This assumes that the number of particles in the remaining two nuclei + the particles independently released still equal 235. There was a general reference in the program to how the Strong Force reduces the size of the resultant smaller nuclei, but it didn't say if matter within each was converted to energy or if the number of particles are additionally reduced through such a conversion. Thanks for any clarification you can provide.
ANSWER:
Suppose that you weigh one 235 U and one neutron. Now, when
you add the neutron to the 235 U it fissions and, after all is said
and done you have two lighter atoms and a few neutrons; if you weigh all
these byproducts, you will find that approximately 0.1% of the original
weight is missing. Where did it go? Most of it went into kinetic energy
of the byproducts, that is they are all moving faster. Kinetic energy of
atoms is essentially what thermal energy is —the reactor (or
bomb) has gotten hotter. For a bomb it all gets enormously hotter
resulting in the explosion. For a reactor, the rate of fissioning is
controlled and the heat is extracted to drive turbines to create
electricity. More detail can be found in an
earlier answer .
FOLLOWUP QUESTION:
I'm assuming (correct me if I'm wrong) that such motion was some percent of the speed of light which would account for the transformation of about
0.1% of its matter to energy.
ANSWER:
First things first—there was an error in my original answer, now
corrected throughout: the amount of mass converted to energy is
about 0.1%; nuclear fusion is about 1%. No, the motion of the atoms is
nowhere near the speed of light. It is simply classical ½mv 2
type of kinetic energy. The "transformation" is simply that—mass
energy transformed into kinetic energy. To understand, see a
recent answer which explains why a bound system has
less mass than if it is pulled apart and the mass measured.
It turns out
that heavy nuclei like uranium are less tightly bound than nuclei with
roughly half their mass; therefore when they split the products are less
massive. That is why fission works as an energy source.
QUESTION:
If a capacitor is made of oppositely charged plates, why do they look like cylinders inside computers, remote control cars and other electronics
ANSWER:
The easiest form of capacitor to understand and analyze in an
introductory physics class is the parallel plate capacitor. But any two
conductors insulated from each other is a capacitor. One possible
capacitor is a wire along the axis of a hollow cylinder, but that is not
what the common capacitor you are referring to is. Rather, it is a parallel
plate capacitor! The analysis of the capacitance of two parallel plates
shows that the capacitance is proportional to the area of the plates and
inversely proportional to the distance between them. So, take a two
ribbons of foil as long as a football field to make the area big and
separate them by sandwiching a ribbon of mylar between them to make the
separation small; then just roll it up so you can fit it in your device!
QUESTION:
Suppose a block is moving with constant velocity towards right on a frictionless surface and during its motion another block of slightly smaller mass lands on top of it from a negligible height.
I argue that the lower block will eventually start moving to the left and upper block will end up moving towards right provided that there is friction between the blocks but not between lower block and ground . My friends can't accept my reasoning. Am I wrong? Please help!
ANSWER:
I hate to tell you, but you are wrong. This is actually a simple
momentum conservation problem. Call the masses of the upper and lower
blocks m and M , respectively. Before they come
together the momentum is Mv where v is the incoming
speed of M . When the masses come in contact they will slide on
each other but, because there is friction, they will eventually stop
sliding and both will move with a velocity u ; the linear momentum will
now be (M+m )u . Conserving momentum, u =[M /(M+m )]v .
They both end up going with speed u and move to the right.
You can also determine the time it takes for the sliding to stop. m
will feel a frictional force to the right of magnitude f= μmg
and M
will feel a frictional force to the left of magnitude f= μmg
(Newton's third law). So, choosing +x to the
right, the acceleration of m is a =μg and
the acceleration of M is A =-μg (m /M ).
The velocities as a function of t are v m =μgt
and v M =v -μgt (m /M );
we are interested in the time when v m =v M ,
so solving for t , t=Mv /[μg (M+m )].
If you substitute this back into v m or v M ,
you will find the same value we found for u above: v m =v M =u =[M /(M+m )]v .
FOLLOWUP QUESTION:
If the block of mass M is not too long, i.e., the total distance that the upper block can slide is less that the distance it could move in your calculated time " t" , wouldn't the two blocks get separated?
ANSWER:
Well, of course the block has to be big enough, otherwise m
will drop down on the frictionless surface. It would be a good exercize
for a student to calculate how far the block would slide for some
μ . And then, if this is greater than the size of the bottom
block, how fast will each be moving after separating.
QUESTION:
What would it take for a falling body to travel 25' horizontally from a 350' height?
I'm sorry, I didn't explain well. This is an actual situation. There is a guard booth at the base of the bridge, 25' away. If someone was to jump off the bridge at a height of approx 300+ feet, would it be possible that they would be able to strike the booth?
ANSWER:
One possibilty is if there is a steady wind blowing in the right
direction. You should know that calculation of air drag, the force of
the wind in this case, is always a rough estimate, not something you can
predict with precision. I prefer to work in metric units, but I will
switch back to ft and mph at the end. A rough estimate of the wind force
is F ≈¼Aw 2 where A
is the area presented to the wind and w is the speed of the
wind (this approximation only works for SI units). I will assume that
the horizontal speed acquired by the jumper is small compared to the
wind speed so that w is a constant during the fall. So,
approximating A ≈1 m2 , the
acceleration horizontally is a x =F /m =w 2 /(4m )
where m is the mass of the jumper. The time to fall 350 ft is
about t =4.7 s and the horizontal distance is then x =½a x t 2 =w 2 t 2 /(8m ).
Now, x =25 ft=7.6 m and I will take m =150 lb=68 kg.
Solving for w I find w =13.7 mps=31 mph. A steady wind
of 31 mph could cause the jumper to move 25 ft horizontally.
You have not told me where the the booth is. If it is under the bridge,
then the jumper could not propel himself in that direction. But if the
booth is 25 ft out from under the bridge, the jumper could jump out as
well as drop down. The speed v x he would have to
give himself horizontally can be easily calculated: v x =x /t= 25/4.7=5.3
ft/s=3.6 mph.
QUESTION:
In electromagnetism we compute the intensity of a wave by taking the square of its amplitude. Why do we not do exactly the same thing with quantum mechanical waves?
ANSWER:
Actually, you could say that is exactly what we do. You just have to ask
what intensity means for the wave function. In electromagnetism,
intensity is just the energy density flux, the power per unit area,
measured in W/m2 . The square of the wave function is the
probability density and so is a measure of the likelihood of finding the
particle in one small volume in space. If you add up the square of the
wave function at all points in space (integrate), you must get the
answer of 1 because the probability of finding the particle somewhere in
space must be 1 for this interpretation to make sense; this is called
normalization.
QUESTION:
My dad told me about your website, very interesting reading. My question deals with molecules. When a molecule emits a photon, the mass of the molecule decreases to account for the energy in the photon. So, the mass of the molecule as a whole decreases, but this mass does not come from the "parts" of the molecule. In other words, the mass of the constituent electrons does not decrease, the mass of the protons does not decrease, so the energy must come from the electric field between the electrons and protons.
But the electric field has energy, not mass. Now mass is a form of energy, but I don't think you can say that the field has mass? But yet, it is said that the mass of the molecule decreases. The electric field contributes to the mass of the molecule, but yet it is incorrect to say that the field has mass?
ANSWER:
Actually, this is not as complicated as you are trying to make it. It
all boils down to the fact that mass is a form of energy and must be factored into
any energy conservation that occurs in an isolated system. You say that
the masses of the protons and electrons do not change, but that is not
right. Look at the simplest case, a hydrogen atom. If you measure the
mass of this atom it will be less than if you measure the masses of a
free electron and a free proton. Here is how you can see that: if you
pull the electron away from the proton, that is you ionize the atom, do
you have to do any work? Of course you do because the electron and
proton are bound together. So, you have added energy to the system (p+e)
and that energy shows up as mass. In a system as complicated as a
molecule you cannot say which particle or particles changed their
masses, but you can say for sure that the total mass of the molecule
changed by exactly the energy of the emitted photon divided by c 2 .
QUESTION:
This is my 2nd question related to the issue of time dilation - this one being related to the issue of motion [the other being based on gravity]. Since time dilation occurs for all moving objects, and considering further that the Earth has been revolving around the sun at 30 km per second for the last 4 billion years -- and further that our solar system is moving at roughly 45K mph through space, can't it be said that, compared to other objects in the universe, time dilation has occurred to a significant degree for our planet over those 4 billions years? And that really every object in the universe likewise has its own unique time dilation associated with it? Can't it also be said that every consolidated arrangement of matter in the universe is moving along at different "rates of time?" Wouldn't, over the course of several billion years, these "pockets" of different time spans become more and more "incompatible" with each other?
ANSWER:
The two speeds you quote are about the same (45,000 mph ≈2x104
m/s and 30x103 km/s=3x104 m/s). So let's just
choose the larger one and see how much time dilation there is. Relative
to the sun, an elapsed time T =4x109 y would
correspond to T'=ΥT wwhere Υ= 1/√(1-(v /c )2 )=1/√(1-(3x104 /3x108 )2 )≈(1+0.5x10-8 ).
Therefore T'≈ (T +20), a difference of 20 years. This
may sound like a pretty long time to you, but relative to 4 billion it
is less than 10-6 %. That is not "significant" to my mind.
You are right that every object has its own clock which, relative to
other clocks, is not necessarily the same; every object also has its own
meter stick, not necessarily the same as other meter sticks in the
universe. The important thing is that you always must talk about
velocity with respect to what.
QUESTION:
The movie "Interstellar" did a nice job of explaining how time dilation works in a massive gravity field. My question relates to how we on Earth measure the age of the universe to be 14.3B years. If I could make that measurement on the planet orbiting the "Interstellar" singularity [and since, theoretically, if I could view life on the singularity planet from Earth, it would all look to be in super slow motion], what would my measurement of the universe's age be from the my perspective on that planet? If time moves more slowly on the singularity planet, wouldn't my estimate of the universe's age be much less?
ANSWER:
As I say on the site, I do not usually answer questions on
astronomy/astrophysics/cosmology. Maybe I can make a stab at this. The
microwave background radiation which pervades the universe is generally
considered the best source for information about the big bang and
measurements are probably the best determinations of the age of the
universe. In your high-gravity position, you would see the same
microwave radiation I do. Likely, you would have to make corrections to
your observations due to the intense gravity, but you would still
conclude the same age as I did.
QUESTION:
hi, can and are earthquakes be caused by celestial alignments ie planets?
ANSWER:
Let's take a simple example. As seen from earth, Mars and Jupiter are
aligned. I estimated the force on a 1 kg object which is sitting, let's
say, on the San Andreas fault: F =3x10-11 N; the
weight of that 1 kg object is about 10 N. I would say that putting a 1
kg object on the ground is a great deal more likely to cause an
earthquake than those planets, wouldn't you?
QUESTION:
So there's a powerline outside my bedroom window, and I thought, huh. Turns out I'm sleeping with my head in a 6mG AC magnetic field (according to two meters). Help me use physics to stop caring.
How do I estimate/calculate which puts more force on the charged particles (calcium, potassium, sodium) in my brain: a) An aqueous solution at 98.6 degrees Fahrenheit or b) a magnetic field acting on charged particles moving at some estimated speed in said aqueous solution.
My hope here is that the force of (b) is like an order of magnitude or two, or something, below the "noise floor" of (a) and then I can stop caring forever.
ANSWER:
How about this: the earth's magnetic field is about 0.6 G, two orders of
magnitude bigger than the field due to the power line, and you are
exposed to it 24 hours a day. It is also possible that there is some
other source of field closer by than the power line which, though a much
smaller current, would produce a much bigger field. For example, if
there were a wire in the wall carrying a typical household current of 1
A, the field 2 m away would be 1 mG. There is no good scientific
evidence that any magnetic fields you are likely to encounter have any
effect, good or bad, on the functioning of your body.
QUESTION:
I do not want a theoretical answer, but has any experimentalist ever put a very sensitive weight balance below a vacuum chamber before and after vacuating it? Does it get lighter or... heavier? I do not have a sensitive balance nor a vacuum chamber.
The reason I ask is that it would say something about the density, or absence of density, of the vacuum.
If I understand pressure correctly, the scale would read a smaller weight value, due to less gas being in the column of air directly above it, but there might also be new physics there, if it is not the case. I simply do not know.
ANSWER:
You do not want a "theoretical answer" but you clearly do not understand
the physics so I am obliged to give you one anyway. Let us assume the
simplest possible "weight balance" so that I do not have to worry that
it might operate differently in a vacuum. Envision just a simple string
with a tiny butcher's scale which will measure the tension in the string
and then hang an unknown weight of mass M and volume V
from the string. Besides the string, there are two forces on the object
being weighed, its weight Mg and the buoyant force B= ρVg
where ρ is the density of air (about 1 kg/m3 at
atmospheric pressure) and g =9.8 m/s2 is the
acceleration due to gravity. The scale will read W=Mg-B , an
incorrect measure of the weight. Putting the whole device in a vacuum
will change B to zero because the air is gone, so W=Mg ,
the correct weight. To get an idea of how important this is, consider
weighing a solid block of iron whose mass is 1 kg. The density of iron
is ρ iron =7870 kg=M /V , so the
volume of the block is V =1/7870=1.27x10-4 m3 .
So, the true weight is W =9.8 N and the measured weight in air
is (9.8-1.27x10-4 ) N=9.7999 N, an error of 0.0013%. However,
there are certainly examples where the effect of buoyancy would be very
important. For example, consider an air-filled balloon. I did a rough
calculation and estimated that the volume of an inflated balloon is
about 5x10-3 m3 so it contains about 5x10-3
kg of air; the mass of an uninflated balloon is about 5 gm=5x10-3
kg, so the total weight of the inflated balloon is about 9.8x10-2
N. But if you weighed it in air you would only measure half that amount.
Your question, has anybody ever actually observed this, is a no brainer:
since the existence of a buoyant force has been known and understood for
well over 2000 years (Archimedes' principle), anyone
wanting to make an
extremely accurate measurement of a mass would either correct for it or
eliminate it.
QUESTION:
Several years ago, I was caught in a massive windstorm in a skyscraper. I was on the 54th floor (approx. 756 feet from street level, full building height is 909 feet) , pulling cable, and I stopped for a break. I left a cable pulling string hanging from the ceiling (48 inches free hanging length) in the office, with a 1/4 lb weight attached, and when the storm hit, the weight began swinging like a pendulum. The arc was 16 inches (eyeballing it), and traversing the length of the arc took about 1 second. How can I calculate how far (full arc) the skyscraper was moving by observing what the pendulum in the building was doing?
ANSWER:
A 48" pendulum has a period of about 2.2 s, the time to swing over the
arc and back. Since you were estimating, the pendulum was swinging with
about the period it would if the building were not moving at all. I
would conclude that either the pendulum got swinging somehow and the
building was not perceptibly moving or that the period of the building's
motion was about the same. If the building was swinging with a period
significantly different from 2 s, the pendulum would be swinging with
that same period; that is called a driven oscillator.